数据挖掘机器学习[六]---项目实战金融风控之贷款违约预测

176 阅读20分钟

 相关文章:

特征工程详解及实战项目【参考】

数据挖掘---汽车车交易价格预测[一](测评指标;EDA)

数据挖掘机器学习---汽车交易价格预测详细版本[二]{EDA-数据探索性分析}

数据挖掘机器学习---汽车交易价格预测详细版本[三]{特征工程、交叉检验、绘制学习率曲线与验证曲线}

数据挖掘机器学习---汽车交易价格预测详细版本[四]{嵌入式特征选择(XGBoots,LightGBM),模型调参(贪心、网格、贝叶斯调参)}

数据挖掘机器学习---汽车交易价格预测详细版本[五]{模型融合(Stacking、Blending、Bagging和Boosting)}

数据挖掘机器学习[六]---项目实战金融风控之贷款违约预测

数据挖掘机器学习[七]---2021研究生数学建模B题空气质量预报二次建模求解过程


前言

因为文档是去年弄的,很多资料都有点找不到了,我尽可能写的详细。后面以2021年研究生数学建模B题为例【空气质量预报二次建模】再进行一个教学

AI训练营金融风控参考


1.项目实战金融风控之贷款违约预测

以金融风控中的个人信贷为背景,根据贷款申请人的数据信息预测其是否有违约的可能,以此判断是否通过此项贷款,这是一个典型的分类问题。

rain.csv

id 为贷款清单分配的唯一信用证标识
loanAmnt 贷款金额
term 贷款期限(year)
interestRate 贷款利率
installment 分期付款金额
grade 贷款等级
subGrade 贷款等级之子级
employmentTitle 就业职称
employmentLength 就业年限(年)
homeOwnership 借款人在登记时提供的房屋所有权状况
annualIncome 年收入
verificationStatus 验证状态
issueDate 贷款发放的月份
purpose 借款人在贷款申请时的贷款用途类别
postCode 借款人在贷款申请中提供的邮政编码的前3位数字
regionCode 地区编码
dti 债务收入比
delinquency_2years 借款人过去2年信用档案中逾期30天以上的违约事件数
ficoRangeLow 借款人在贷款发放时的fico所属的下限范围
ficoRangeHigh 借款人在贷款发放时的fico所属的上限范围
openAcc 借款人信用档案中未结信用额度的数量
pubRec 贬损公共记录的数量
pubRecBankruptcies 公开记录清除的数量
revolBal 信贷周转余额合计
revolUtil 循环额度利用率,或借款人使用的相对于所有可用循环信贷的信贷金额
totalAcc 借款人信用档案中当前的信用额度总数
initialListStatus 贷款的初始列表状态
applicationType 表明贷款是个人申请还是与两个共同借款人的联合申请
earliesCreditLine 借款人最早报告的信用额度开立的月份
title 借款人提供的贷款名称
policyCode 公开可用的策略代码=1新产品不公开可用的策略代码=2
n系列匿名特征 匿名特征n0-n14,为一些贷款人行为计数特征的处理

1.1 预测指标

竞赛采用AUC作为评价指标。AUC(Area Under Curve)被定义为 ROC曲线 下与坐标轴围成的面积。

分类算法常见的评估指标如下:

1、混淆矩阵(Confuse Matrix)

  • (1)若一个实例是正类,并且被预测为正类,即为真正类TP(True Positive )
  • (2)若一个实例是正类,但是被预测为负类,即为假负类FN(False Negative )
  • (3)若一个实例是负类,但是被预测为正类,即为假正类FP(False Positive )
  • (4)若一个实例是负类,并且被预测为负类,即为真负类TN(True Negative )

 6、P-R曲线(Precision-Recall Curve) P-R曲线是描述精确率和召回率变化的曲线

p-r

7、ROC(Receiver Operating Characteristic)

  • ROC空间将假正例率(FPR)定义为 X 轴,真正例率(TPR)定义为 Y 轴。

roc.png

8、AUC(Area Under Curve) AUC(Area Under Curve)被定义为 ROC曲线 下与坐标轴围成的面积,显然这个面积的数值不会大于1。又由于ROC曲线一般都处于y=x这条直线的上方,所以AUC的取值范围在0.5和1之间。AUC越接近1.0,检测方法真实性越高;等于0.5时,则真实性最低,无应用价值。

对于金融风控预测类常见的评估指标如下:

1、KS(Kolmogorov-Smirnov) KS统计量由两位苏联数学家A.N. Kolmogorov和N.V. Smirnov提出。在风控中,KS常用于评估模型区分度。区分度越大,说明模型的风险排序能力(ranking ability)越强。 K-S曲线与ROC曲线类似,不同在于

  • ROC曲线将真正例率和假正例率作为横纵轴
  • K-S曲线将真正例率和假正例率都作为纵轴,横轴则由选定的阈值来充当。 公式如下:

  • KS=max(TPR−FPR)KS=max(TPR−FPR)KS不同代表的不同情况,一般情况KS值越大,模型的区分能力越强,但是也不是越大模型效果就越好,如果KS过大,模型可能存在异常,所以当KS值过高可能需要检查模型是否过拟合。以下为KS值对应的模型情况,但此对应不是唯一的,只代表大致趋势。
KS(%)好坏区分能力
20以下不建议采用
20-40较好
41-50良好
51-60很强
61-75非常强
75以上过于高,疑似存在问题

