【深度学习项目五】:利用LSTM网络进行情感分析(NLP)

406 阅读30分钟

相关文章:
【深度学习项目一】全连接神经网络实现mnist数字识别](blog.csdn.net/sinat_39620…)
【深度学习项目二】卷积神经网络LeNet实现minst数字识别
【深度学习项目三】ResNet50多分类任务【十二生肖分类】
『深度学习项目四』基于ResNet101人脸特征点检测
项目链接:aistudio.baidu.com/aistudio/pr…

1. NLP知识简介

情感分析,是文本分类任务的经典场景:

  • 输入:一个自然语言句子。
  • 输出:输出这个句子的情感分类,如高兴、伤心
    通常看作一个三分类问题:
  • 正向:表示正面积极的情感,如高兴、喜欢。
  • 负向:表示负面消极的情感,如难过、讨厌。
  • 中性:其他类型的情感。

2. NLP原理介绍

数据处理通用流程 以句子分类为例

PaddleX

  • 词汇表长度5w
  • 词向量纬度: 500
  • 批处理句子数Batch_ size : 128,
  • 统-句子长度num. token: 3
  • 词向量纬度Emb_ dimension : 500
  • 句子向量纬度Emb. size: 200

首先进行切词,将词通过唯一的one-hot向量表示得到唯一ID,再乘以词向量表得到表示矩阵,进行批处理得到[128,3,5]的词向量.长度统一:短补长截

如何刻画句子的语义信息

2.1 序列处理法:

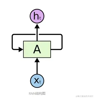
2.1.1 循环神经网络RNN

RNN是两种神经网络模型的缩写,一种是递归神经网络(Recursive Neural Network),一种是循环神经网络(Recurrent Neural Network)。虽然这两种神经网络有着千丝万缕的联系,但是本文主要讨论的是第二种神经网络模型——循环神经网络(Recurrent Neural Network)
RNN网络和其他网络最大的不同就在于RNN能够实现某种“记忆功能”,是进行时间序列分析时最好的选择。如同人类能够凭借自己过往的记忆更好地认识这个世界一样。RNN也实现了类似于人脑的这一机制,对所处理过的信息留存有一定的记忆,而不像其他类型的神经网络并不能对处理过的信息留存记忆。

由上图可以看出:一个典型的RNN网络包含一个输入x,一个输出h和一个神经网络单元A。和普通的神经网络不同的是,RNN网络的神经网络单元A不仅仅与输入和输出存在联系,其与自身也存在一个回路。这种网络结构就揭示了RNN的实质:上一个时刻的网络状态信息将会作用于下一个时刻的网络状态。如果上图的网络结构仍不够清晰,RNN网络还能够以时间序列展开成如下形式:

等号右边是RNN的展开形式。由于RNN一般用来处理序列信息,因此下文说明时都以时间序列来举例,解释。等号右边的等价RNN网络中最初始的输入是x0,输出是h0,这代表着0时刻RNN网络的输入为x0,输出为h0,网络神经元在0时刻的状态保存在A中。当下一个时刻1到来时,此时网络神经元的状态不仅仅由1时刻的输入x1决定,也由0时刻的神经元状态决定。以后的情况都以此类推,直到时间序列的末尾t时刻。

上面的过程可以用一个简单的例子来论证:假设现在有一句话“I want to play basketball”,由于自然语言本身就是一个时间序列,较早的语言会与较后的语言存在某种联系,例如刚才的句子中“play”这个动词意味着后面一定会有一个名词,而这个名词具体是什么可能需要更遥远的语境来决定,因此一句话也可以作为RNN的输入。回到刚才的那句话,这句话中的5个单词是以时序出现的,我们现在将这五个单词编码后依次输入到RNN中。首先是单词“I”,它作为时序上第一个出现的单词被用作x0输入,拥有一个h0输出,并且改变了初始神经元A的状态。单词“want”作为时序上第二个出现的单词作为x1输入,这时RNN的输出和神经元状态将不仅仅由x1决定,也将由上一时刻的神经元状态或者说上一时刻的输入x0决定。之后的情况以此类推,直到上述句子输入到最后一个单词“basketball”。

RNN的神经元结构:

