基于keras的胶囊网络(CapsNet)

368 阅读5分钟

1 简介

胶囊网络(CapsNet)由 Hinton 于2017年10月在《Dynamic Routing Between Capsules》中提出,目的在于解决 CNN 只能提取特征,而不能提取特征的状态方向位置等信息,导致模型的泛化(举一反三)能力较差,如:

(1)将图片旋转180°,CNN 模型可能不能准确识别,因为 CNN 模型不能识别特征的方向信息,如需识别倒着的图片,需要使用倒着的图片训练 CNN 模型;

(2)将某人脸部图片的眼睛和嘴巴位置调换,CNN 模型可能也会识别为此人,因为 CNN 模型只关注眼睛、鼻子、耳朵、嘴巴等脸部特征是否准确,而不关注特征位置是否正确。

传统神经网络的基本单位是神经元,表示一个标量;胶囊网络的基本单位是胶囊(capsule),表示一个向量,由于向量有方向和大小,因此能够识别特征的状态、方向、位置等信息。

2 基本原理

胶囊网络(CapsNet)主要由动态路由层(Dynamic Routing Layer)堆叠而成,本节主要讲解动态路由层的前向传播原理。

胶囊网络的结构与全连接层相似,如下图所示:

img 胶囊网络结构

其中,u1,u2,...,um 为底层胶囊,v1,v2,...,vn 为高层胶囊,W 和 C 为待调参数,W 通过网络反向传播更新,C 通过动态路由算法更新

2.1 前向传播

前向传播公式如下:

img

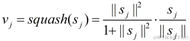
u 为上层胶囊输出,v 为本层胶囊输出。W 不一定是全连接形式的参数,“”也不一定是向量乘法运算;通常,“”指一维卷积运算,W 指卷积核。c 为耦合系数,由动态路由算法获取。squash 为激活函数,如下式所示:

img

从上式可以看出,vj 和 sj 方向相同,并且 vj 的模长经squash()函数非线性映射到 [0, 1) 上,增加了模型的非线性映射能力。

2.2 动态路由

c 通过动态路由算法获取,在模型的反向传播中,不更新 c 的取值。动态路由算法的核心公式如下:

img

其中,<>表示内积运算,bi 的维度与 ui 的维度相同,初值为0。

为方便清晰查看胶囊网络中数据流向,笔者绘制了数据流向图如下:(注:图中省略了复杂的变量角标)

img

其中,红线表示前向传播数据流向,绿线表示动态路由数据流向;带紫色圆圈背景的变量表示在动态路由算法中会更新的变量。从图中可以看出,cij 的大小主要取决于 <ui, vj> ,即 vj 与 ui 的相似度,因此,当 vj 与 ui 较相似时,cij 较大,这点有点像注意力机制。

2.3 损失函数——Margin Loss

img

其中,y 为预测值,m 和 λ 为待调参数,通常 m=0.1 、 λ =0.5

3 实验

本文以 MNIST 手写数字分类为例,讲解胶囊网络模型。关于 MNIST 数据集的说明,见使用TensorFlow实现MNIST数据集分类。通过在 CNN 模型的最后一层叠加一层动态路由层,并将每个胶囊输出向量的模长作为提取数字特征的强度。

笔者工作空间如下:

img

代码资源见--> CapsNet

CapsuleLayer.py

from keras import backend as K
from keras.layers import Layer

"""
压缩函数,使用0.5替代hinton论文中的1,如果是1,所有的向量的范数都将被缩小。
如果是0.5,小于0.5的范数将缩小,大于0.5的将被放大
"""
def squash(x, axis=-1):
    s_quared_norm = K.sum(K.square(x), axis, keepdims=True) + K.epsilon() #||x||^2
    scale = K.sqrt(s_quared_norm) / (0.5 + s_quared_norm) #||x||/(0.5+||x||^2)
    result = scale * x
    return result

# 定义我们自己的softmax函数,而不是K.softmax.因为K.softmax不能指定轴
def softmax(x, axis=-1):
    ex = K.exp(x - K.max(x, axis=axis, keepdims=True))
    result = ex / K.sum(ex, axis=axis, keepdims=True)
    return result

# 定义边缘损失,输入y_true, p_pred,返回分数,传入fit即可
def margin_loss(y_true, y_pred):
    lamb, margin = 0.5, 0.1
    result = K.sum(y_true * K.square(K.relu(1 - margin -y_pred))
    + lamb * (1-y_true) * K.square(K.relu(y_pred - margin)), axis=-1)
    return result

class Capsule(Layer):
    def __init__(self,
                 num_capsule,
                 dim_capsule,
                 routings=3,
                 share_weights=True,
                 activation='squash',
                 **kwargs):
        super(Capsule, self).__init__(**kwargs)  # Capsule继承**kwargs参数
        self.num_capsule = num_capsule
        self.dim_capsule = dim_capsule
        self.routings = routings
        self.share_weights = share_weights
        if activation == 'squash':
            self.activation = squash
        else:
            self.activation = activation.get(activation)  # 得到激活函数

    # 定义权重
    def build(self, input_shape):
        input_dim_capsule = input_shape[-1]
        if self.share_weights:
            # 自定义权重
            self.kernel = self.add_weight( #[row,col,channel]->[1,input_dim_capsule,num_capsule*dim_capsule]
                name='capsule_kernel',
                shape=(1, input_dim_capsule,
                       self.num_capsule * self.dim_capsule),
                initializer='glorot_uniform',
                trainable=True)
        else:
            input_num_capsule = input_shape[-2]
            self.kernel = self.add_weight( 
                name='capsule_kernel',
                shape=(input_num_capsule, input_dim_capsule,
                       self.num_capsule * self.dim_capsule),
                initializer='glorot_uniform',
                trainable=True)
        super(Capsule, self).build(input_shape)  # 必须继承Layer的build方法

