R语言APRIORI模型关联规则挖掘分析脑出血急性期用药规律最常配伍可视化

74 阅读1分钟

全文链接:tecdat.cn/?p=31846

原文出处:拓端数据部落公众号

本文帮助客户运用关联规则方法分析中医治疗脑出血方剂,用Apriori模型挖掘所选用的主要药物及其用药规律,为临床治疗脑出血提供参考。

脑出血急性期用药数据

image.png

读取数据

a_df3=read.xlsx("脑出血急性期用药最常配伍关联分析2.xlsx")

image.png

将数据转化成关联数据

a_df3=a_df3[,-1]  
  
   
   
## set dim names  
#
a_df3=t(a_d3)  
dimnams(a_df3) <- list(row.ames(a_d  
                        paste("Tr",c(1:ncol(adf3)), sep

image.png

查看每个药品的出现频率

uencPlot(dat1, support = 0.3, cex.names=0.8)

image.png

可以看到每个药品出现的频率,从而判断哪些药品的支持度较高

image.png

得到频繁规则挖掘

image.png

察看求得的频繁项集

image.png

根据支持度对求得的频繁项集排序并查看

关联规则挖掘

apriori(dat

image.png

设置支持度为0.01,置信度为0.3

summary(rules)#查看规则

image.png

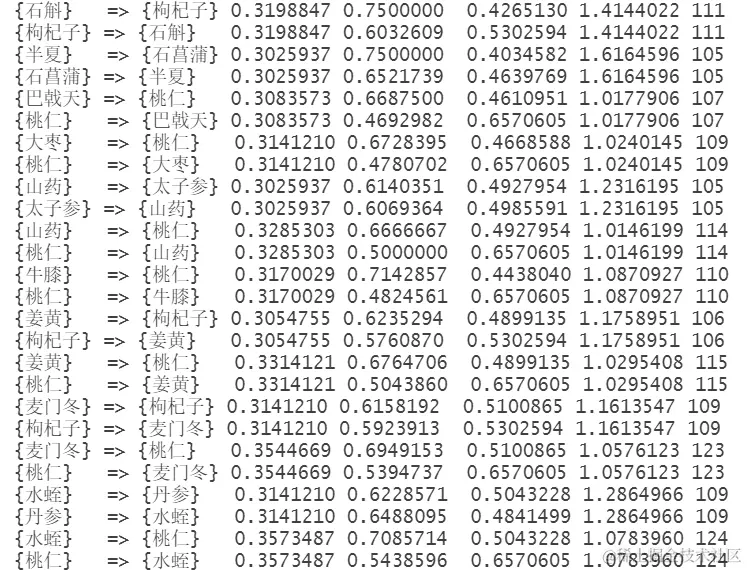
查看部分规则

inspect(rules)

image.png

查看置信度、支持度和提升度

quality(head(rules))

image.png

绘制不同规则图形来表示支持度,置信度和提升度

image.png

通过改图 可以看到 规则前项和规则后项分别有哪些药品 以及每个药品的支持度大小,支持度越大则圆圈越大。

1111.png

image.png

从该图可以看到支持度和置信度的关系,置信度越高提升度也越高

image.png

image.png

从该图可以看到支持度和置信度的关系,提升度越高置信度也越高

image.png

image.png

从上图可以看到 不同药品之间的关联关系 图中的点越大说明该药品的支持度越高,颜色越深说明该药品的提升度越高。

查看最高置信度样本规则

rules <- sort(rules, by="confidence")

image.png

查看最高提升度样本规则

image.png

得到有价值规则子集

x=subset(rules,subset=confidence>0.3 & support>0.2 & lift>=1)    #得到有价值规则子集

image.png

对有价值的x集合进行数据可视化

image.png

image.png


QQ截图20220526172723.png

最受欢迎的见解

1.Python中的Apriori关联算法-市场购物篮分析

2.R语言绘制生存曲线估计|生存分析|如何R作生存曲线图

3.用关联规则数据挖掘探索药物配伍中的规律

4.通过Python中的Apriori算法进行关联规则挖掘

5.用关联规则数据挖掘探索药物配伍中的规律

6.采用SPSS Modeler的Web复杂网络对所有腧穴进行分析

7.R语言如何在生存分析与COX回归中计算IDI,NRI指标

8.R语言如何找到患者数据中具有差异的指标?(PLS—DA分析)

9.R语言中的生存分析Survival analysis晚期肺癌患者4例