上图依然是一个RNN神经网络的时序展开模型,中间t时刻的网络模型揭示了RNN的结构。可以看到,原始的RNN网络的内部结构非常简单。神经元A在t时刻的状态仅仅是t-1时刻神经元状态与t时刻网络输入的双曲正切函数的值,这个值不仅仅作为该时刻网络的输出,也作为该时刻网络的状态被传入到下一个时刻的网络状态中,这个过程叫做RNN的正向传播(forward propagation)。

2.1.2 长短时记忆网络LSTM

2.1.3 全连接层、线性分类器

# 下载paddlenlp
!pip install --upgrade paddlenlp -i https://pypi.org/simple
import paddle
import paddlenlp

print(paddle.__version__, paddlenlp.__version__)

2.2 PaddleNLP和Paddle框架是关系

\

\

  • Paddle框架是基础底座,提供深度学习任务全流程API。PaddleNLP基于Paddle框架开发,适用于NLP任务。

PaddleNLP中数据处理、数据集、组网单元等API未来会沉淀到框架paddle.text中。

  • 代码中继承
    class TSVDataset(paddle.io.Dataset)

2.3 使用飞桨完成深度学习任务的通用流程

import numpy as np
from functools import partial

import paddle.nn as nn
import paddle.nn.functional as F
import paddlenlp as ppnlp
from paddlenlp.data import Pad, Stack, Tuple
from paddlenlp.datasets import MapDataset

from utils import load_vocab, convert_example

3. 数据集和数据处理

3.1 自定义数据集

映射式(map-style)数据集需要继承paddle.io.Dataset

  • __getitem__: 根据给定索引获取数据集中指定样本,在 paddle.io.DataLoader 中需要使用此函数通过下标获取样本。
  • __len__: 返回数据集样本个数, paddle.io.BatchSampler 中需要样本个数生成下标序列。

下面分为两种编写方法:

from paddlenlp.datasets import load_dataset

def read(data_path):
    with open(data_path, 'r', encoding='utf-8') as f:
        for line in f:
            l = line.strip('\n').split('\t')
            if len(l) != 2:
                print (len(l), line)
            words, labels = line.strip('\n').split('\t')
            # words = words.split('\002')
            # labels = labels.split('\002')
            yield {'tokens': words, 'labels': labels}

# data_path为read()方法的参数
train_ds = load_dataset(read, data_path='train.txt',lazy=False)
dev_ds = load_dataset(read, data_path='dev.txt',lazy=True)  #验证数据集
test_ds = load_dataset(read, data_path='test.txt',lazy=True)
# class SelfDefinedDataset(paddle.io.Dataset):
#     def __init__(self, data):
#         super(SelfDefinedDataset, self).__init__()
#         self.data = data

#     def __getitem__(self, idx):
#         return self.data[idx]

#     def __len__(self):
#         return len(self.data)
        
#     def get_labels(self):
#         return ["0", "1"]

# def txt_to_list(file_name):
#     res_list = []
#     for line in open(file_name):
#         res_list.append(line.strip().split('\t'))
#     return res_list

