tensorflow中高维数组乘法运算

125 阅读1分钟

1 前言

声明:本博客里的数组乘法运算是指矩阵乘法运算,不是对应元素相乘。

在线性代数或高等代数中,我们学习了矩阵乘法,那么,什么样的高维数组才能相乘?tensorflow 又是如何定义高维数组运算规则?

2 运算条件

  • 两数组的维数相同:len(a.shape)=len(b.shape)
  • 前n-2个维度都一致:a.shape[0]=b.shape[0],...,a.shape[-3]=b.shape[-3]
  • 最后两个维度满足矩阵乘法运算:a.shape[-1]=b.shape[-2]

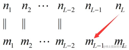
假设 a.shape=(n1,n2,...,nL),b.shape=(m1,m2,...,mL),则 tf.matmul(a,b) 能运算的条件如下图(箭头表示相等):

img

3 运算规则

令 c=tf.matmul(a,b),因为a和b只有最后两维不一致,若以二维矩阵为最小的元素,则a和b的维数完全一致,c的每个元素为a和b的对应元素相乘,每个元素都是一个二维矩阵。

img

4 实验

import numpy as np
import tensorflow as tf

a=np.array(
        [[[1,1,1],
          [2,2,2]],
         [[2,2,2],
          [3,3,3]],
         [[3,3,3],
          [4,4,4]]])
b=np.array(
        [[[1,2],
          [1,2],
          [1,2]],
         [[2,3],
          [2,3],
          [2,3]],
         [[3,4],
          [3,4],
          [3,4]]])

c=tf.matmul(a,b)
with tf.Session() as sess:
    c=sess.run(c)
    print("c=tf.matmul(a,b)\n",c)
c=tf.matmul(a,b)
 [[[ 3  6]
  [ 6 12]]

 [[12 18]
  [18 27]]

 [[27 36]
  [36 48]]]

​ 声明:本文转自tensorflow中高维数组乘法运算