LeetCode刷题(JS版) - 25. K 个一组翻转链表

114 阅读1分钟

题目

给你链表的头节点 head ,每 k 个节点一组进行翻转,请你返回修改后的链表。

k 是一个正整数,它的值小于或等于链表的长度。如果节点总数不是 k 的整数倍,那么请将最后剩余的节点保持原有顺序。

你不能只是单纯的改变节点内部的值,而是需要实际进行节点交换。

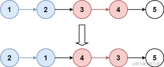
示例 1:

image.png

输入:head = [1,2,3,4,5], k = 2
输出:[2,1,4,3,5]

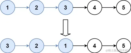
示例 2:

image.png

输入:head = [1,2,3,4,5], k = 3
输出:[3,2,1,4,5]

提示:

链表中的节点数目为 n
1 <= k <= n <= 5000
0 <= Node.val <= 1000

进阶:你可以设计一个只用 O(1) 额外内存空间的算法解决此问题吗?

思路:递归 + 链表翻转

  • 翻转:通过不停改变当前节点的下一个为原来顺序的上一个即可
  • 子链:循环k个,不停next,不足的不需要翻转
  • 递归:找子链 => 子链翻转 => 递归剩余链
/**
 * Definition for singly-linked list.
 * class ListNode {
 *     val: number
 *     next: ListNode | null
 *     constructor(val?: number, next?: ListNode | null) {
 *         this.val = (val===undefined ? 0 : val)
 *         this.next = (next===undefined ? null : next)
 *     }
 * }
 */
const reverse = (a, b) => {
    let pre = null, curr = a, next = a;
    while(curr !== b) {// 没有到子链末尾
        next = curr.next;
        curr.next = pre;// 反序
        pre = curr;// 更新pre
        curr = next;
    }
    return pre
}

function reverseKGroup(head: ListNode | null, k: number): ListNode | null {
    // 从头开始找k个元素长的子链,不足的直接返回不需要翻转
    let a = head, b = head;
    for(let i = 0; i < k; i++) {
        if(!b) return head;
        b = b.next;// 子链后移
    }

    // 子链反转
    const ret = reverse(a, b);

    // 递归后面的子链
    a.next = reverseKGroup(b, k);
    return ret;
};

image.png