# trainlst = txt_to_list('train.txt')
# devlst = txt_to_list('dev.txt')
# testlst = txt_to_list('test.txt')

# train_ds, dev_ds, test_ds = SelfDefinedDataset.get_datasets([trainlst, devlst, testlst])
for i in range(20):
    print (train_ds[i])
{'tokens': '赢在心理,输在出品!杨枝太酸,三文鱼熟了,酥皮焗杏汁杂果可以换个名(九唔搭八)', 'labels': '0'}
{'tokens': '服务一般,客人多,服务员少,但食品很不错', 'labels': '1'}
{'tokens': '東坡肉竟然有好多毛,問佢地點解,佢地仲話係咁架\ue107\ue107\ue107\ue107\ue107\ue107\ue107冇天理,第一次食東坡肉有毛,波羅包就幾好食', 'labels': '0'}
{'tokens': '父亲节去的,人很多,口味还可以上菜快!但是结账的时候,算错了没有打折,我也忘记拿清单了。说好打8折的,收银员没有打,人太多一时自己也没有想起。不知道收银员忘记,还是故意那钱露入自己钱包。。', 'labels': '0'}
{'tokens': '吃野味,吃个新鲜,你当然一定要来广州吃鹿肉啦*价格便宜,量好足,', 'labels': '1'}
{'tokens': '味道几好服务都五错推荐鹅肝乳鸽飞鱼', 'labels': '1'}
{'tokens': '作为老字号,水准保持算是不错,龟岗分店可能是位置问题,人不算多,基本不用等位,自从抢了券,去过好几次了,每次都可以打85以上的评分,算是可以了~粉丝煲每次必点,哈哈,鱼也不错,还会来帮衬的,楼下还可以免费停车!', 'labels': '1'}
{'tokens': '边到正宗啊?味味都咸死人啦,粤菜讲求鲜甜,五知点解感多人话好吃。', 'labels': '0'}
{'tokens': '环境卫生差,出品垃圾,冇下次,不知所为', 'labels': '0'}
{'tokens': '和苑真是精致粤菜第一家,服务菜品都一流', 'labels': '1'}
{'tokens': '服务不是一般的差,特别是部长那些', 'labels': '0'}
{'tokens': '今天又去了,虽然上次吃完愤愤地说下次再也不去了,可是,今天是客户选被迫就范,两个人最后买单4800元,菜价全广州最贵,部长点菜只建议点最贵,不建议点好吃的,服务态度倒是很好,好态度背后隐藏着一把锋利的刀,出来有种被当水鱼被斩的感觉,有种被侮辱智商的挫败。。。', 'labels': '0'}
{'tokens': '第二次来了,味道不错!!分量还可以', 'labels': '1'}
{'tokens': '上菜慢,价钱偏贵,细路太多不适合情侣!无下次!', 'labels': '0'}
{'tokens': '茶没喝,人已被气饱,谁还会再来!昨晚8:10分,我们一行2人上到二楼,带位领班安排我们就坐窗边位置,周围的几张台都坐满了客人,随后一位服务生对我们说该区域九点结束营业,我们明确表示9点前一定离开,他也同意了;过了5分钟另一位服务生又跟我们说9点要搞卫生(脸色很难看),我们再次强调会按时离开;又过了5分钟,再来了一位服务生语气很不客气的要我们去其他区域,我们一听就来气了,我们从进店开始已整整坐了十几分钟,不但茶没喝,还在受气,说实在话这个时间我要点的东西都已上齐,位置是你们安排的,这是你们内部的管理问题,该区域也没有任何9点停止营业的告示,大厅的营业时间是到22:30分的。喝茶本是愉悦的,但遇上这样的服务态度,这样的管理水平,实在无法忍受,气愤的离开了,以后也不会光顾了。本人从事旅游行业多年,也安排了很多国外入境客人品尝各种广东风味小吃,但像这样的服务态度和服务水平实在不敢恭维,那敢再带国外客人光顾呢?', 'labels': '0'}
{'tokens': '对这次服务满意坏境不错,服务周到。', 'labels': '0'}
{'tokens': '两点来的,说是两点半就不能点点心,催着点了。直接带到25元一位的大厅,坐下开始点菜才知道楼上有几块钱的。先后点的四种点心,都是点完半天来告诉我们没有,实在太扫兴,太扫兴,太扫兴。服务员也很冷淡,冷淡到不行。如果有无星,我一颗星都不给。', 'labels': '0'}
{'tokens': '服务态度超差,真系以后都唔会再去', 'labels': '0'}
{'tokens': '口味不错,消费不贵,可以和朋友们一起来', 'labels': '1'}
{'tokens': '出发前查过点评网营业到04:00,到店00:00左右,见门口写营业到02:00,见里面仲有几台客,就入去坐低,服务员过嚟话开到01:30,都算,坐低咗就快快翠食完走,点知一话要点起片打边炉,服务员就话肯定赶唔切…差在未赶我地走,无语…果断转场…口味五星纯粹就评俾印象中嘅口味', 'labels': '0'}

3.2 数据处理

为了将原始数据处理成模型可以读入的格式,本项目将对数据作以下处理:

  • 首先使用jieba切词,之后将jieba切完后的单词映射词表中单词id。

  • 使用paddle.io.DataLoader接口多线程异步加载数据。

其中用到了PaddleNLP中关于数据处理的API。PaddleNLP提供了许多关于NLP任务中构建有效的数据pipeline的常用API

API简介
paddlenlp.data.Stack堆叠N个具有相同shape的输入数据来构建一个batch,它的输入必须具有相同的shape,输出便是这些输入的堆叠组成的batch数据。
paddlenlp.data.Pad堆叠N个输入数据来构建一个batch,每个输入数据将会被padding到N个输入数据中最大的长度
paddlenlp.data.Tuple将多个组batch的函数包装在一起

更多数据处理操作详见: github.com/PaddlePaddl…

# 下载词汇表文件word_dict.txt,用于构造词-id映射关系。
!wget https://paddlenlp.bj.bcebos.com/data/senta_word_dict.txt

# 加载词表
vocab = load_vocab('./senta_word_dict.txt')

for k, v in vocab.items():
    print(k, v)
    break
https://paddlenlp.bj.bcebos.com/data/senta_word_dict.txt
Resolving paddlenlp.bj.bcebos.com (paddlenlp.bj.bcebos.com)... 100.64.253.37, 100.64.253.38
Connecting to paddlenlp.bj.bcebos.com (paddlenlp.bj.bcebos.com)|100.64.253.37|:443... connected.
HTTP request sent, awaiting response... 200 OK
Length: 14600150 (14M) [text/plain]
Saving to: ‘senta_word_dict.txt.1’

senta_word_dict.txt 100%[===================>]  13.92M  73.9MB/s    in 0.2s    

2021-05-25 18:51:53 (73.9 MB/s) - ‘senta_word_dict.txt.1’ saved [14600150/14600150]

[PAD] 0
## 3.3构造dataloder

下面的`create_data_loader`函数用于创建运行和预测时所需要的`DataLoader`对象。

* `paddle.io.DataLoader`返回一个迭代器,该迭代器根据`batch_sampler`指定的顺序迭代返回dataset数据。异步加载数据。

* `batch_sampler`:DataLoader通过 batch_sampler 产生的mini-batch索引列表来 dataset 中索引样本并组成mini-batch

* `collate_fn`:指定如何将样本列表组合为mini-batch数据。传给它参数需要是一个callable对象,需要实现对组建的batch的处理逻辑,并返回每个batch的数据。在这里传入的是`prepare_input`函数,对产生的数据进行pad操作,并返回实际长度等。
# Reads data and generates mini-batches.
def create_dataloader(dataset,
                      trans_function=None, #数据集转换例如:词转换成id
                      mode='train',
                      batch_size=1,
                      pad_token_id=0,      #padding的特殊符号的id
                      batchify_fn=None):   #读batch的函数
    if trans_function:
        dataset_map = dataset.map(trans_function)

    # return_list 数据是否以list形式返回
    # collate_fn  指定如何将样本列表组合为mini-batch数据。传给它参数需要是一个callable对象,需要实现对组建的batch的处理逻辑,并返回每个batch的数据。在这里传入的是`prepare_input`函数,对产生的数据进行pad操作,并返回实际长度等。
    dataloader = paddle.io.DataLoader(
        dataset_map,
        return_list=True,
        batch_size=batch_size,
        collate_fn=batchify_fn)
        
    return dataloader

# python中的偏函数partial,把一个函数的某些参数固定住(也就是设置默认值),返回一个新的函数,调用这个新函数会更简单。
#转换成id序列
trans_function = partial(
    convert_example,
    vocab=vocab,
    unk_token_id=vocab.get('[UNK]', 1),
    is_test=False)

# 将读入的数据batch化处理,便于模型batch化运算。
# batch中的每个句子将会padding到这个batch中的文本最大长度batch_max_seq_len。
# 当文本长度大于batch_max_seq时,将会截断到batch_max_seq_len;当文本长度小于batch_max_seq时,将会padding补齐到batch_max_seq_len.
#pad pai将句子统一到一定长度
batchify_fn = lambda samples, fn=Tuple(
    Pad(axis=0, pad_val=vocab['[PAD]']),  # input_ids
    Stack(dtype="int64"),  # seq len
    Stack(dtype="int64")  # label
): [data for data in fn(samples)]