2、ROC   3、AUC

预测指标,指标参考demo

2.数据分析 EDA

前面几篇文章已经详细教学过了,这里只留链接参考:

EDA探索性数据分析实战

3.建模与调参实战

3.1 导入库&读取数据

import pandas as pd
import numpy as np
import warnings
import os
import seaborn as sns
import matplotlib.pyplot as plt
"""
sns 相关设置
@return:
"""
# 声明使用 Seaborn 样式
sns.set()
# 有五种seaborn的绘图风格,它们分别是:darkgrid, whitegrid, dark, white, ticks。默认的主题是darkgrid。
sns.set_style("whitegrid")
# 有四个预置的环境,按大小从小到大排列分别为:paper, notebook, talk, poster。其中,notebook是默认的。
sns.set_context('talk')
# 中文字体设置-黑体
plt.rcParams['font.sans-serif'] = ['SimHei']
# 解决保存图像是负号'-'显示为方块的问题
plt.rcParams['axes.unicode_minus'] = False
# 解决Seaborn中文显示问题并调整字体大小
sns.set(font='SimHei')

reduce_mem_usage 函数通过调整数据类型,帮助我们减少数据在内存中占用的空间

def reduce_mem_usage(df):
    start_mem = df.memory_usage().sum() 
    print('Memory usage of dataframe is {:.2f} MB'.format(start_mem))
    
    for col in df.columns:
        col_type = df[col].dtype
        
        if col_type != object:
            c_min = df[col].min()
            c_max = df[col].max()
            if str(col_type)[:3] == 'int':
                if c_min > np.iinfo(np.int8).min and c_max < np.iinfo(np.int8).max:
                    df[col] = df[col].astype(np.int8)
                elif c_min > np.iinfo(np.int16).min and c_max < np.iinfo(np.int16).max:
                    df[col] = df[col].astype(np.int16)
                elif c_min > np.iinfo(np.int32).min and c_max < np.iinfo(np.int32).max:
                    df[col] = df[col].astype(np.int32)
                elif c_min > np.iinfo(np.int64).min and c_max < np.iinfo(np.int64).max:
                    df[col] = df[col].astype(np.int64)  
            else:
                if c_min > np.finfo(np.float16).min and c_max < np.finfo(np.float16).max:
                    df[col] = df[col].astype(np.float16)
                elif c_min > np.finfo(np.float32).min and c_max < np.finfo(np.float32).max:
                    df[col] = df[col].astype(np.float32)
                else:
                    df[col] = df[col].astype(np.float64)
        else:
            df[col] = df[col].astype('category')

    end_mem = df.memory_usage().sum() 
    print('Memory usage after optimization is: {:.2f} MB'.format(end_mem))
    print('Decreased by {:.1f}%'.format(100 * (start_mem - end_mem) / start_mem))
    
    return df
# 读取数据
# 文件是特征工程之后,将测试集和训练集合并后把数据集保存为data_for_model.csv
# 其中数据集中用特征'sample'来区分测试集和训练集。分别是data['sample']='train',data['sample']='test'。
# 这样在建模的时候直接调用就行,不需要再跑一遍特征工程了

data = pd.read_csv('dataset/data_for_model.csv')
data = reduce_mem_usage(data)

Memory usage of dataframe is 928000128.00 MB
Memory usage after optimization is: 165006456.00 MB
Decreased by 82.2%

3.2 简单建模【Lightgbm进行建模】

Tips1:金融风控的实际项目多涉及到信用评分,因此需要模型特征具有较好的可解释性,所以目前在实际项目中多还是以逻辑回归作为基础模型。但是在比赛中以得分高低为准,不需要严谨的可解释性,所以大多基于集成算法进行建模。

Tips2:因为逻辑回归的算法特性,需要提前对异常值、缺失值数据进行处理

Tips3:基于树模型的算法特性,异常值、缺失值处理可以跳过,但是对于业务较为了解的同学也可以自己对缺失异常值进行处理,效果可能会更优于模型处理的结果。

注:以下建模的源数据参考baseline进行了相应的特征工程,对于异常缺失值未进行相应的处理操作。

3.2.1 建模之前的预操作

from sklearn.model_selection import KFold
# 分离数据集,方便进行交叉验证
X_train = data.loc[data['sample']=='train', :].drop(['id','issueDate','isDefault', 'sample'], axis=1)
X_test = data.loc[data['sample']=='test', :].drop(['id','issueDate','isDefault', 'sample'], axis=1)
y_train = data.loc[data['sample']=='train', 'isDefault']

