魔幻的 CRDTs: 如何在无中心化系统中保持数据一致性

2,598 阅读22分钟

附:CRDTs 论文

引言

  • 分布式已经成为了现代计算机系统中必不可少的特性。随着越来越多的应用程序从单机模式转移到分布式模式,数据一致性问题变得尤为重要。在传统的中心化系统中,数据一致性可以通过强一致性保证。然而,在无中心化系统中,数据一致性变得更加困难,因为在没有一个中心化的机构协调的情况下,分布式系统中的节点需要自行协调来达成一致。

  • 本文将介绍 CRDTs,即可伸缩、高容错性的分布式数据结构,它们能够保持数据在分布式系统中的一致性。我们将详细讨论 CRDTs 的基本概念、分类、实现方式、使用场景以及限制与发展,并对未来展望进行讨论。通过本文的学习,您将了解 CRDTs 的工作原理和优势,以及它们如何为分布式系统带来可靠性和稳定性。

分布式系统的数据一致性问题

在分布式系统中,由于数据的多份副本和节点的不可靠性,数据一致性问题一直是一个挑战。传统的解决方案包括基于共识算法的方式,如 Paxos 和 Raft,以及基于数据库主从复制的方式,如 MySQL 和 MongoDB。

image

然而,这些解决方案都存在一些局限性,如单点故障、网络延迟、可伸缩性等问题。近年来,基于 CRDTs 的解决方案逐渐受到关注,因为它可以在无中心化系统中实现数据一致性,具有高度的容错性和可伸缩性。

CRDTs 的概述

  • CRDTs(Conflict-free Replicated Data Type,无冲突复制数据类型) 是一种用于解决分布式系统数据一致性问题的技术。与传统的数据类型不同,CRDTs 具有自愈合的能力,即使在分布式系统中发生网络分区或者节点故障,CRDTs 也能够保证数据的一致性。

  • CRDTs 可以分为两种类型:State-based CRDTs 和 Operation-based CRDTs。State-based CRDTs 通过在节点之间复制状态来维护数据一致性,而 Operation-based CRDTs 通过在节点之间复制操作来维护数据一致性。每种类型都有其特定的应用场景和优点。

  • CRDTs 已经被广泛应用于各种分布式系统中,如分布式数据库、分布式文件系统、实时协作应用等。与传统的解决方案相比,CRDTs 不依赖于中心化的控制节点,更加适合分布式环境下的数据处理。

State-based CRDTs

  • State-based CRDTs 是一种无中心化数据结构,可以实现分布式系统中数据的最终一致性。这种数据结构的设计基于状态复制机(state machine replication)的概念,其中每个节点都维护一个本地状态副本,并使用操作来更新该副本。节点之间通过交换这些操作来达成共识,从而保持数据的一致性。

  • State-based CRDTs 通常有三种类型:计数器(counter)、集合(set)和映射(map)。Counter CRDTs 可以支持在分布式系统中对计数器的自增操作进行同步,而 Set CRDTs 可以支持在分布式系统中对集合的添加和删除操作进行同步。Map CRDTs 则可以支持在分布式系统中对映射表的插入、更新和删除操作进行同步。

image

Counter CRDTs

  • Counter CRDTs 是一类基于状态的 CRDTs,它们被用来解决计数问题。在分布式系统中,我们需要在多个节点之间共享一个计数器,并保证计数器的值在不同节点上的一致性。传统的解决方案是将计数器的值存储在一个中心化的服务器上,并在多个节点之间进行同步。但是,在这种方案中,服务器成为了系统的单点故障,也会成为系统的瓶颈。

  • 为了解决这个问题,Counter CRDTs 出现了。Counter CRDTs 通过实现一个数据结构,在不同的节点上分别维护一个计数器,并通过 CRDTs 提供的合并算法来保证计数器的值在不同节点上的一致性。常见的 Counter CRDTs 有 G-Counter 和 PN-Counter。