#调用三次dataloader
train_loader = create_dataloader(
    train_ds,
    trans_function=trans_function,
    batch_size=128,
    mode='train',
    batchify_fn=batchify_fn)
dev_loader = create_dataloader(
    dev_ds,
    trans_function=trans_function,
    batch_size=128,
    mode='validation',
    batchify_fn=batchify_fn)
test_loader = create_dataloader(
    test_ds,
    trans_function=trans_function,
    batch_size=128,
    mode='test',
    batchify_fn=batchify_fn)

for i in train_loader:
    print(i)
    break
[Tensor(shape=[128, 434], dtype=int64, place=CPUPlace, stop_gradient=True,
       [[656582 , 666970 , 646434 , ..., 0      , 0      , 0      ],
        [724601 , 1250380, 1106339, ..., 0      , 0      , 0      ],
        [1      , 1232128, 389886 , ..., 0      , 0      , 0      ],
        ...,
        [653811 , 1225884, 952595 , ..., 0      , 0      , 0      ],
        [137984 , 261577 , 850865 , ..., 0      , 0      , 0      ],
        [115700 , 364716 , 509081 , ..., 0      , 0      , 0      ]]), Tensor(shape=[128], dtype=int64, place=CPUPlace, stop_gradient=True,
       [27 , 13 , 40 , 60 , 22 , 11 , 67 , 20 , 12 , 11 , 10 , 85 , 11 , 15 , 261, 8  , 81 , 10 , 13 , 96 , 32 , 169, 20 , 16 , 25 , 29 , 26 , 107, 12 , 65 , 20 , 20 , 22 , 74 , 124, 207, 16 , 13 , 31 , 205, 28 , 12 , 46 , 68 , 434, 10 , 12 , 61 , 17 , 14 , 19 , 34 , 141, 44 , 135, 293, 39 , 10 , 22 , 41 , 14 , 16 , 185, 24 , 8  , 42 , 36 , 19 , 13 , 9  , 29 , 12 , 61 , 151, 11 , 11 , 20 , 16 , 24 , 104, 12 , 9  , 11 , 72 , 48 , 16 , 317, 57 , 91 , 11 , 278, 37 , 97 , 11 , 12 , 12 , 25 , 58 , 27 , 12 , 205, 23 , 22 , 17 , 10 , 107, 40 , 34 , 9  , 59 , 9  , 26 , 25 , 93 , 14 , 13 , 14 , 20 , 21 , 25 , 13 , 32 , 11 , 24 , 16 , 117, 43 , 11 ]), Tensor(shape=[128], dtype=int64, place=CPUPlace, stop_gradient=True,
       [0, 1, 0, 0, 1, 1, 1, 0, 0, 1, 0, 0, 1, 0, 0, 0, 0, 0, 1, 0, 1, 1, 1, 0, 0, 0, 0, 0, 1, 0, 0, 1, 1, 0, 0, 0, 0, 0, 1, 0, 1, 1, 0, 0, 0, 0, 1, 0, 0, 1, 1, 1, 0, 0, 0, 0, 1, 1, 1, 0, 1, 1, 0, 0, 1, 0, 0, 0, 1, 0, 1, 1, 0, 0, 0, 1, 0, 0, 1, 1, 1, 1, 1, 0, 0, 1, 1, 0, 0, 1, 1, 1, 1, 1, 1, 0, 1, 1, 0, 1, 1, 1, 0, 0, 0, 0, 1, 0, 0, 0, 1, 1, 1, 0, 1, 1, 0, 0, 1, 0, 0, 1, 0, 1, 0, 0, 1, 1])]

4.模型搭建

使用LSTMencoder搭建一个BiLSTM模型用于进行句子建模,得到句子的向量表示。

然后接一个线性变换层,完成二分类任务。

  • paddle.nn.Embedding组建word-embedding层
  • ppnlp.seq2vec.LSTMEncoder组建句子建模层
  • paddle.nn.Linear构造二分类器

\

\

图1:seq2vec示意图

  • 除LSTM外,seq2vec还提供了许多语义表征方法,详细可参考:seq2vec介绍
class LSTMModel(nn.Layer):
    def __init__(self,
                 vocab_size,  #词汇长度
                 num_classes,
                 emb_dim=128,  #词向量纬度
                 padding_idx=0,   #补齐句子特殊符号
                 lstm_hidden_size=198,  #隐藏层
                 direction='forward',   #从前往后读句子
                 lstm_layers=1,
                 dropout_rate=0,        #随机丢弃一下网络,增强网络泛化能力
                 pooling_type=None,
                 fc_hidden_size=96):
        super().__init__()

