工作中Git 使用心得笔记

1,291 阅读5分钟

Git 是一个分布式版本控制系统(DVCS)

什么是版本控制系统(VCS)

版本控制系统(Version Control System)最基本的功能是版本控制。就是在文件的修改历程中保留修改历史,让你可以方便地撤销之前对文件的修改操作

什么是分布式版本控制系统(DVCS)

分布式和中央式的区别在于,分布式除了有中央仓库之外,还有本地仓库,团队中每一个成员的机器上都有一份本地仓库,这个仓库里包含了所有的历史版本,成员可以在无需联网情况下可以和本地仓库交互

优点:

  • 大多数操作本地操作,速度会更快
  • 可以在不联网情况下,提交代码、切换分支、查看历史

缺点:

  • 每个成员机器需要完整的本地仓库,初次clone会耗时,且本地占用存储会比中央式要高
  • 对于有大量大尺寸文件或媒体文件,并且文件格式不容易压缩,采用分布式会导致仓库体积非常庞大,所以大型游戏开发建议选择中央式VCS管理

常用操作指令

// 远程仓库拉取到本地
git clone xxx.git

// 查看git提交信息
git log

// 查看工作目录当前状态
git status

// 提交某个文件至暂存区
git add a.js

// 全部提交至暂存区
git add .

