线性代数基础之第一门课

448 阅读4分钟

其实上大学的时候学过线代,但是基本上都还给老师了。

线性代数不仅仅是人工智能的基础,更是现代数学和以现代数学作为主要分析方法的众多学科的基础。从量子力学到图像处理都离不开向量和矩阵的使用。而在向量和矩阵背后,线性代数的核心意义在于提供了⼀种看待世界的抽象视角:万事万物都可以被抽象成某些特征的组合,并在由预置规则定义的框架之下以静态和动态的方式加以观察。

线性代数是计算机很多领域的基础。比如,如何让 3D 图形显示到二维屏幕上?这是线性代数在图形图像学中的应用。如何提高密码被破译的难度?这个密码学问题,用线性代数中的有限向量空间可以很好地解决。

线性代数的本质在于将具体事物抽象为数学对象,并描述其静态和动态的特性;

向量的实质是 n 维线性空间中的静止点;

线性变换描述了向量或者作为参考系的坐标系的变化,可以用矩阵表示;

矩阵的特征值和特征向量描述了变化的速度与方向。

基本概念

线性代数中最基本的概念是集合(set)。

标量与向量

在线性代数中,由单独的数 a 构成的元素被称为标量(scalar):一个标量 a 可以是整数、实数或复数。如果多个标量 a1​,a2​,⋯,an​ 按一定顺序组成一个序列,这样的元素就被称为向量(vector)。显然,向量可以看作标量的扩展。原始的一个数被替代为一组数,从而带来了维度的增加,给定表示索引的下标才能唯一地确定向量中的元素。

image.png

向量与张量

相对于向量,矩阵同样代表了维度的增加,矩阵中的每个元素需要使用两个索引(而非一个)确定。同理,如果将矩阵中的每个标量元素再替换为向量的话,得到的就是张量(tensor)。直观地理解,张量就是高阶的矩阵。

如果把三阶魔方的每一个小方块看作一个数,它就是个 3×3×3 的张量,3×3 的矩阵则恰是这个魔方的一个面,也就是张量的一个切片。相比于向量和矩阵,张量是更加复杂,直观性也更差的概念。

在计算机存储中,标量占据的是零维数组;向量占据的是一维数组,例如语音信号;矩阵占据的是二维数组,例如灰度图像;张量占据的是三维乃至更高维度的数组,例如 RGB 图像和视频。

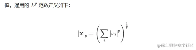
范数norm

范数(norm)是对单个向量大小的度量,描述的是向量自身的性质,其作用是将向量映射为一个非负的数值。

范数计算的是单个向量的尺度。 image.png 对⼀个给定向量,L1 范数计算的是向量所有元素绝对值的和,L2 范数计算的是通常意义上的向量长度,L∞ 范数计算的则是向量中最大元素的取值。

内积

内积(inner product)计算的则是两个向量之间的关系。.

image.png

即对应元素乘积的求和。内积能够表示两个向量之间的相对位置,即向量之间的夹角。一种特殊的情况是内积为 0,即 ⟨x,y⟩=0。在二维空间上,这意味着两个向量的夹角为 90 度,即相互垂直。而在高维空间上,这种关系被称为正交(orthogonality)。如果两个向量正交,说明他们线性无关,相互独立,互不影响。

线性空间

如果有一个集合,它的元素都是具有相同维数的向量(可以是有限个或无限个), 并且定义了加法和数乘等结构化的运算,这样的集合就被称为线性空间(linear space),定义了内积运算的线性空间则被称为内积空间(inner product space)。在线性空间中,任意一个向量代表的都是 n 维空间中的一个点;反过来, 空间中的任意点也都可以唯一地用一个向量表示。两者相互等效。

此文章为3月Day12学习笔记,内容来源于极客时间《01 数学基础 | 九层之台,起于累土:线性代数 (geekbang.org)》、《开篇词 | 从今天起,学会线性代数 (geekbang.org)