        # 首先将输入word id 查表后映射成 word embedding
        self.embedder = nn.Embedding(
            num_embeddings=vocab_size,
            embedding_dim=emb_dim,
            padding_idx=padding_idx)

        # 将word embedding经过LSTMEncoder变换到文本语义表征空间中
        self.lstm_encoder = ppnlp.seq2vec.LSTMEncoder(
            emb_dim,
            lstm_hidden_size,
            num_layers=lstm_layers,
            direction=direction,
            dropout=dropout_rate,
            pooling_type=pooling_type)

        # LSTMEncoder.get_output_dim()方法可以获取经过encoder之后的文本表示hidden_size
        self.fc = nn.Linear(self.lstm_encoder.get_output_dim(), fc_hidden_size)

        # 最后的分类器
        self.output_layer = nn.Linear(fc_hidden_size, num_classes)

    def forward(self, text, seq_len):
        # text shape: (batch_size, num_tokens)
        # print('input :', text.shape)
        
        # Shape: (batch_size, num_tokens, embedding_dim)
        embedded_text = self.embedder(text)   
        # print('after word-embeding:', embedded_text.shape)

        # Shape: (batch_size, num_tokens, num_directions*lstm_hidden_size)
        # num_directions = 2 if direction is 'bidirectional' else 1
        text_repr = self.lstm_encoder(embedded_text, sequence_length=seq_len)
        # print('after lstm:', text_repr.shape)


        # Shape: (batch_size, fc_hidden_size)
        fc_out = paddle.tanh(self.fc(text_repr))
        # print('after Linear classifier:', fc_out.shape)

        # Shape: (batch_size, num_classes)
        logits = self.output_layer(fc_out)
        # print('output:', logits.shape)
        
        # probs 分类概率值
        probs = F.softmax(logits, axis=-1)
        # print('output probability:', probs.shape)
        return probs

model= LSTMModel(
        len(vocab),
        2,
        direction='bidirectional',
        padding_idx=vocab['[PAD]'])
model = paddle.Model(model)

5.模型配置和训练

5.1模型配置

optimizer = paddle.optimizer.Adam(
        parameters=model.parameters(), learning_rate=5e-5)

loss = paddle.nn.CrossEntropyLoss()
metric = paddle.metric.Accuracy()

model.prepare(optimizer, loss, metric)
# 设置visualdl路径
log_dir = './visualdl'
callback = paddle.callbacks.VisualDL(log_dir=log_dir)

5.2模型训练

训练过程中会输出loss、acc等信息。这里设置了10个epoch,在训练集上准确率约97%。

model.fit(train_loader, dev_loader, epochs=10, save_dir='./checkpoints', save_freq=5, callbacks=callback)

5.3 启动VisualDL查看训练过程可视化结果

启动步骤:

  • 1、切换到本界面左侧「可视化」
  • 2、日志文件路径选择 ‘visualdl’
  • 3、点击「启动VisualDL」后点击「打开VisualDL」,即可查看可视化结果:
    Accuracy和Loss的实时变化趋势如下:
results = model.evaluate(dev_loader)
print("Finally test acc: %.5f" % results['acc'])
The loss value printed in the log is the current batch, and the metric is the average value of previous step.
step  10 - loss: 0.3913 - acc: 0.9414 - 90ms/step
step  20 - loss: 0.3812 - acc: 0.9445 - 74ms/step
step  30 - loss: 0.3584 - acc: 0.9464 - 72ms/step
step  40 - loss: 0.3487 - acc: 0.9480 - 71ms/step
step  50 - loss: 0.3882 - acc: 0.9473 - 70ms/step
step  60 - loss: 0.3747 - acc: 0.9478 - 70ms/step
step  70 - loss: 0.3802 - acc: 0.9467 - 69ms/step
step  80 - loss: 0.3563 - acc: 0.9471 - 67ms/step
Finally test acc: 0.94776