# 5折交叉验证
folds = 5
seed = 2020
kf = KFold(n_splits=folds, shuffle=True, random_state=seed)

3.2.2 使用Lightgbm进行建模

"""对训练集数据进行划分,分成训练集和验证集,并进行相应的操作"""
from sklearn.model_selection import train_test_split
import lightgbm as lgb
# 数据集划分
X_train_split, X_val, y_train_split, y_val = train_test_split(X_train, y_train, test_size=0.2)
train_matrix = lgb.Dataset(X_train_split, label=y_train_split)
valid_matrix = lgb.Dataset(X_val, label=y_val)

params = {
            'boosting_type': 'gbdt',
            'objective': 'binary',
            'learning_rate': 0.1,
            'metric': 'auc',
            'min_child_weight': 1e-3,
            'num_leaves': 31,
            'max_depth': -1,
            'reg_lambda': 0,
            'reg_alpha': 0,
            'feature_fraction': 1,
            'bagging_fraction': 1,
            'bagging_freq': 0,
            'seed': 2020,
            'nthread': 8,
            'silent': True,
            'verbose': -1,
}

"""使用训练集数据进行模型训练"""
model = lgb.train(params, train_set=train_matrix, valid_sets=valid_matrix, num_boost_round=20000, verbose_eval=1000, early_stopping_rounds=200)
Training until validation scores don't improve for 200 rounds
Early stopping, best iteration is:
[427]    valid_0's auc: 0.724947

3.2.3 对验证集进行预测

from sklearn import metrics
from sklearn.metrics import roc_auc_score

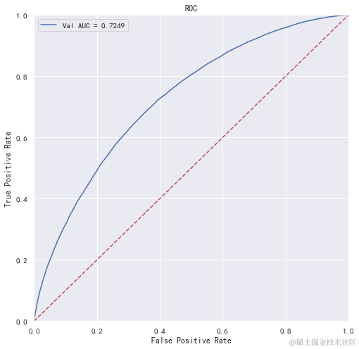
"""预测并计算roc的相关指标"""
val_pre_lgb = model.predict(X_val, num_iteration=model.best_iteration)
fpr, tpr, threshold = metrics.roc_curve(y_val, val_pre_lgb)
roc_auc = metrics.auc(fpr, tpr)
print('未调参前lightgbm单模型在验证集上的AUC:{}'.format(roc_auc))
"""画出roc曲线图"""
plt.figure(figsize=(8, 8))
plt.title('Validation ROC')
plt.plot(fpr, tpr, 'b', label = 'Val AUC = %0.4f' % roc_auc)
plt.ylim(0,1)
plt.xlim(0,1)
plt.legend(loc='best')
plt.title('ROC')
plt.ylabel('True Positive Rate')
plt.xlabel('False Positive Rate')
# 画出对角线
plt.plot([0,1],[0,1],'r--')
plt.show()
未调参前lightgbm单模型在验证集上的AUC:0.7249469360631181

output_10_1.png

3.2.4 使用5折交叉验证进行模型性能评估

import lightgbm as lgb
"""使用lightgbm 5折交叉验证进行建模预测"""
cv_scores = []
for i, (train_index, valid_index) in enumerate(kf.split(X_train, y_train)):
    print('************************************ {} ************************************'.format(str(i+1)))
    X_train_split, y_train_split, X_val, y_val = X_train.iloc[train_index], y_train[train_index], X_train.iloc[valid_index], y_train[valid_index]
    
    train_matrix = lgb.Dataset(X_train_split, label=y_train_split)
    valid_matrix = lgb.Dataset(X_val, label=y_val)

    params = {
                'boosting_type': 'gbdt',
                'objective': 'binary',
                'learning_rate': 0.1,
                'metric': 'auc',
        
                'min_child_weight': 1e-3,
                'num_leaves': 31,
                'max_depth': -1,
                'reg_lambda': 0,
                'reg_alpha': 0,
                'feature_fraction': 1,
                'bagging_fraction': 1,
                'bagging_freq': 0,
                'seed': 2020,
                'nthread': 8,
                'silent': True,
                'verbose': -1,
    }
    
    model = lgb.train(params, train_set=train_matrix, num_boost_round=20000, valid_sets=valid_matrix, verbose_eval=1000, early_stopping_rounds=200)
    val_pred = model.predict(X_val, num_iteration=model.best_iteration)
    
    cv_scores.append(roc_auc_score(y_val, val_pred))
    print(cv_scores)

print("lgb_scotrainre_list:{}".format(cv_scores))
print("lgb_score_mean:{}".format(np.mean(cv_scores)))
print("lgb_score_std:{}".format(np.std(cv_scores)))
...
lgb_scotrainre_list:[0.7303837315833632, 0.7258692125145638, 0.7305149209921737, 0.7296117869375041, 0.7294438695369077]
lgb_score_mean:0.7291647043129024
lgb_score_std:0.0016998349834934656

4.模型调参

4.1. 贪心调参

先使用当前对模型影响最大的参数进行调优,达到当前参数下的模型最优化,再使用对模型影响次之的参数进行调优,如此下去,直到所有的参数调整完毕。

这个方法的缺点就是可能会调到局部最优而不是全局最优,但是只需要一步一步的进行参数最优化调试即可,容易理解。

需要注意的是在树模型中参数调整的顺序,也就是各个参数对模型的影响程度,这里列举一下日常调参过程中常用的参数和调参顺序:

  • ①:max_depth、num_leaves
  • ②:min_data_in_leaf、min_child_weight
  • ③:bagging_fraction、 feature_fraction、bagging_freq
  • ④:reg_lambda、reg_alpha
  • ⑤:min_split_gain
from sklearn.model_selection import cross_val_score

