02 链表相关问题

111 阅读9分钟

02 链表相关问题

1、移除链表元素

题目简介:

给你一个链表的头节点 head 和一个整数 val ,请你删除链表中所有满足 Node.val == val 的节点,并返回 新的头节点 。

示例:
输入: head = [1,2,6,3,4,5,6], val = 6
输出: [1,2,3,4,5]
//定义节点
 * public class ListNode {
 *     int val;
 *     ListNode next;
 *     ListNode() {}
 *     ListNode(int val) { this.val = val; }
 *     ListNode(int val, ListNode next) { this.val = val; this.next = next; }
 * }
//方式一、添加虚节点方式
public ListNode removeElements(ListNode head, int val) {
   if (head == null) {
       return head;
   }
   // 因为删除可能涉及到头节点,所以设置dummy节点,统一操作
   ListNode dummy = new ListNode(-1, head);
   ListNode pre = dummy;
   ListNode cur = head;
   while (cur != null) {
       if (cur.val == val) {
           pre.next = cur.next;
       } else {
           pre = cur;
       }
       cur = cur.next;
   }
   return dummy.next;
}
//方式二、不添加虚拟节点方式
public ListNode removeElements(ListNode head, int val) {
    while (head != null && head.val == val) {
        head = head.next;
    }
    // 已经为null,提前退出
    if (head == null) {
        return head;
    }
    // 已确定当前head.val != val
    ListNode pre = head;
    ListNode cur = head.next;
    while (cur != null) {
        if (cur.val == val) {
            pre.next = cur.next;
        } else {
            pre = cur;
        }
        cur = cur.next;
    }
    return head;
}

2、设计链表

题目简介:

设计链表的实现。您可以选择使用单链表或双链表。单链表中的节点应该具有两个属性:val 和 next。val 是当前节点的值,next 是指向下一个节点的指针/引用。如果要使用双向链表,则还需要一个属性 prev 以指示链表中的上一个节点。假设链表中的所有节点都是 0-index 的。

在链表类中实现这些功能:

  • get(index):获取链表中第 index 个节点的值。如果索引无效,则返回-1。
  • addAtHead(val):在链表的第一个元素之前添加一个值为 val 的节点。插入后,新节点将成为链表的第一个节点。
  • addAtTail(val):将值为 val 的节点追加到链表的最后一个元素。
  • addAtIndex(index,val):在链表中的第 index 个节点之前添加值为 val  的节点。如果 index 等于链表的长度,则该节点将附加到链表的末尾。如果 index 大于链表长度,则不会插入节点。如果index小于0,则在头部插入节点。
  • deleteAtIndex(index):如果索引 index 有效,则删除链表中的第 index 个节点。
示例:
MyLinkedList linkedList = new MyLinkedList();
linkedList.addAtHead(1);
linkedList.addAtTail(3);
linkedList.addAtIndex(1,2);   //链表变为1-> 2-> 3
linkedList.get(1);            //返回2
linkedList.deleteAtIndex(1);  //现在链表是1-> 3
linkedList.get(1);            //返回3
//定义节点
class ListNode {
    int val;
    ListNode next;
    ListNode(){}
    ListNode(int val) {
        this.val=val;
    }
}
//方式一、单链表
class MyLinkedList {
    //size存储链表元素的个数
    int size;
    //虚拟头结点
    ListNode head;

    //初始化链表
    public MyLinkedList() {
        size = 0;
        head = new ListNode(0);
    }

    //获取第index个节点的数值,注意index是从0开始的,第0个节点就是头结点
    public int get(int index) {
        //如果index非法,返回-1
        if (index < 0 || index >= size) {
            return -1;
        }
        ListNode currentNode = head;
        //包含一个虚拟头节点,所以查找第 index+1 个节点
        for (int i = 0; i <= index; i++) {
            currentNode = currentNode.next;
        }
        return currentNode.val;
    }

    //在链表最前面插入一个节点,等价于在第0个元素前添加
    public void addAtHead(int val) {
        addAtIndex(0, val);
    }

    //在链表的最后插入一个节点,等价于在(末尾+1)个元素前添加
    public void addAtTail(int val) {
        addAtIndex(size, val);
    }