  • Counter CRDTs 是 CRDTs 中最简单的一类,但它们也为我们理解 CRDTs 的设计原则和实现方式提供了很好的范例。在实际应用中,Counter CRDTs 能够被用来解决诸如在线用户数、点赞数等计数问题。

G-Counter

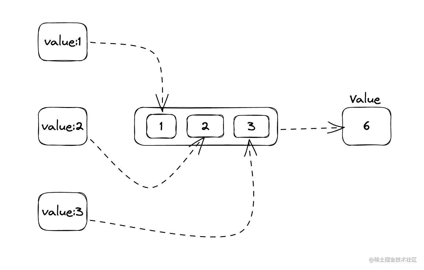
G-Counter 通过维护一个向量,其中每个节点对应一个计数器,来实现计数。每当节点对计数器进行更新时,它会将自己的节点标识和更新值发送给其他节点,并在收到其他节点的更新值时将其合并到自己的向量中。由于 G-Counter 的合并算法是可交换的和可重复的,因此它能够保证计数器的值在不同节点上的一致性。

image

PN-Counter

PN-Counter 是 G-Counter 的扩展,它将 G-Counter 中的增量和减量分开维护,从而支持减法操作。具体来说,PN-Counter 维护了两个 G-Counter,一个用于增量,另一个用于减量。当节点对计数器进行增量或减量操作时,它会在相应的 G-Counter 上进行更新,并在收到其他节点的更新时将其合并到自己的 G-Counter 中。PN-Counter 的合并算法也是可交换的和可重复的,因此它能够保证计数器的值在不同节点上的一致性。

image

Set CRDTs

  • Set CRDTs 是另一种常见的 State-based CRDTs,用于在分布式系统中实现集合数据类型的一致性。Set CRDTs 的核心思想是将分布式集合的元素拆分为多个节点,每个节点只处理部分元素,从而实现分布式数据的存储和同步。常见的 Set CRDTs 包括 G-Set 和 2P-Set。

  • Set CRDTs 的优点包括易于实现、可伸缩性好、对网络分区具有容错能力等。但是,它也存在一些限制,例如无法支持复杂的集合操作、可能存在冲突等。

G-Set

G-Set (Grow-only Set) 是一种简单的 Set CRDTs,它支持添加元素操作,但不支持删除元素操作。每个节点都维护一个本地集合,所有节点的本地集合合并后就是全局的集合。当一个节点添加一个元素时,它会将该元素添加到本地集合中,并将该元素添加到一个全局的已添加元素集合中。在集合合并时,每个节点只需将自己的本地集合添加到全局已添加元素集合中即可。

image

2P-Set

2P-Set (Two-Phase Set) 是一种改进的 Set CRDTs,相比于 G-Set,它支持删除元素操作。2P-Set 由两个集合组成:一个用于添加元素,另一个用于存储已经被删除的元素。每个节点维护自己的添加集合和删除集合,通过标记删除的方式实现删除元素。在集合合并时,每个节点只需将自己的添加集合和删除集合合并即可。

image

Map CRDTs

  • 在分布式系统中,常常需要使用 Map 数据结构,它可以将键和值映射起来,使得分布式系统中的不同节点能够存储和操作这些键值对。然而,将 Map 数据结构应用于分布式系统中却非常具有挑战性。在传统的 Map 实现中,同一时刻只能有一个节点进行写入操作,而在分布式系统中,不同节点可能同时对同一个键进行写入,这就会导致冲突和不一致性。

  • 为了解决这个问题,出现了基于状态的 CRDTs 中的 Map CRDTs。Map CRDTs 通常由两个基本操作组成:assign(key, value) 和 remove(key)。在 Map CRDTs 中,每个节点都维护着一个本地的 Map,这个本地 Map 包含了当前节点所知道的所有键值对信息。