# 调objective
best_obj = dict()
for obj in objective:
    model = LGBMRegressor(objective=obj)
    """预测并计算roc的相关指标"""
    score = cross_val_score(model, X_train, y_train, cv=5, scoring='roc_auc').mean()
    best_obj[obj] = score

# num_leaves
best_leaves = dict()
for leaves in num_leaves:
    model = LGBMRegressor(objective=min(best_obj.items(), key=lambda x:x[1])[0], num_leaves=leaves)
    """预测并计算roc的相关指标"""
    score = cross_val_score(model, X_train, y_train, cv=5, scoring='roc_auc').mean()
    best_leaves[leaves] = score

# max_depth
best_depth = dict()
for depth in max_depth:
    model = LGBMRegressor(objective=min(best_obj.items(), key=lambda x:x[1])[0],
                          num_leaves=min(best_leaves.items(), key=lambda x:x[1])[0],
                          max_depth=depth)
    """预测并计算roc的相关指标"""
    score = cross_val_score(model, X_train, y_train, cv=5, scoring='roc_auc').mean()
    best_depth[depth] = score

"""
可依次将模型的参数通过上面的方式进行调整优化,并且通过可视化观察在每一个最优参数下模型的得分情况
"""

4.2. 网格搜索

sklearn 提供GridSearchCV用于进行网格搜索,只需要把模型的参数输进去,就能给出最优化的结果和参数。相比起贪心调参,网格搜索的结果会更优,但是网格搜索只适合于小数据集,一旦数据的量级上去了,很难得出结果。

同样以Lightgbm算法为例,进行网格搜索调参:

"""通过网格搜索确定最优参数"""
from sklearn.model_selection import GridSearchCV

def get_best_cv_params(learning_rate=0.1, n_estimators=581, num_leaves=31, max_depth=-1, bagging_fraction=1.0, 
                       feature_fraction=1.0, bagging_freq=0, min_data_in_leaf=20, min_child_weight=0.001, 
                       min_split_gain=0, reg_lambda=0, reg_alpha=0, param_grid=None):
    # 设置5折交叉验证
    cv_fold = StratifiedKFold(n_splits=5, random_state=0, shuffle=True, )

    model_lgb = lgb.LGBMClassifier(learning_rate=learning_rate,
                                   n_estimators=n_estimators,
                                   num_leaves=num_leaves,
                                   max_depth=max_depth,
                                   bagging_fraction=bagging_fraction,
                                   feature_fraction=feature_fraction,
                                   bagging_freq=bagging_freq,
                                   min_data_in_leaf=min_data_in_leaf,
                                   min_child_weight=min_child_weight,
                                   min_split_gain=min_split_gain,
                                   reg_lambda=reg_lambda,
                                   reg_alpha=reg_alpha,
                                   n_jobs= 8
                                  )
    grid_search = GridSearchCV(estimator=model_lgb, 
                               cv=cv_fold,
                               param_grid=param_grid,
                               scoring='roc_auc'
                              )
    grid_search.fit(X_train, y_train)

    print('模型当前最优参数为:{}'.format(grid_search.best_params_))
    print('模型当前最优得分为:{}'.format(grid_search.best_score_))
"""以下代码未运行,耗时较长,请谨慎运行,且每一步的最优参数需要在下一步进行手动更新,请注意"""

"""
需要注意一下的是,除了获取上面的获取num_boost_round时候用的是原生的lightgbm(因为要用自带的cv)
下面配合GridSearchCV时必须使用sklearn接口的lightgbm。
"""
"""设置n_estimators 为581,调整num_leaves和max_depth,这里选择先粗调再细调"""
lgb_params = {'num_leaves': range(10, 80, 5), 'max_depth': range(3,10,2)}
get_best_cv_params(learning_rate=0.1, n_estimators=581, num_leaves=None, max_depth=None, min_data_in_leaf=20, 
                   min_child_weight=0.001,bagging_fraction=1.0, feature_fraction=1.0, bagging_freq=0, 
                   min_split_gain=0, reg_lambda=0, reg_alpha=0, param_grid=lgb_params)

"""num_leaves为30,max_depth为7,进一步细调num_leaves和max_depth"""
lgb_params = {'num_leaves': range(25, 35, 1), 'max_depth': range(5,9,1)}
get_best_cv_params(learning_rate=0.1, n_estimators=85, num_leaves=None, max_depth=None, min_data_in_leaf=20, 
                   min_child_weight=0.001,bagging_fraction=1.0, feature_fraction=1.0, bagging_freq=0, 
                   min_split_gain=0, reg_lambda=0, reg_alpha=0, param_grid=lgb_params)

"""
确定min_data_in_leaf为45,min_child_weight为0.001 ,下面进行bagging_fraction、feature_fraction和bagging_freq的调参
"""
lgb_params = {'bagging_fraction': [i/10 for i in range(5,10,1)], 
              'feature_fraction': [i/10 for i in range(5,10,1)],
              'bagging_freq': range(0,81,10)
             }
get_best_cv_params(learning_rate=0.1, n_estimators=85, num_leaves=29, max_depth=7, min_data_in_leaf=45, 
                   min_child_weight=0.001,bagging_fraction=None, feature_fraction=None, bagging_freq=None, 
                   min_split_gain=0, reg_lambda=0, reg_alpha=0, param_grid=lgb_params)