    // 在第 index 个节点之前插入一个新节点,例如index为0,那么新插入的节点为链表的新头节点。
    // 如果 index 等于链表的长度,则说明是新插入的节点为链表的尾结点
    // 如果 index 大于链表的长度,则返回空
    public void addAtIndex(int index, int val) {
        if (index > size) {
            return;
        }
        if (index < 0) {
            index = 0;
        }
        size++;
        //找到要插入节点的前驱
        ListNode pred = head;
        for (int i = 0; i < index; i++) {
            pred = pred.next;
        }
        ListNode toAdd = new ListNode(val);
        toAdd.next = pred.next;
        pred.next = toAdd;
    }

    //删除第index个节点
    public void deleteAtIndex(int index) {
        if (index < 0 || index >= size) {
            return;
        }
        size--;
        if (index == 0) {
            head = head.next;
	    return;
        }
        ListNode pred = head;
        for (int i = 0; i < index ; i++) {
            pred = pred.next;
        }
        pred.next = pred.next.next;
    }
}
//方式二、双链表
class ListNode{
    int val;
    ListNode next,prev;
    ListNode() {};
    ListNode(int val){
        this.val = val;
    }
}


class MyLinkedList {  

    //记录链表中元素的数量
    int size;
    //记录链表的虚拟头结点和尾结点
    ListNode head,tail;
    
    public MyLinkedList() {
        //初始化操作
        this.size = 0;
        this.head = new ListNode(0);
        this.tail = new ListNode(0);
        //这一步非常关键,否则在加入头结点的操作中会出现null.next的错误!!!
        head.next=tail;
        tail.prev=head;
    }
    
    public int get(int index) {
        //判断index是否有效
        if(index<0 || index>=size){
            return -1;
        }
        ListNode cur = this.head;
        //判断是哪一边遍历时间更短
        if(index >= size / 2){
            //tail开始
            cur = tail;
            for(int i=0; i< size-index; i++){
                cur = cur.prev;
            }
        }else{
            for(int i=0; i<= index; i++){
                cur = cur.next; 
            }
        }
        return cur.val;
    }
    
    public void addAtHead(int val) {
        //等价于在第0个元素前添加
        addAtIndex(0,val);
    }
    
    public void addAtTail(int val) {
        //等价于在最后一个元素(null)前添加
        addAtIndex(size,val);
    }
    
    public void addAtIndex(int index, int val) {
        //index大于链表长度
        if(index>size){
            return;
        }
        //index小于0
        if(index<0){
            index = 0;
        }
        size++;
        //找到前驱
        ListNode pre = this.head;
        for(int i=0; i<index; i++){
            pre = pre.next;
        }
        //新建结点
        ListNode newNode = new ListNode(val);
        newNode.next = pre.next;
        pre.next.prev = newNode;
        newNode.prev = pre;
        pre.next = newNode;
        
    }
    
    public void deleteAtIndex(int index) {
        //判断索引是否有效
        if(index<0 || index>=size){
            return;
        }
        //删除操作
        size--;
        ListNode pre = this.head;
        for(int i=0; i<index; i++){
            pre = pre.next;
        }
        pre.next.next.prev = pre;
        pre.next = pre.next.next;
    }
}

3、反转链表

题目简介:

给你单链表的头节点 head ,请你反转链表,并返回反转后的链表。

示例:
输入: head = [1,2,3,4,5]
输出: [5,4,3,2,1]

题解:

首先定义一个cur指针,指向头结点,再定义一个pre指针,初始化为null。 然后就要开始反转了,首先要把 cur->next 节点用tmp指针保存一下,也就是保存一下这个节点。

为什么要保存一下这个节点呢,因为接下来要改变 cur->next 的指向了,将cur->next 指向pre ,此时已经反转了第一个节点了。

接下来,就是循环走如下代码逻辑了,继续移动pre和cur指针。

最后,cur 指针已经指向了null,循环结束,链表也反转完毕了。 此时我们return pre指针就可以了,pre指针就指向了新的头结点。

//定义节点
 * public class ListNode {
 *     int val;
 *     ListNode next;
 *     ListNode() {}
 *     ListNode(int val) { this.val = val; }
 *     ListNode(int val, ListNode next) { this.val = val; this.next = next; }
 * }
//双链表
    public ListNode reverseList(ListNode head) {
        ListNode prev = null;
        ListNode cur = head;
        ListNode temp = null;
        while (cur != null) {
            temp = cur.next;// 保存下一个节点
            cur.next = prev;
            prev = cur;
            cur = temp;
        }
        return prev;
    }

4、两两交换链表中的节点

题目简介:

给你一个链表,两两交换其中相邻的节点,并返回交换后链表的头节点。你必须在不修改节点内部的值的情况下完成本题(即,只能进行节点交换)。

示例:
输入: head = [1,2,3,4]
输出: [2,1,4,3]
//递归版本
    public ListNode swapPairs(ListNode head) {
        // base case 退出提交
        if(head == null || head.next == null) return head;
        // 获取当前节点的下一个节点
        ListNode next = head.next;
        // 进行递归
        ListNode newNode = swapPairs(next.next);
        // 这里进行交换
        next.next = head;
        head.next = newNode;

        return next;
    }
//带虚拟头结点版本
      public ListNode swapPairs(ListNode head) {
        ListNode dumyhead = new ListNode(-1); // 设置一个虚拟头结点
        dumyhead.next = head; // 将虚拟头结点指向head,这样方面后面做删除操作
        ListNode cur = dumyhead;
        ListNode temp; // 临时节点,保存两个节点后面的节点
        ListNode firstnode; // 临时节点,保存两个节点之中的第一个节点
        ListNode secondnode; // 临时节点,保存两个节点之中的第二个节点
        while (cur.next != null && cur.next.next != null) {
            temp = cur.next.next.next;
            firstnode = cur.next;
            secondnode = cur.next.next;
            cur.next = secondnode;       // 步骤一
            secondnode.next = firstnode; // 步骤二
            firstnode.next = temp;      // 步骤三
            cur = firstnode; // cur移动,准备下一轮交换
        }
        return dumyhead.next;  
    }

5、删除链表的倒数第N个节点

题目简介:

给你一个链表,删除链表的倒数第 n 个结点,并且返回链表的头结点。

示例:
输入: head = [1,2,3,4,5], n = 2
输出: [1,2,3,5]

题解:

双指针的经典应用,如果要删除倒数第n个节点,让fast移动n步,然后让fast和slow同时移动,直到fast指向链表末尾。删掉slow所指向的节点就可以了。

//定义节点
 * public class ListNode {
 *     int val;
 *     ListNode next;
 *     ListNode() {}
 *     ListNode(int val) { this.val = val; }
 *     ListNode(int val, ListNode next) { this.val = val; this.next = next; }
 * }
public ListNode removeNthFromEnd(ListNode head, int n){
    ListNode dummyNode = new ListNode(0);
    dummyNode.next = head;

    ListNode fastIndex = dummyNode;
    ListNode slowIndex = dummyNode;

    //只要快慢指针相差 n 个结点即可
    for (int i = 0; i < n  ; i++){
        fastIndex = fastIndex.next;
    }

    while (fastIndex.next != null){
        fastIndex = fastIndex.next;
        slowIndex = slowIndex.next;
    }

    //此时 slowIndex 的位置就是待删除元素的前一个位置。
    slowIndex.next = slowIndex.next.next;
    return dummyNode.next;
}

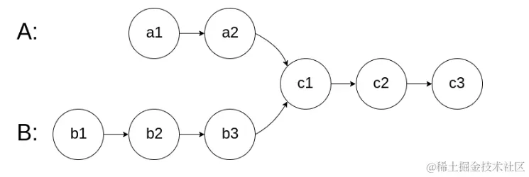
6、链表相交

题目简介:

给你两个单链表的头节点 headA 和 headB ,请你找出并返回两个单链表相交的起始节点。如果两个链表不存在相交节点,返回 null 。

图示两个链表在节点 c1 开始相交

0101.png

题目数据 保证 整个链式结构中不存在环。

  • intersectVal - 相交的起始节点的值。如果不存在相交节点,这一值为 0
  • listA - 第一个链表
  • listB - 第二个链表
  • skipA - 在 listA 中(从头节点开始)跳到交叉节点的节点数
  • skipB - 在 listB 中(从头节点开始)跳到交叉节点的节点数
示例:
输入:intersectVal = 8, listA = [4,1,8,4,5], listB = [5,6,1,8,4,5], skipA = 2, skipB = 3
输出:Intersected at '8'
解释:相交节点的值为 8 (注意,如果两个链表相交则不能为 0)。
从各自的表头开始算起,链表 A[4,1,8,4,5],链表 B[5,6,1,8,4,5]。
在 A 中,相交节点前有 2 个节点;在 B 中,相交节点前有 3 个节点。
— 请注意相交节点的值不为 1,因为在链表 A 和链表 B 之中值为 1 的节点 (A 中第二个节点和 B 中第三个节点) 是不同的节点。换句话说,它们在内存中指向两个不同的位置,而链表 A 和链表 B 中值为 8 的节点 (A 中第三个节点,B 中第四个节点) 在内存中指向相同的位置。