  • 当一个节点想要进行写入操作时,它会首先将写入操作应用于本地的 Map,然后将这个写入操作的信息传播给其他节点。当其他节点收到这个写入操作的信息时,它们也会将这个写入操作应用于本地的 Map。由于 CRDTs 的特性,即使不同节点收到写入操作的顺序不同,它们最终也能够达成相同的状态,因为 Map CRDTs 是可交换的。如果不同节点对同一个键进行写入操作,那么只有最后一个写入操作会生效,因为最后一个写入操作包含了所有之前写入操作的信息。

image

Operation-based CRDTs

  • 除了基于状态的 CRDTs,还有一种基于操作的 CRDTs。与 State-based CRDTs 不同,Operation-based CRDTs 的状态不是通过合并两个状态对象来更新,而是通过合并操作来更新。这种类型的 CRDTs 通常使用标记来确定操作的并发性。在此基础上,操作可以被分发到不同的节点,这些节点可以在不需要协调的情况下并发地更新它们本地的状态。这种方式相对 State-based CRDTs 更具有一般性,因为它可以支持更多种类型的数据结构。

  • 常见的 Operation-based CRDTs 实现方式包括:

  • Operation-based CRDTs 和 State-based CRDTs 之间存在权衡。Operation-based CRDTs 具有更高的一般性,但需要更多的开销来处理操作的合并。而 State-based CRDTs 则具有更高的效率,但是其一般性受到了一定的限制。

image

Tag-based CRDTs

  • Tag-based CRDTs 使用标记来标识和区分并发操作。标记通常是具有全局唯一标识符的元素,可以是时间戳、客户端 ID 等等。

  • Tag-based CRDTs 不需要保留操作的历史记录,因为标记可以唯一标识并发操作的结果。因此,Tag-based CRDTs 通常具有更好的性能和可伸缩性,但它们可能需要更多的存储空间来存储标记。

  • 常见的 Tag-based CRDTs 实现包括:

OR-Set

OR-Set 用于跟踪添加和删除元素。

下面举一个例子说明它的实现方式:

  1. 初始状态:空集合,所有节点的日志为空。
            Node A                    Node B
         Add: {} Remove: {}         Add: {} Remove: {}
         Set: {}
  1. 添加元素 "x" 到节点 A。
            Node A                    Node B
         Add: {x} Remove: {}         Add: {} Remove: {}
         Set: {x}
  1. 添加元素 "y" 到节点 B。
            Node A                    Node B
         Add: {x} Remove: {}         Add: {y} Remove: {}
         Set: {x, y}
  1. 节点 B 删除元素 "x"。
            Node A                    Node B
         Add: {x} Remove: {}         Add: {y} Remove: {x}
         Set: {y}
  1. 节点 A 删除元素 "x",这个操作在节点 B 上没有任何效果,因为它已经删除了元素 "x"。
cssCopy code
            Node A                    Node B
         Add: {x} Remove: {x}        Add: {y} Remove: {x}
         Set: {y}

然后使用一个全局的视角来观察数据的添加和删除:

image

可以看出满足最终一致性(Eventually Consistency)。

OR-Set 和 2P-Set 的功能大致相似,它们的区别是什么?

  • 在 2P-Set 中,当一个元素被添加到集合中时,它会同时被添加到两个内部集合—— Add Set 和 Remove Set 中。当删除一个元素时,它被从 Add Set 中删除,然后被添加到 Remove Set 中。这意味着如果一个元素被添加到 Add Set 中多次,那么它只能从 Add Set 中删除一次。这就是2P-Set的限制。
  • 相比之下,OR-Set 在处理删除操作时采用了一种不同的方法。当一个元素被添加到集合中时,它会被添加到一个内部集合中,该集合记录了每个节点添加的元素以及它们的标识符。当一个元素被删除时,它的标识符被记录在一个另一个内部集合中,该集合记录了每个节点删除的元素。这意味着一个元素可以被添加多次,并且可以被删除多次,因为每个添加和删除操作都被单独记录。
  • 因此,OR-Set 在处理删除操作时更加灵活,允许多次添加和删除。但是,它需要更多的空间来存储添加和删除操作的历史记录。2P-Set 相对更加紧凑,但是对于多次添加同一元素或多次删除同一元素的情况需要特殊处理。