6.预测结果

print(type(test_ds))
label_map = {0: 'negative', 1: 'positive'}
results = model.predict(test_loader, batch_size=128)[0]
predictions = []

for batch_probs in results:
    # 映射分类label
    idx = np.argmax(batch_probs, axis=-1)
    idx = idx.tolist()
    labels = [label_map[i] for i in idx]
    predictions.extend(labels)
# 看看预测数据前5个样例分类结果
for i in test_ds:
    print(i)
    break
    
for idx, data in enumerate(test_ds):
    if idx < 10:
        print(type(data))
        print('Data: {} \t Label: {}'.format(data[0], predictions[idx]))
([440695, 768730, 810400, 371677, 1106339, 995733, 237834, 891203, 1211275, 686770, 1106339, 440695, 117037, 830171, 475327, 1093154], array(16), array(0))
<class 'tuple'>
Data: [440695, 768730, 810400, 371677, 1106339, 995733, 237834, 891203, 1211275, 686770, 1106339, 440695, 117037, 830171, 475327, 1093154] 	 Label: negative
<class 'tuple'>
Data: [471791, 807117, 823116, 1, 891564, 1057229, 1, 1106326, 653811, 176187, 877695, 958129, 173188, 986608, 1106339, 781255, 830165, 213378, 1211275, 1057229, 36026, 1106326, 1106328, 1033199, 877695, 749968, 1106339, 147848, 830171, 489131, 958129, 1106339, 898857, 1131492, 930707, 173188, 399212, 1, 1222901, 508478, 823066, 1106326, 1106328, 651025, 781255, 252859, 860530, 681075, 1106339, 453143, 1, 650296, 173188, 681075, 173401, 830171, 997375, 819627, 283810, 1106326, 1106328] 	 Label: negative
<class 'tuple'>
Data: [451938, 696658, 940533, 1150076, 936106, 308649, 157793, 718272, 660347, 40882, 86562, 510099, 1106339, 1050713, 1188905, 711114, 69882, 686776, 961609, 1, 1106339, 178687, 1106328, 1057229, 511894, 1103825, 1106328, 606478, 703976, 823066, 1113416, 1152575, 1211275, 364716, 1092505, 877695, 1106339, 979319, 1106326, 1175853, 4783, 267842, 173188, 297759, 1106339, 786065, 1106339, 795996, 270281, 797371, 179568, 974589, 974589, 1, 1093512, 578978, 420194, 668761, 4783, 738354, 836929, 52172, 1106328, 713424, 830171, 35393, 898857, 472344, 1106339, 157793, 47104, 1191873, 718272, 389733, 738354, 952595, 1106339, 306239, 898857, 616980, 1106326, 1106328, 1106326, 1106328, 789340, 696658, 711103, 859353, 202379, 472344, 179582, 1106326, 26156, 1093873, 830171, 8885, 395173, 1106339, 592501, 202370, 1107855, 823066, 974589, 974589, 940533, 254014, 145550, 453139, 1193342, 940533, 1050739, 1106339, 1135123, 1, 602020, 179568] 	 Label: negative
<class 'tuple'>
Data: [1086178, 173188, 1188905, 650296, 389733, 1188905, 823116, 669226, 1106339, 669226, 604466, 836929, 52172, 1106339, 311074, 881196, 1044637, 690740, 1, 1106339, 766694, 1050713, 823066, 511894, 1, 1, 173188, 690740, 224268, 257857, 240658, 1106339, 874019, 1238094, 1057229, 220620, 173188, 1106339, 1238700, 758560, 1208182, 823066, 1106339, 975313, 1232128, 836929, 567563, 936106, 237795, 282921, 282921, 282921, 282921, 282921, 282921] 	 Label: negative
<class 'tuple'>
Data: [365921, 932416, 663024, 388662, 1106328, 1106328, 1106328, 1083318, 823066, 1216915, 819627, 453139, 1216915, 960087, 159950, 173188, 753452, 1106328] 	 Label: positive
<class 'tuple'>