    # 层的功能逻辑(核心)
    def call(self, inputs):
        if self.share_weights: 
            #inputs: [batch, input_num_capsule, input_dim_capsule]
            #kernel: [1, input_dim_capsule, num_capsule*dim_capsule]
            #hat_inputs: [batch, input_num_capsule, num_capsule*dim_capsule]
            hat_inputs = K.conv1d(inputs, self.kernel)
        else:
            hat_inputs = K.local_conv1d(inputs, self.kernel, [1], [1])

        batch_size = K.shape(inputs)[0]
        input_num_capsule = K.shape(inputs)[1]
        hat_inputs = K.reshape(hat_inputs,
                               (batch_size, input_num_capsule,
                                self.num_capsule, self.dim_capsule))
        #hat_inputs: [batch, input_num_capsule, num_capsule, dim_capsule]
        hat_inputs = K.permute_dimensions(hat_inputs, (0, 2, 1, 3))
        #hat_inputs: [batch, num_capsule, input_num_capsule, dim_capsule]
        b = K.zeros_like(hat_inputs[:, :, :, 0]) 
        #b: [batch, num_capsule, input_num_capsule]
        for i in range(self.routings):
            c = softmax(b, 1)
            o = self.activation(K.batch_dot(c, hat_inputs, [2, 2]))
            if K.backend() == 'theano':
                o = K.sum(o, axis=1)
            if i < self.routings-1:
                b += K.batch_dot(o, hat_inputs, [2, 3])
                if K.backend() == 'theano':
                    o = K.sum(o, axis=1)
        return o

    def compute_output_shape(self, input_shape):  # 自动推断shape
        return (None, self.num_capsule, self.dim_capsule)

注:以上代码来自--> github.com/bojone/Caps…

CapsNet.py

from keras import backend as K
from tensorflow.examples.tutorials.mnist import input_data
from keras.models import Model
from keras.layers import Input,Conv2D,MaxPooling2D,Reshape,Lambda
from CapsuleLayer import Capsule,margin_loss
 
#载入数据
def read_data(path):
    mnist=input_data.read_data_sets(path,one_hot=True)
    train_x,train_y=mnist.train.images.reshape(-1,28,28,1),mnist.train.labels,
    valid_x,valid_y=mnist.validation.images.reshape(-1,28,28,1),mnist.validation.labels,
    test_x,test_y=mnist.test.images.reshape(-1,28,28,1),mnist.test.labels
    return train_x,train_y,valid_x,valid_y,test_x,test_y

#模型
def MODEL():
    inputs=Input(shape=(28, 28, 1))
    x=Conv2D(16, (5, 5), padding='same', activation='relu')(inputs)
    x=MaxPooling2D(pool_size=(2,2))(x)
    x=Conv2D(32, (5, 5), padding='same', activation='relu')(x)
    x=MaxPooling2D(pool_size=(2,2))(x)
    x=Reshape((-1, 32))(x)  # [None, 49, 32] 即前一层胶囊 [None, input_num, input_dim]
    x=Capsule(num_capsule=10, dim_capsule=30, routings=5)(x)
    output=Lambda(lambda z: K.sqrt(K.sum(K.square(z), axis=2)))(x)  #每个胶囊取模长
    model=Model(inputs=inputs, output=output)
    return model
 
#主函数
def main(train_x,train_y,valid_x,valid_y,test_x,test_y):
    model = MODEL()
    model.compile(loss=margin_loss, optimizer='adam', metrics=['accuracy'])
    model.summary()
    model.fit(train_x,train_y,batch_size=500,nb_epoch=20,verbose=2)
    pre=model.evaluate(test_x,test_y,batch_size=500,verbose=2)
    print('test_loss:',pre[0],'- test_acc:',pre[1])
   
train_x,train_y,valid_x,valid_y,test_x,test_y=read_data('MNIST_data')
main(train_x,train_y,valid_x,valid_y,test_x,test_y)

网络各层输出尺寸:

_________________________________________________________________
Layer (type)                 Output Shape              Param #   
=================================================================
input_1 (InputLayer)         (None, 28, 28, 1)         0         
_________________________________________________________________
conv2d_1 (Conv2D)            (None, 28, 28, 16)        416       
_________________________________________________________________
max_pooling2d_1 (MaxPooling2 (None, 14, 14, 16)        0         
_________________________________________________________________
conv2d_2 (Conv2D)            (None, 14, 14, 32)        12832     
_________________________________________________________________
max_pooling2d_2 (MaxPooling2 (None, 7, 7, 32)          0         
_________________________________________________________________
reshape_1 (Reshape)          (None, 49, 32)            0         
_________________________________________________________________
capsule_1 (Capsule)          (None, 10, 30)            9600      
_________________________________________________________________
lambda_1 (Lambda)            (None, 10)                0         
=================================================================
Total params: 22,848
Trainable params: 22,848
Non-trainable params: 0

网络训练结果:

Epoch 18/20
 - 42s - loss: 0.0247 - acc: 0.9816
Epoch 19/20
 - 43s - loss: 0.0239 - acc: 0.9828
Epoch 20/20
 - 43s - loss: 0.0234 - acc: 0.9825
test_loss: 0.024427699740044773 - test_acc: 0.9793000012636185

4 扩展阅读

揭开迷雾,来一顿美味的Capsule盛宴

再来一顿贺岁宴:从K-Means到Capsule

​ 声明:本文转自基于keras的胶囊网络(CapsNet)