LWW-Element-Set

LWW-Element-Set 用于跟踪元素的最近修改时间。

以下是一个简单的 LWW-element Set 示例,其中添加元素具有时间戳:

Add Set = {(a, 1), (b, 3), (c, 2)}
Remove Set = {(a, 2), (b, 4)}

Set = {c}

在上面的示例中,元素 a 的添加时间戳为 1,但在删除集合中有另一个时间戳更大的删除操作,所以它被删除。元素 b 的添加时间戳为 3,而删除时间戳为 4,因此它也被删除。元素 c 没有任何删除操作,因此保留在集合中。

然后用一个全局的视角来观察数据的添加和删除:

image

可以看出最终的结果由数据的最近修改时间决定。

Dimension-based CRDTs

Dimension-based CRDTs 是一种操作基础的 CRDTs,它通过标记不同的操作维度来实现对分布式系统中数据的同步和一致性。相较于 State-based CRDTs,Dimension-based CRDTs 更加灵活,可以实现更加复杂的数据结构,例如有序集合、有序映射等。Dimension-based CRDTs 的实现方式通常会涉及到对操作进行分解,并为每个操作打上维度标记。而这种基于维度标记的操作方式与 Operation-based CRDTs 有相似之处,实际上 Dimension-based CRDTs 可以看做是 Operation-based CRDTs 的一种实现方式。Dimension-based CRDTs 中的 G-Counter、PN-Counter 以及 LWW-Element-Set CRDTs 等都是基于维度标记的实现方式。

为什么说 G-Counter 等是 Dimension-based CRDTs 的实现方式?根据上文描述,不应该是 State-based CRDTs 的实现吗?

  • G-Counter 的状态可以被看作是一个由多个独立计数器组成的向量,每个计数器都对应一个节点或副本。因此,G-Counter 可以看作是一个维度数量等于节点数量的状态向量,每个节点都负责维护自己对应的计数器。这种情况下,G-Counter 被视为是 Dimension-based CRDTs,因为它的状态在维度上是可分的,不同节点之间的状态更新不会互相干扰。
  • 实际上,State-based CRDTs 和 Operation-based CRDTs 已经在数学上被证明可以相互转换。因此在各种具体实现的划分上,没有太严格的边界限定。

优化的 Operation-based CRDTs

尽管 Operation-based CRDTs 具有优良的可伸缩性和性能,但它们仍然存在一些局限性。特别是,在高并发环境下,客户端发送的操作可能会相互冲突,导致操作被拒绝并需要重新尝试。为了克服这些问题,研究提出了一些优化的 Operation-based CRDTs:

  • 一种常见的优化方法是将操作序列分成不同的分支,称为"shadow operations"。这些分支可以在分布式环境中独立地进行处理,从而减少冲突并提高并发性能。当分支被合并时,可以使用合并函数来合并它们。这种方法已被应用于许多 Operation-based CRDTs,例如 LWW-Register 和 OR-Set。

  • 另一种优化方法是使用"状态过渡标记"(state transition tags)来标记操作,以确保操作的顺序和语义正确。当两个操作产生冲突时,这些标记可以帮助系统正确地决定如何合并它们。这种方法被用于许多 CRDTs,例如 PN-Counter 和 G-Counter。

总之,优化的 Operation-based CRDTs 可以提高系统的性能和可伸缩性,并在高并发环境下保持数据的一致性。

CRDTs 的使用场景

分布式数据存储系统

  • 分布式数据存储系统是一种将数据存储在多个物理或逻辑设备上的系统,可以通过网络访问和管理数据。在这样的系统中,数据的一致性是一个关键问题,因为数据的多个副本可能会同时进行写入和修改。