Data: [384261, 305803, 173188, 1183540, 823116, 1106339, 847645, 389733, 563178, 1053035, 666970, 81913, 475331, 1203115, 991057, 1106339, 479740, 88185, 859353, 1111556, 347427, 283810, 169379, 769807, 305838, 322845, 218407, 955960, 1106339, 693836, 686770, 4782, 724601, 686770, 4782, 107509, 553338, 1, 1042186, 1110722, 544943, 4782, 881173, 1183540, 823116, 173188, 1173300, 4782, 881173, 1183540, 769807, 173188, 1173300, 4783] 	 Label: negative
<class 'tuple'>
Data: [376180, 639231, 261577, 656622, 894574, 1106328, 977151, 905376, 137984, 1057229, 250355, 173188, 629586, 876228, 1106339, 418471, 283810, 1211275, 799171, 1106339, 724601, 261577, 165869, 935402, 1106339, 860985, 261577, 1093154, 1106339, 820003, 543370, 894574, 1106328, 7215, 690740] 	 Label: positive
<class 'tuple'>
Data: [1066901, 1083318, 877695, 979812, 1173329, 173188, 514629, 1106321, 1083318, 859353, 1083318, 1096990, 1083318, 263393, 818554, 1110721, 475371, 1192261, 173188, 326984, 837335, 659913, 832658, 832658, 491743, 1106328, 1173329, 1106328, 1106328, 1106328, 1066901, 1083318, 877695, 979812, 1, 173188, 514629, 68233, 1106321, 473329, 1, 1, 1106339, 957006, 823153, 930660, 794154, 183395, 382678, 1, 105959, 173188, 726352, 1106339, 166181, 473329, 928384, 453139, 4777, 1053978, 4778, 1, 1106339, 1093157, 645827, 224268, 534222, 1, 1022416, 1, 1084561, 1, 1106339, 1, 668587, 457118, 1, 1204878, 651025, 1, 656594, 696404, 66941, 742636, 416380, 832658, 832658, 1, 1106328, 1, 1106328, 1106328, 876258, 1106328, 1106328, 1106328, 386946, 1, 353572, 400234, 173188, 709767, 1106321, 1066901, 1083318, 877695, 396639, 173188, 514629, 1106321, 453971, 1121397, 522245, 1211275, 1, 823066, 1106339, 684489, 802932, 1, 1106339, 767021, 69882, 823066, 768905, 1, 1152574, 1106322, 1, 686770, 1106328, 1106328, 1066901, 1083318, 877695, 396639, 173188, 514629, 1106321, 917345, 1, 4782, 917345, 726358, 1140069, 976571, 312864, 4782, 917345, 726358, 1, 4782, 917345, 726358, 1095073, 1, 173188, 560962, 1034586, 4782, 917345, 726358, 1, 173188, 1, 1087481, 853920, 938841, 961609, 743669, 107691, 1106322, 1, 244170, 1106328, 1106328, 1155475, 599615, 890242, 954040, 1, 242649, 173188, 298309, 1057229, 803636, 4782, 1, 173188, 298309, 1106339, 177893, 4782, 1, 173188, 1211275, 1084488, 602020, 1093154, 881196, 1, 1106328, 1106328, 242649, 173188, 298309, 1057229, 453148, 881196, 803636, 173188, 1071540, 1106328, 1106328, 1106328] 	 Label: negative
<class 'tuple'>
Data: [401981, 738738, 884754, 881187, 261577, 237795, 1106339, 497327, 690740, 297759, 261577, 1250380, 1106328, 810400, 429786, 686770, 1106328, 323771, 518954, 173188, 230599, 4782] 	 Label: negative
<class 'tuple'>
Data: [169379, 52794, 173188, 504130, 440821, 977875, 552526, 282092, 823066, 1106339, 867512, 163653, 768547, 436269, 25065, 4783, 178053, 1057229, 261577, 1250380, 1106339, 1121661, 663813, 898857, 254013, 40261, 173188, 650322, 179568, 4783, 860985, 237834, 693836, 806474, 1057229, 759049, 560962, 231110, 283810, 833337, 389733, 830171, 939335, 1106339, 312183, 284408, 453172, 1006966, 231110, 173188, 284408, 1106339, 830172, 389733, 261577, 1225280, 823066, 4783, 4783, 724601, 224268, 1057229, 23432, 318302, 4783] 	 Label: negative

这里只采用了一个基础的模型,就得到了较高的的准确率。

可以试试预训练模型,能得到更好的效果!参考如何通过预训练模型Fine-tune下游任务