// 提交某个文件目录下所有文件至暂存区
git add list/

// 提交
git commit

// 修改最新的commit错误内容(只针对本地仓库有效,已经push到中央仓库要执行push -f)
git commit --amend

// 拉取远程仓库代码
git pull

// 本地分支代码同步到远程
git push

// 新建分支并切换到该分支
git checkout -b feature1

// 本地分支push到远程
git push origin feature1:feature1

// 基于远程仓库分支创建本地分支
git checkout -b feature1 origin/feature1

// 删除分支(删除分支,当前分支不能在要删除的分支上)
git branch -d feature1

// 删除远程分支
git push origin --delete feature1

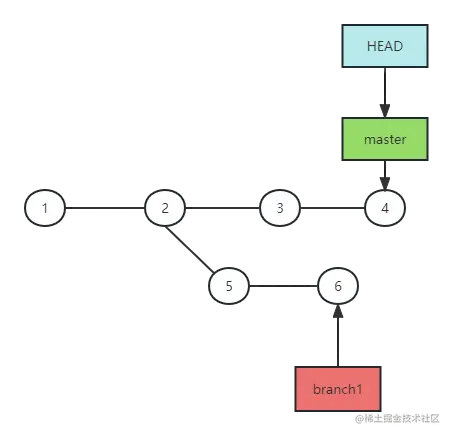
merge VS rebase

merge

git merge 会让2个分支的提交按照提交时间进行排序,并且会把最新的2个commit合并成一个commit。最后的分支树呈现非线性的结构

执行前,如下图

执行git merge branch1后,如下图

查看history历史,如下图

rebase

rebase 是站在需要被 rebase 的 commit 上进行操作,这点和 merge 是不同的

git reabse 将dev的当前提交复制到master的最新提交之后,会形成一个线性的分支树

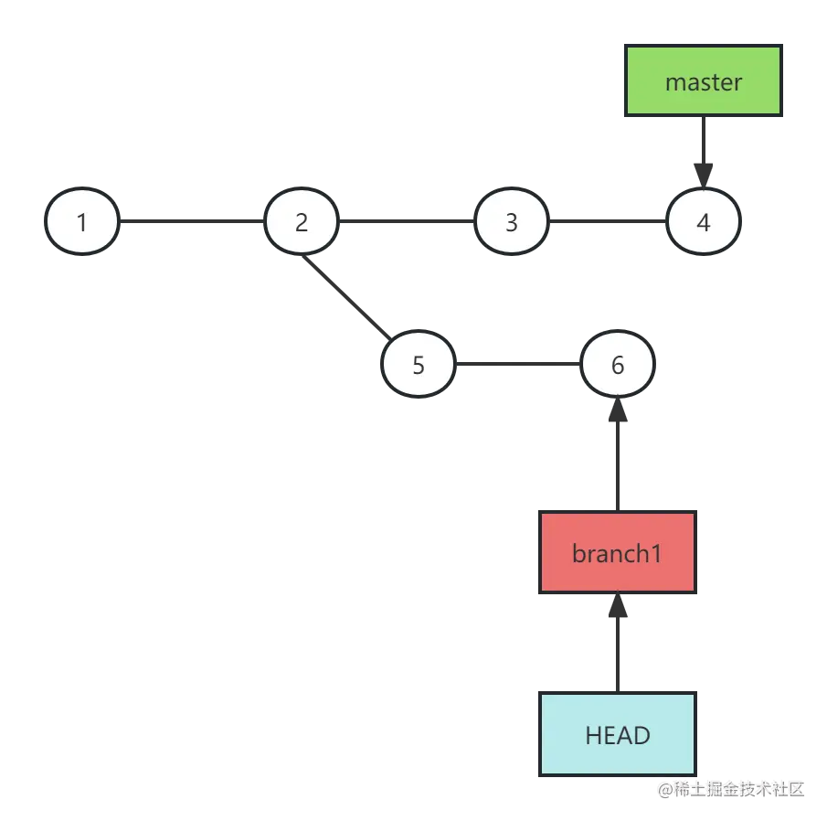
执行前,如下图

执行rebase操作

git checkout branch1
git rebase master

rebase 之后,切回 mastermerge 一下,把 master 移到最新的 commit

git checkout master
git merge branch1

如何修改不是最新提交commit内容

git commit --amend 可以修复最新 commit 的错误,但如果是倒数第二个 commit 写错了呢?

rebase -i

rebase -i 是 rebase --interactive 的缩写形式,意为「交互式 rebase」

意思是在rebase 的操作执行之前,你可以指定要 rebasecommit 链中的某一个 commit 是否需要进一步修改,利用这个特点,进行一次「原地 rebase」

git rebase -i HEAD^^
// 等同于
git rebase -i HEAD~2

注意:在 Git 中,有两个「偏移符号」: ^ 和 ~

  • ^用法:

    • 在 commit 的后面加一个或多个 ^ 号,可以把 commit 往回偏移,偏移的数量是 ^ 的数量,例如:HEAD^^ 表示 HEAD 所指向的 commit 往前数两个 commit
  • ~用法:

    • 在 commit 的后面加上 ~ 号和一个数字,可以把 commit 往回偏移,偏移的数量是 ~ 号后面的数字。例如:HEAD~3 表示 HEAD 指向的 commit往前数 3 个 commit。

执行git log,修改倒数第二个commit,把修改about文件111替换为修改about文件222

1、执行

git rebase -i HEAD~2

如图:

注意:这时展示顺序是要修改的最上面,新的在最下面,点击i,进入vim编辑模式,把第一个pick 修改为edit,点击Esc,退出vim编辑模式,点击shift + 分号,输入wq保存退出即可

当前git链如图:

2、执行

git commit --amend

修改内容为‘修改about文件222’

3、保存退出后,执行

git rebase --continue

在修复完成之后,就可以用 rebase --continue 来继续 rebase 过程,把后面的 commit 直接应用上去。

执行git log,如图,已经修改成功

版本回退

git reset的本质:移动HEAD以及它所指向的branch

  • --hard

清空工作区与缓存区,应用场景是放弃目标版本后所有的修改

$ git reset --hard commitHash 

恢复至commitHash版本,删除commitHash之后工作区和缓存区的修改

  • --soft

保留工作区与缓存区,但是把版本之间的差异存放在缓存区

git reset --soft HEAD^ 

恢复上一个版本,保留工作区,缓存区准备再次提交commit

合并多个commit

git rebase -i HEAD~n

n:代表要合并的commit个数

将要合并的提交pick改为s(squash)

修改完毕后,按esc退出编辑,按wq保存并退出

开发到一半,临时切换到其他分支

例如正在feature分支开发新功能,突然线上出现bug,需切换到hotfix分支修复bug

git stash这个命令可以将当前的工作状态保存到git栈,在需要的时候再恢复

1、执行git stash

git stash

2、切换其他分支开发,当切回来后

// 查看当前stash的所有内容
git stash list

3、将堆栈中的内容恢复到当前分支下

git stash apply stash@{$num}

如放弃存在栈中内容,执行git stash drop stash@{$num}

git 版本打标签

tag 就是 对某次 commit 的一个标识,相当于起了一个别名

git tag 标签名 
// or
git tag 标签名 提交版本号

// 删除标签
git tag -d 标签名称

// 推送到远程仓库
$ git push origin 标签名称
or
$ git push origin --tags

cherry-pick

把指定的commit,拉到一个新的分支上

例如在某个稳定版本上,添加一个刚开发完成的feature版本中的某个功能。就可以使用 cherry-pick 命令,将这个功能相关的 commit 提取出来,合入稳定版本的分支上

git cherry-pick <commitHash>

git cherry-pick命令的参数,不一定是提交的哈希值,分支名也是可以的,表示转移该分支的最新提交

git cherry-pick feature

cherry-pick 支持一次转移多个提交

git cherry-pick <commitHashA> <commitHashB>

如果操作过程中发生代码冲突,Cherry pick 会停下来,让用户决定如何继续操作,用户解决代码冲突后,使用--continue命令,让 Cherry pick 过程继续执行。

git cherry-pick --continue

总结

Git 内容非常多,本文只是列举出了工作中常用命令和使用方法,可能有些很有用的内容依然没有列举出来, 目的是希望在整个阅读过程中能够加深记忆,同时对未用过的命令加以练习,相信会在今后工作中使用git更加游刃有余