"""
确定bagging_fraction为0.4、feature_fraction为0.6、bagging_freq为 ,下面进行reg_lambda、reg_alpha的调参
"""
lgb_params = {'reg_lambda': [0,0.001,0.01,0.03,0.08,0.3,0.5], 'reg_alpha': [0,0.001,0.01,0.03,0.08,0.3,0.5]}
get_best_cv_params(learning_rate=0.1, n_estimators=85, num_leaves=29, max_depth=7, min_data_in_leaf=45, 
                   min_child_weight=0.001,bagging_fraction=0.9, feature_fraction=0.9, bagging_freq=40, 
                   min_split_gain=0, reg_lambda=None, reg_alpha=None, param_grid=lgb_params)

"""
确定reg_lambda、reg_alpha都为0,下面进行min_split_gain的调参
"""
lgb_params = {'min_split_gain': [i/10 for i in range(0,11,1)]}
get_best_cv_params(learning_rate=0.1, n_estimators=85, num_leaves=29, max_depth=7, min_data_in_leaf=45, 
                   min_child_weight=0.001,bagging_fraction=0.9, feature_fraction=0.9, bagging_freq=40, 
                   min_split_gain=None, reg_lambda=0, reg_alpha=0, param_grid=lgb_params)
"""
参数确定好了以后,我们设置一个比较小的learning_rate 0.005,来确定最终的num_boost_round
"""
# 设置5折交叉验证
# cv_fold = StratifiedKFold(n_splits=5, random_state=0, shuffle=True, )
final_params = {
                'boosting_type': 'gbdt',
                'learning_rate': 0.01,
                'num_leaves': 29,
                'max_depth': 7,
                'min_data_in_leaf':45,
                'min_child_weight':0.001,
                'bagging_fraction': 0.9,
                'feature_fraction': 0.9,
                'bagging_freq': 40,
                'min_split_gain': 0,
                'reg_lambda':0,
                'reg_alpha':0,
                'nthread': 6
               }

cv_result = lgb.cv(train_set=lgb_train,
                   early_stopping_rounds=20,
                   num_boost_round=5000,
                   nfold=5,
                   stratified=True,
                   shuffle=True,
                   params=final_params,
                   metrics='auc',
                   seed=0,
                  )

print('迭代次数{}'.format(len(cv_result['auc-mean'])))
print('交叉验证的AUC为{}'.format(max(cv_result['auc-mean'])))

4.3 贝叶斯调参

在使用之前需要先安装包bayesian-optimization,运行如下命令即可:

pip install bayesian-optimization

贝叶斯调参的主要思想是:给定优化的目标函数(广义的函数,只需指定输入和输出即可,无需知道内部结构以及数学性质),通过不断地添加样本点来更新目标函数的后验分布(高斯过程,直到后验分布基本贴合于真实分布)。简单的说,就是考虑了上一次参数的信息,从而更好的调整当前的参数。

贝叶斯调参的步骤如下:

  • 定义优化函数(rf_cv)
  • 建立模型
  • 定义待优化的参数
  • 得到优化结果,并返回要优化的分数指标
from sklearn.model_selection import cross_val_score

"""定义优化函数"""
def rf_cv_lgb(num_leaves, max_depth, bagging_fraction, feature_fraction, bagging_freq, min_data_in_leaf, 
              min_child_weight, min_split_gain, reg_lambda, reg_alpha):
    # 建立模型
    model_lgb = lgb.LGBMClassifier(boosting_type='gbdt', bjective='binary', metric='auc',
                                   learning_rate=0.1, n_estimators=5000,
                                   num_leaves=int(num_leaves), max_depth=int(max_depth), 
                                   bagging_fraction=round(bagging_fraction, 2), feature_fraction=round(feature_fraction, 2),
                                   bagging_freq=int(bagging_freq), min_data_in_leaf=int(min_data_in_leaf),
                                   min_child_weight=min_child_weight, min_split_gain=min_split_gain,
                                   reg_lambda=reg_lambda, reg_alpha=reg_alpha,
                                   n_jobs= 8
                                  )

    val = cross_val_score(model_lgb, X_train_split, y_train_split, cv=5, scoring='roc_auc').mean()

    return val
from bayes_opt import BayesianOptimization
"""定义优化参数"""
bayes_lgb = BayesianOptimization(
    rf_cv_lgb, 
    {
        'num_leaves':(10, 200),
        'max_depth':(3, 20),
        'bagging_fraction':(0.5, 1.0),
        'feature_fraction':(0.5, 1.0),
        'bagging_freq':(0, 100),
        'min_data_in_leaf':(10,100),
        'min_child_weight':(0, 10),
        'min_split_gain':(0.0, 1.0),
        'reg_alpha':(0.0, 10),
        'reg_lambda':(0.0, 10),
    }
)