  • CRDTs 提供了一种有效的方法来维护分布式数据存储系统中的一致性。CRDTs 可用于各种分布式数据存储系统,例如分布式文件系统、分布式数据库、内容分发网络(CDN)等。

  • CRDTs在分布式数据存储系统中的使用场景可以是数据复制、负载均衡、故障转移等。例如,在分布式文件系统中,可以使用 CRDTs 来保持多个文件副本之间的一致性。在分布式数据库中,CRDTs 可用于确保多个数据副本之间的一致性,并允许用户对数据进行并发访问。在 CDN 中,CRDTs 可以帮助实现多地域的内容缓存,从而提高网站的访问速度和可用性。

  • 总之,CRDTs可以为分布式数据存储系统提供一种强大的一致性维护方法,从而增强系统的可靠性、可扩展性和可用性。

实时协作应用

  • 实时协作应用是 CRDTs 的另一个重要应用场景。在实时协作应用中,多个用户可以同时编辑同一份文档、画布、表格等,而这些操作需要实时同步到其他用户的终端上,同时保证最终的数据一致性。

  • 使用传统的基于锁的同步机制,在实时协作场景下会面临一些问题,比如多个用户同时尝试修改同一份文档时可能会出现竞争条件,导致数据不一致,而且基于锁的同步机制也可能会引入额外的网络延迟和复杂性。

  • CRDTs 可以提供一种更加灵活和高效的实时协作解决方案。在实时协作应用中,通常使用 Operation-based CRDTs 来实现数据同步。当用户进行编辑操作时,每个操作都会被转换为一个操作对象,然后广播到所有其他用户。由于 CRDTs 的可交换和可并行特性,不同的用户操作可以在任意顺序下并发执行,最终都会收敛到相同的文档状态。

  • 例如,在协作编辑器中,每个字符的插入和删除都可以转换为一个操作对象,该对象包含了操作的位置和内容。这些操作对象按照顺序组成一个操作日志,然后广播到其他协作者的终端上。接收方将这些操作对象合并到本地操作日志中,并将结果反映在用户界面上。由于 CRDTs 可以保证操作的顺序性,所有用户的终端最终都会收敛到相同的文档状态,从而保证了数据的一致性。

无中心化的区块链系统

无中心化的区块链系统也是一种需要保持数据一致性的应用场景,而 CRDTs 作为一种在无中心化系统中维持数据一致性的技术,也可以被应用在区块链系统中。区块链系统是一个不可变的分布式数据库,它的数据存储在多个节点上,因此需要一种去中心化的方式来维护数据一致性。下面介绍一些CRDTs在无中心化的区块链系统中的应用场景。

  1. 交易:在区块链系统中,交易是指对账本中的资产或状态进行更改的操作。如果多个节点同时对账本进行更改,就有可能会出现数据冲突,导致数据不一致。使用 CRDTs 可以保证交易的数据一致性,从而保证交易的安全性和有效性。

  2. 合约:在区块链系统中,合约是指一段自动执行的代码,它可以读取和写入账本中的状态。合约中可能涉及到多个节点对账本状态的更改,因此也需要使用 CRDTs 来保证数据一致性。

  3. 投票:在区块链系统中,投票是指一种去中心化的决策机制。投票的结果需要被所有节点接受,否则就可能导致网络分裂。使用 CRDTs 可以保证投票的结果一致,从而确保网络的稳定性。

  4. 去中心化应用:去中心化应用是指运行在区块链上的应用程序,它们的数据存储在分布式账本中。这些应用程序需要实时处理和更新数据,因此需要使用 CRDTs 来保证数据的一致性。

总之,CRDTs作为一种在无中心化系统中保持数据一致性的技术,可以被应用在区块链系统中,保证区块链系统的稳定性和安全性。

CRDTs 的限制与发展

CRDTs(Conflict-free Replicated Data Types)作为无中心化系统中保持数据一致性的一种解决方案,在实际应用中取得了很多成功。然而,它们也存在一些限制和发展的空间。下面是关于 CRDTs 限制和发展的一些讨论。

