开启掘金成长之旅!这是我参与「掘金日新计划 · 2 月更文挑战」的第 32 天,点击查看活动详情
(本文是第38篇活动文章)
诸神缄默不语-个人CSDN博文目录
本文是作者学习CRF后的笔记。
最近更新时间:2022.11.17
最早更新时间:2022.11.15
条件随机场CRF是适宜于顺序预测任务的判别模型,可用于命名实体识别、词性标注等。
@[toc]
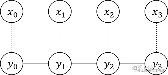
1. linear-chain CRF
在序列预测任务中,用邻近(上下文)样本来辅助学习当前样本。
以Part-of-Speech Tagging任务为例:
任务示例:输入Bob drank coffee at Starbucks,标记为Bob (NOUN) drank (VERB) coffee (NOUN) at (PREPOSITION) Starbucks (NOUN)
本节限制特征仅取决于当前和前一个标签,而非句中任一标签:
特征函数feature functionfi(需要一堆):
- 输入:
- 句子s
- 词语在句中的位置i
- 当前词的标签li
- 前一个词的标签li−1
- 输出:实数(如0/1)
给每个feature functionfj分配一个权重λj
给出一个句子s,对labeling的打分方式是对所有单词的所有feature function求和:
score(l∣s)=∑j=1m∑i=1nλjfj(s,i,li,li−1)
将所有labeling的打分转换为概率(通过exponentiating and normalizing,即softmax):
p(l∣s)=∑l’exp[score(l’∣s)]exp[score(l∣s)]=∑l’exp[∑j=1m∑i=1nλjfj(s,i,l’i,l’i−1)]exp[∑j=1m∑i=1nλjfj(s,i,li,li−1)]
Example Feature Functions:

CRF概率长得像逻辑回归→CRF就是逻辑回归的序列版:whereas logistic regression is a log-linear model for classification, CRFs are a log-linear model for sequential labels.
CRF和HMM:

算出CRF模型后,应用在新的句子上:
原始方法——算出所有p(l∣s)的值:太慢了
(polynomial-time) dynamic programming algorithm(由于linear-chain CRFs满足 optimal substructure 特性)(类似HMM的维特比算法)
2. CRF目标函数
在第一节中我们得到了:
p(l∣s)=∑l’exp[∑j=1m∑i=1nλjfj(s,i,l’i,l’i−1)]exp[∑j=1m∑i=1nλjfj(s,i,li,li−1)]

将∑i=1nfj(s,i,l’i,l’i−1)]记为fj(x,y)(s,l)
CRF模型的定义式:
P(y∣x)=Z(x)1exp[∑jλj(fj(x,i))]
(其中Z(x)=∑y[∑jλj(fj(x,i))],可以看作所有可能的隐状态序列的score值之和)
我们的最终目标是找到能使得score值最大(P(y∣x)最大)的隐状态序列。在定义好feature functions后,我们需要学习λ
用梯度学习优化feature function的权重:
- 有一组句子-POS标签,随机初始化CRF权重
- 梯度下降
- 对每个feature function fi,计算样本的logp关于λi的梯度:∂wj∂logp(l∣s)=∑j=1mfi(s,j,lj,lj−1)−∑l’p(l’∣s)∑j=1mfi(s,j,l’j,l’j−1)
- 上式第一项是fi在真实标签下的贡献,第二项是在当前模型下的。(我们希望模型学到的VS模型当前状态)(其实我有点没看懂这啥意思)
- λi=λi+α[∑j=1mfi(s,j,lj,lj−1)−∑l’p(l’∣s)∑j=1mfi(s,j,l’j,l’j−1)](α是学习率)
本文撰写过程中使用到的其他参考资料
- Introduction to Conditional Random Fields(一篇国内的翻译:如何轻松愉快地理解条件随机场(CRF)? - 知乎
- 看了一半:全网最详细的CRF算法讲解 - 知乎
- 还没看
- 概率图之马尔可夫随机场(Markov Random Field,MRF)_zxhohai的博客-CSDN博客_markov random field
- 读懂概率图模型:你需要从基本概念和参数估计开始
- CRF条件随机场的原理、例子、公式推导和应用 - 知乎
- 全方位理解条件随机场(CRF):原理、应用举例、CRF++实现 - 知乎
- 条件随机场的肤浅理解_Researcher-Du的博客-CSDN博客_densecrf论文
- PGM:概率图模型Graphical Model_-柚子皮-的博客-CSDN博客_graphical model
- 马尔可夫随机场 MRF_-柚子皮-的博客-CSDN博客
- 【PGM】factor graph,因子图,势函数potential function,Template models - Loull - 博客园
- CRF和HMM_baihaisheng的博客-CSDN博客_crf hmm
- CRF(条件随机场)_二叉树不是树_ZJY的博客-CSDN博客
- Linear-chain CRF的推导 - 简书
- 没看懂的
- 条件随机场(CRF)的详细解释_deephub的博客-CSDN博客_crf
- 排版有问题的
- 自然语言处理序列模型——CRF条件随机场-51CTO.COM:缺公式
- 条件随机场入门:有错别字