"""开始优化"""
bayes_lgb.maximize(n_iter=10)
|   iter    |  target   | baggin... | baggin... | featur... | max_depth | min_ch... | min_da... | min_sp... | num_le... | reg_alpha | reg_la... |
-------------------------------------------------------------------------------------------------------------------------------------------------
| [0m 1       [0m | [0m 0.7263  [0m | [0m 0.7196  [0m | [0m 80.73   [0m | [0m 0.7988  [0m | [0m 19.17   [0m | [0m 5.751   [0m | [0m 40.71   [0m | [0m 0.9548  [0m | [0m 176.2   [0m | [0m 2.939   [0m | [0m 7.212   [0m |
| [95m 2       [0m | [95m 0.7279  [0m | [95m 0.8997  [0m | [95m 74.72   [0m | [95m 0.5904  [0m | [95m 7.259   [0m | [95m 6.175   [0m | [95m 92.03   [0m | [95m 0.4027  [0m | [95m 51.65   [0m | [95m 6.404   [0m | [95m 4.781   [0m |
| [0m 3       [0m | [0m 0.7207  [0m | [0m 0.5133  [0m | [0m 16.53   [0m | [0m 0.9536  [0m | [0m 4.974   [0m | [0m 2.37    [0m | [0m 98.08   [0m | [0m 0.7909  [0m | [0m 52.12   [0m | [0m 4.443   [0m | [0m 4.429   [0m |
| [0m 4       [0m | [0m 0.7276  [0m | [0m 0.6265  [0m | [0m 53.12   [0m | [0m 0.7307  [0m | [0m 10.67   [0m | [0m 1.824   [0m | [0m 18.98   [0m | [0m 0.954   [0m | [0m 60.47   [0m | [0m 6.963   [0m | [0m 1.999   [0m |
| [0m 5       [0m | [0m 0.6963  [0m | [0m 0.6509  [0m | [0m 11.58   [0m | [0m 0.5386  [0m | [0m 11.21   [0m | [0m 7.85    [0m | [0m 11.4    [0m | [0m 0.4269  [0m | [0m 153.0   [0m | [0m 0.5227  [0m | [0m 2.257   [0m |
| [0m 6       [0m | [0m 0.7276  [0m | [0m 0.6241  [0m | [0m 49.76   [0m | [0m 0.6057  [0m | [0m 10.34   [0m | [0m 1.718   [0m | [0m 22.43   [0m | [0m 0.8294  [0m | [0m 55.68   [0m | [0m 6.759   [0m | [0m 2.6     [0m |
| [95m 7       [0m | [95m 0.7283  [0m | [95m 0.9815  [0m | [95m 96.15   [0m | [95m 0.6961  [0m | [95m 19.45   [0m | [95m 1.627   [0m | [95m 37.7    [0m | [95m 0.4185  [0m | [95m 14.22   [0m | [95m 7.057   [0m | [95m 9.924   [0m |
| [0m 8       [0m | [0m 0.7278  [0m | [0m 0.7139  [0m | [0m 96.83   [0m | [0m 0.5063  [0m | [0m 3.941   [0m | [0m 1.469   [0m | [0m 97.28   [0m | [0m 0.07553 [0m | [0m 196.9   [0m | [0m 7.988   [0m | [0m 2.159   [0m |
| [0m 9       [0m | [0m 0.7195  [0m | [0m 0.5352  [0m | [0m 98.72   [0m | [0m 0.9699  [0m | [0m 4.445   [0m | [0m 1.767   [0m | [0m 13.91   [0m | [0m 0.1647  [0m | [0m 191.5   [0m | [0m 4.003   [0m | [0m 2.027   [0m |
| [0m 10      [0m | [0m 0.7281  [0m | [0m 0.7281  [0m | [0m 73.63   [0m | [0m 0.5598  [0m | [0m 19.29   [0m | [0m 0.5344  [0m | [0m 99.66   [0m | [0m 0.933   [0m | [0m 101.4   [0m | [0m 8.836   [0m | [0m 0.9222  [0m |
| [0m 11      [0m | [0m 0.7279  [0m | [0m 0.8213  [0m | [0m 0.05856 [0m | [0m 0.7626  [0m | [0m 17.49   [0m | [0m 8.447   [0m | [0m 10.71   [0m | [0m 0.3252  [0m | [0m 13.64   [0m | [0m 9.319   [0m | [0m 0.4747  [0m |
| [0m 12      [0m | [0m 0.7281  [0m | [0m 0.8372  [0m | [0m 95.71   [0m | [0m 0.9598  [0m | [0m 10.32   [0m | [0m 8.394   [0m | [0m 15.23   [0m | [0m 0.4909  [0m | [0m 94.48   [0m | [0m 9.486   [0m | [0m 9.044   [0m |
| [0m 13      [0m | [0m 0.6993  [0m | [0m 0.5183  [0m | [0m 99.02   [0m | [0m 0.542   [0m | [0m 15.5    [0m | [0m 8.35    [0m | [0m 38.15   [0m | [0m 0.4079  [0m | [0m 58.01   [0m | [0m 0.2668  [0m | [0m 1.652   [0m |
| [0m 14      [0m | [0m 0.7267  [0m | [0m 0.7933  [0m | [0m 4.459   [0m | [0m 0.79    [0m | [0m 7.557   [0m | [0m 2.43    [0m | [0m 27.91   [0m | [0m 0.8725  [0m | [0m 28.32   [0m | [0m 9.967   [0m | [0m 9.885   [0m |
| [0m 15      [0m | [0m 0.6979  [0m | [0m 0.9419  [0m | [0m 1.22    [0m | [0m 0.835   [0m | [0m 11.56   [0m | [0m 9.962   [0m | [0m 93.79   [0m | [0m 0.018   [0m | [0m 197.6   [0m | [0m 9.711   [0m | [0m 3.78    [0m |
=================================================================================================================================================
"""显示优化结果"""
bayes_lgb.max
{'target': 0.7282530196283977,
 'params': {'bagging_fraction': 0.9815471914843896,
  'bagging_freq': 96.14757648686668,
  'feature_fraction': 0.6961281791730929,
  'max_depth': 19.45450235568963,
  'min_child_weight': 1.6266132496156782,
  'min_data_in_leaf': 37.697878831472295,
  'min_split_gain': 0.4184947943942168,
  'num_leaves': 14.221122487200399,
  'reg_alpha': 7.056502173310882,
  'reg_lambda': 9.924023764203156}}