可伸缩性和性能问题

虽然 CRDTs 已经在许多分布式系统中得到了广泛应用,但它们仍然面临一些可伸缩性和性能问题。以下是一些可能出现的问题:

  1. 带宽问题:在 CRDTs 中,每个更新操作都必须广播到所有节点。当系统中的节点数量增加时,带宽需求将呈指数级增长。这可能导致网络瓶颈和延迟增加。

  2. 存储问题:CRDTs 需要为每个节点存储副本,这可能导致存储成本增加,因为节点数量增加时需要更多的存储空间。

  3. 合并问题:当节点之间存在多个更新时,它们必须合并以保持一致性。这可能会导致合并操作的开销增加,从而导致性能下降。

  4. 冲突问题:尽管 CRDTs 能够处理大多数冲突,但在某些情况下,可能无法处理所有冲突。例如,如果两个节点同时对相同的数据执行非对称操作,则可能无法确定最终结果。

为了解决这些问题,新的 CRDTs 实现方式正在被提出,例如 Sharded CRDTs,这些方法可以减少带宽和存储需求,并提高性能。

容错性问题

容错性是分布式系统中一个重要的问题,同样也是 CRDTs 所面临的挑战之一。在 CRDTs 中,容错性主要包括以下两个方面:

  1. 节点故障:在分布式系统中,可能有一些节点由于故障或者网络延迟等原因与其他节点失去了联系,这时候需要确保 CRDTs 仍然能够正确地工作,数据能够保持一致性。为了应对这种情况,通常会采用节点复制(replication)的方式,即将数据复制到多个节点上,这样即使某个节点失效,其他节点依然可以保证数据的一致性。

  2. 数据冲突:在多个节点同时对同一数据进行修改的情况下,可能会出现数据冲突的情况。为了解决这个问题,CRDTs 通常采用相应的合并策略,在合并不同节点上的修改操作时保证数据的一致性。但是,由于合并操作可能涉及到大量的计算和通信,因此可能会影响系统的性能和可伸缩性。

因此,在实现 CRDTs 的容错性方面,需要权衡可靠性、性能和可伸缩性等因素,综合考虑各种限制和需求,选择适合的技术和策略,确保 CRDTs 能够在分布式系统中正常工作,并保持数据的一致性。

CRDTs 的未来展望

CRDTs 可以解决分布式系统中的数据一致性问题。随着分布式系统的快速发展,CRDTs 的使用将会越来越广泛。在未来,我们可以期待以下方面的发展:

  1. 更高效的实现:目前的 CRDT 实现已经非常成熟,但仍有提高效率的空间。随着硬件和软件的发展,我们可以期待更高效的实现,以满足更大规模的应用需求。

  2. 更灵活的模型:目前的 CRDTs 主要是针对特定场景设计的。未来我们可以期待更多的 CRDT 模型,以满足更多的应用需求。

  3. 更好的可扩展性:随着 CRDT 的广泛应用,可扩展性是一个重要的问题。未来,我们可以期待更好的可扩展性解决方案,以支持更大规模的应用场景。

  4. 更丰富的应用场景:目前,CRDTs 主要被应用于实时协作和分布式数据存储等领域。未来,我们可以期待更多的应用场景,例如区块链、物联网等领域。

  5. 更好的安全性:目前 CRDTs 已经有了一些安全性保障措施,但是在面对一些更为复杂的攻击时,仍然有待进一步完善。未来我们可以期待更好的安全性保障方案,以防止各种攻击。

总之,CRDTs 是一个非常有前途的技术,它可以在无中心化系统中保持数据一致性。未来,我们可以期待 CRDTs 在更多的应用场景中发挥作用,并为分布式系统带来更多的便利。