题解:

假设有两个链表,目前curA指向链表A的头结点,curB指向链表B的头结点,我们求出两个链表的长度,并求出两个链表长度的差值,然后让curA移动到,和curB 末尾对齐的位置。

此时我们就可以比较curA和curB是否相同,如果不相同,同时向后移动curA和curB,如果遇到curA == curB,则找到交点。

否则循环退出返回空指针。

//定义节点
 * public class ListNode {
 *     int val;
 *     ListNode next;
 *     ListNode(int x) {
 *         val = x;
 *         next = null;
 *     }
 * }
    public ListNode getIntersectionNode(ListNode headA, ListNode headB) {
        ListNode curA = headA;
        ListNode curB = headB;
        int lenA = 0, lenB = 0;
        while (curA != null) { // 求链表A的长度
            lenA++;
            curA = curA.next;
        }
        while (curB != null) { // 求链表B的长度
            lenB++;
            curB = curB.next;
        }
        curA = headA;
        curB = headB;
        // 让curA为最长链表的头,lenA为其长度
        if (lenB > lenA) {
            //1. swap (lenA, lenB);
            int tmpLen = lenA;
            lenA = lenB;
            lenB = tmpLen;
            //2. swap (curA, curB);
            ListNode tmpNode = curA;
            curA = curB;
            curB = tmpNode;
        }
        // 求长度差
        int gap = lenA - lenB;
        // 让curA和curB在同一起点上(末尾位置对齐)
        while (gap-- > 0) {
            curA = curA.next;
        }
        // 遍历curA 和 curB,遇到相同则直接返回
        while (curA != null) {
            if (curA == curB) {
                return curA;
            }
            curA = curA.next;
            curB = curB.next;
        }
        return null;
    }

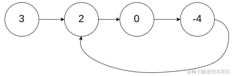
7、环形链表II

题目简介:

给定一个链表的头节点  head ,返回链表开始入环的第一个节点。 如果链表无环,则返回 null

如果链表中有某个节点,可以通过连续跟踪 next 指针再次到达,则链表中存在环。

为了表示给定链表中的环,评测系统内部使用整数 pos 来表示链表尾连接到链表中的位置(索引从 0 开始)。

如果 pos 是 -1,则在该链表中没有环。注意:pos 不作为参数进行传递,仅仅是为了标识链表的实际情况。

不允许修改 链表。

0102.png

输入: head = [3,2,0,-4], pos = 1
输出: 返回索引为 1 的链表节点
解释: 链表中有一个环,其尾部连接到第二个节点。

题解:

判断链表是否有环:

可以使用快慢指针法,分别定义 fast 和 slow 指针,从头结点出发,fast指针每次移动两个节点,slow指针每次移动一个节点,如果 fast 和 slow指针在途中相遇 ,说明这个链表有环。

如果有环,如何找到这个环的入口:

假设从头结点到环形入口节点 的节点数为x。 环形入口节点到 fast指针与slow指针相遇节点 节点数为y。 从相遇节点 再到环形入口节点节点数为 z。

那么相遇时: slow指针走过的节点数为: x + y, fast指针走过的节点数:x + y + n (y + z),n为fast指针在环内走了n圈才遇到slow指针, (y+z)为 一圈内节点的个数A。

因为fast指针是一步走两个节点,slow指针一步走一个节点, 所以 fast指针走过的节点数 = slow指针走过的节点数 * 2:(x + y) * 2 = x + y + n (y + z);

因为要找环形的入口,那么要求的是x,因为x表示 头结点到 环形入口节点的的距离。

从头结点出发一个指针,从相遇节点 也出发一个指针,这两个指针每次只走一个节点, 那么当这两个指针相遇的时候就是 环形入口的节点

//定义节点
 * class ListNode {
 *     int val;
 *     ListNode next;
 *     ListNode(int x) {
 *         val = x;
 *         next = null;
 *     }
 * }
    public ListNode detectCycle(ListNode head) {
        ListNode slow = head;
        ListNode fast = head;
        while (fast != null && fast.next != null) {
            slow = slow.next;
            fast = fast.next.next;
            if (slow == fast) {// 有环
                ListNode index1 = fast;
                ListNode index2 = head;
                // 两个指针,从头结点和相遇结点,各走一步,直到相遇,相遇点即为环入口
                while (index1 != index2) {
                    index1 = index1.next;
                    index2 = index2.next;
                }
                return index1;
            }
        }
        return null;
    }