参数优化完成后,我们可以根据优化后的参数建立新的模型,降低学习率并寻找最优模型迭代次数

"""调整一个较小的学习率,并通过cv函数确定当前最优的迭代次数"""
base_params_lgb = {
                    'boosting_type': 'gbdt',
                    'objective': 'binary',
                    'metric': 'auc',
                    'learning_rate': 0.01,
                    'num_leaves': 14,
                    'max_depth': 19,
                    'min_data_in_leaf': 37,
                    'min_child_weight':1.6,
                    'bagging_fraction': 0.98,
                    'feature_fraction': 0.69,
                    'bagging_freq': 96,
                    'reg_lambda': 9,
                    'reg_alpha': 7,
                    'min_split_gain': 0.4,
                    'nthread': 8,
                    'seed': 2020,
                    'silent': True,
                    'verbose': -1,
}

cv_result_lgb = lgb.cv(
    train_set=train_matrix,
    early_stopping_rounds=1000, 
    num_boost_round=20000,
    nfold=5,
    stratified=True,
    shuffle=True,
    params=base_params_lgb,
    metrics='auc',
    seed=0
)

print('迭代次数{}'.format(len(cv_result_lgb['auc-mean'])))
print('最终模型的AUC为{}'.format(max(cv_result_lgb['auc-mean'])))
迭代次数14269
最终模型的AUC为0.7315032037635779

4.3.1 模型参数确定,建立最终模型并对验证集进行验证

import lightgbm as lgb
"""使用lightgbm 5折交叉验证进行建模预测"""
cv_scores = []
for i, (train_index, valid_index) in enumerate(kf.split(X_train, y_train)):
    print('************************************ {} ************************************'.format(str(i+1)))
    X_train_split, y_train_split, X_val, y_val = X_train.iloc[train_index], y_train[train_index], X_train.iloc[valid_index], y_train[valid_index]

    train_matrix = lgb.Dataset(X_train_split, label=y_train_split)
    valid_matrix = lgb.Dataset(X_val, label=y_val)

    params = {
                'boosting_type': 'gbdt',
                'objective': 'binary',
                'metric': 'auc',
                'learning_rate': 0.01,
                'num_leaves': 14,
                'max_depth': 19,
                'min_data_in_leaf': 37,
                'min_child_weight':1.6,
                'bagging_fraction': 0.98,
                'feature_fraction': 0.69,
                'bagging_freq': 96,
                'reg_lambda': 9,
                'reg_alpha': 7,
                'min_split_gain': 0.4,
                'nthread': 8,
                'seed': 2020,
                'silent': True,
    }

    model = lgb.train(params, train_set=train_matrix, num_boost_round=14269, valid_sets=valid_matrix, verbose_eval=1000, early_stopping_rounds=200)
    val_pred = model.predict(X_val, num_iteration=model.best_iteration)

    cv_scores.append(roc_auc_score(y_val, val_pred))
    print(cv_scores)

print("lgb_scotrainre_list:{}".format(cv_scores))
print("lgb_score_mean:{}".format(np.mean(cv_scores)))
print("lgb_score_std:{}".format(np.std(cv_scores)))
...
lgb_scotrainre_list:[0.7329726464187137, 0.7294292852806246, 0.7341505801564857, 0.7328331383185244, 0.7317405262608612]
lgb_score_mean:0.732225235287042
lgb_score_std:0.0015929470575114753

通过5折交叉验证可以发现,模型迭代次数在13000次的时候会停之,那么我们在建立新模型时直接设置最大迭代次数,并使用验证集进行模型预测

""""""
base_params_lgb = {
                    'boosting_type': 'gbdt',
                    'objective': 'binary',
                    'metric': 'auc',
                    'learning_rate': 0.01,
                    'num_leaves': 14,
                    'max_depth': 19,
                    'min_data_in_leaf': 37,
                    'min_child_weight':1.6,
                    'bagging_fraction': 0.98,
                    'feature_fraction': 0.69,
                    'bagging_freq': 96,
                    'reg_lambda': 9,
                    'reg_alpha': 7,
                    'min_split_gain': 0.4,
                    'nthread': 8,
                    'seed': 2020,
                    'silent': True,
}

