Leetcode专题之环形链表

41 阅读1分钟

Given the head of a linked list, return the node where the cycle begins. If there is no cycle, return null.

There is a cycle in a linked list if there is some node in the list that can be reached again by continuously following the next pointer. Internally, pos is used to denote the index of the node that tail's next pointer is connected to (0-indexed). It is -1 if there is no cycle. Note that pos is not passed as a parameter.

Do not modify the linked list.

 

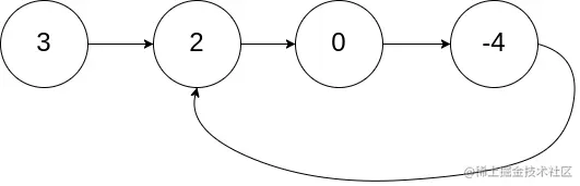
Example 1:

Input: head = [3,2,0,-4], pos = 1
Output: tail connects to node index 1
Explanation: There is a cycle in the linked list, where tail connects to the second node.

Example 2:

Input: head = [1,2], pos = 0
Output: tail connects to node index 0
Explanation: There is a cycle in the linked list, where tail connects to the first node.

Example 3:

Input: head = [1], pos = -1
Output: no cycle
Explanation: There is no cycle in the linked list.

环形链表有固定的解题套路,首先判断一个链表是否有环是通过快慢指针,从头结点出发,fast指针每次移动两个节点,slow指针每次移动一个节点,如果 fast 和 slow指针在途中相遇 ,说明这个链表有环。但是相遇的点不是环的入口。

如何判断环的入口呢,从头结点出发一个指针,从相遇节点也出发一个指针,这两个指针每次只走一个节点, 那么当这两个指针相遇的时候就是 环形入口的节点。

public class Solution {
    public ListNode detectCycle(ListNode head) {
        if(head == null || head.next == null) return null;
        ListNode slow = head;
        ListNode fast = head;
        while(fast != null && fast.next != null) {
            slow = slow.next;
            fast = fast.next.next;

            if(slow == fast) {
                ListNode l1 = head;
                ListNode l2 = fast;
                while(l1 != l2) {
                    l1 = l1.next;
                    l2 = l2.next;
                }
                return l1;
            }
        }
        return null;
    }
}