"""使用训练集数据进行模型训练"""
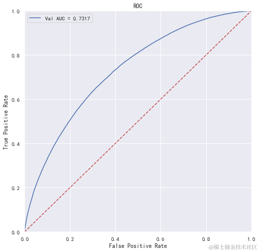
final_model_lgb = lgb.train(base_params_lgb, train_set=train_matrix, valid_sets=valid_matrix, num_boost_round=13000, verbose_eval=1000, early_stopping_rounds=200)

"""预测并计算roc的相关指标"""
val_pre_lgb = final_model_lgb.predict(X_val)
fpr, tpr, threshold = metrics.roc_curve(y_val, val_pre_lgb)
roc_auc = metrics.auc(fpr, tpr)
print('调参后lightgbm单模型在验证集上的AUC:{}'.format(roc_auc))
"""画出roc曲线图"""
plt.figure(figsize=(8, 8))
plt.title('Validation ROC')
plt.plot(fpr, tpr, 'b', label = 'Val AUC = %0.4f' % roc_auc)
plt.ylim(0,1)
plt.xlim(0,1)
plt.legend(loc='best')
plt.title('ROC')
plt.ylabel('True Positive Rate')
plt.xlabel('False Positive Rate')
# 画出对角线
plt.plot([0,1],[0,1],'r--')
plt.show()
  • Training until validation scores don't improve for 200 rounds
    [1000]    valid_0's auc: 0.723676
    [2000]    valid_0's auc: 0.727282
    [3000]    valid_0's auc: 0.728593
    [4000]    valid_0's auc: 0.729493
    [5000]    valid_0's auc: 0.730087
    [6000]    valid_0's auc: 0.730515
    [7000]    valid_0's auc: 0.730872
    [8000]    valid_0's auc: 0.731121
    [9000]    valid_0's auc: 0.731351
    [10000]    valid_0's auc: 0.731502
    [11000]    valid_0's auc: 0.731707
    Early stopping, best iteration is:
    [11192]    valid_0's auc: 0.731741
    调参后lightgbm单模型在验证集上的AUC:0.7317405262608612
    

output_29_1.png

可以看到相比最早的原始参数,模型的性能还是有提升的

 """保存模型到本地"""
  # 保存模型
  import pickle
  pickle.dump(final_model_lgb, open('dataset/model_lgb_best.pkl', 'wb'))
  • 模型调参小总结

    • 集成模型内置的cv函数可以较快的进行单一参数的调节,一般可以用来优先确定树模型的迭代次数

    • 数据量较大的时候(例如本次项目的数据),网格搜索调参会特别特别慢,不建议尝试

    • 集成模型中原生库和sklearn下的库部分参数不一致,需要注意,具体可以参考xgb和lgb的官方API

      xgb原生库APIsklearn库下xgbAPI

      lgb原生库API, sklearn库下lgbAPI

4.4 本节总结

在本节中,我们主要完成了建模与调参的工作,首先在建模的过程中通过划分数据集、交叉验证等方式对模型的性能进行评估验证,并通过可视化方式绘制模型ROC曲线。

最后我们对模型进行调参,这部分介绍了贪心调参、网格搜索调参、贝叶斯调参共三种调参手段,重点使用贝叶斯调参对本次项目进行简单优化,大家在实际操作的过程中可以参考调参思路进行优化,不必拘泥于以上教程所写的具体实例。

5 模型融合

和前面博客类同,可参考文章:

数据挖掘机器学习[五]---汽车交易价格预测详细版本{模型融合(Stacking、Blending、Bagging和Boosting)}_汀、的博客-CSDN博客题目出自阿里天池赛题链接:零基础入门数据挖掘 - 二手车交易价格预测-天池大赛-阿里云天池相关文章:特征工程详解及实战项目【参考】数据挖掘---汽车车交易价格预测[一](测评指标;EDA)数据挖掘机器学习---汽车交易价格预测详细版本[二]{EDA-数据探索性分析}数据挖掘机器学习---汽车交易价格预测详细版本[三]{特征工程、交叉检验、绘制学习率曲线与验证曲线}前言因为文档是去年弄的,很多资料都有点找不到了,我尽可能写的详细。后面以2021年研究生数学建模B题为例【空气质量预.https://blog.csdn.net/sinat_39620217/article/details/124364013?spm=1001.2014.3001.5502模型融合参考欢迎登录阿里云,全球领先的云计算及人工智能科技公司,阿里云为200多个国家和地区的企业、开发者和政府机构提供云计算基础服务及解决方案。阿里云云计算、安全、大数据、人工智能、企业应用、物联网等云计算服务。https://tianchi.aliyun.com/course/317/3608

零基础数据挖掘入门系列(六) - 模型的融合技术大总结与结果部署_翻滚的小@强的博客-CSDN博客_数据挖掘与融合技术思维导图:零基础入门数据挖掘的学习路径1. 写在前面零基础入门数据挖掘是记录自己在Datawhale举办的数据挖掘专题学习中的所学和所想, 该系列笔记使用理论结合实践的方式,整理数据挖掘相关知识,提升在实际场景中的数据分析、数据清洗,特征工程、建模调参和模型融合等技能。所以这个系列笔记共五篇重点内容, 也分别从上面五方面进行整理学习, 既是希望能对知识从实战的角度串联回忆,加强动手能力的锻炼,...https://blog.csdn.net/wuzhongqiang/article/details/105012739