开启掘金成长之旅!这是我参与「掘金日新计划 · 2 月更文挑战」的第 31 天,点击查看活动详情
诸神缄默不语-个人CSDN博文目录
由于我真的,啥都不会,所以本文基本上就是,从0开始。
我看不懂的博客就是写得不行的博客。所以我只写我看得懂的部分。
持续更新。
@[toc]
1. 琴生不等式

证明加权形式(令a1=a2=⋯=an=n1即为一般形式):
首先证明a1x1+a2x2+⋯+anxn仍然在[a,b]内(另一种证明思路见百度百科,即参考资料链接1):
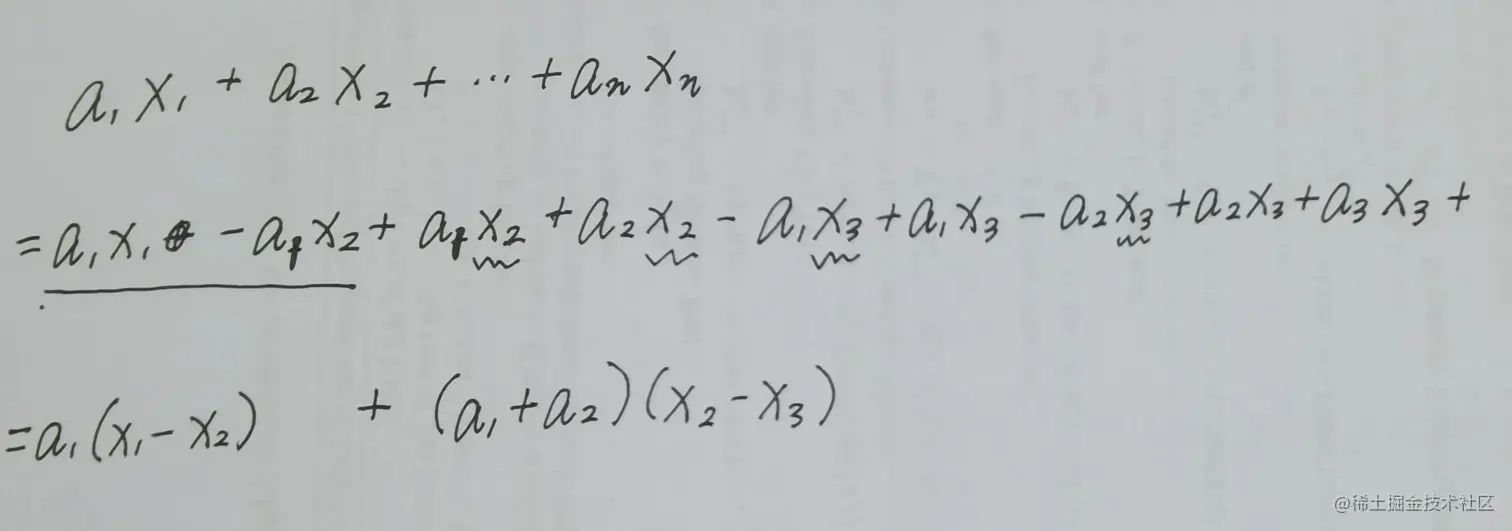
不妨设x1≥x2≥⋯≥xn
a1x1+a2x2+⋯+anxn=a1(x1−x2)+(a1+a2)(x2−x3)+⋯+(a1+a2+⋯+an−1)(xn−1−xn)+(a1+a2+⋯+an)xn
(这个我自己想是想不出来的,但是我可以理解。大概展开是这样的:)
每一项的值都是[0,xi−xi+1],最后一项是xn,所以整个多项式的取值范围是[xn,x1](右界一般情况下能不能取到我还没琢磨明白,反正a1=1时肯定可以,别的情况我还没想到),显然是在[a,b]范围内的
用数学归纳法证明不等式:
①当n=1时f(x)≤f(x)显然成立
②当n=2时:
设x1≤x2
函数曲线在(x1,f(x1)),(x2,f(x2))所构成的直线之下,设这条直线为g(x)=mx+n
则a1f(x1)+a2f(x2)=a1(mx1+n)+a2(mx2+n)=m(a1x1+a2x2)+n=g(a1x1+a2x2)
所以a1f(x1)+a2f(x2)=g(a1x1+a2x2)≥f(a1x1+a2x2)得证
③假设对任意n≥2不等式都成立,即f(a1x1+a2x2+a3x3+⋯+anxn)≤a1f(x1)+a2f(x2)+⋯+anf(xn)
则当n=n+1时:
f(a1x1+a2x2+a3x1+⋯+anxn+an+1xn+1)=f((a1+a2+⋯+an)a1+a2+⋯+ana1x1+a2x2+a3x1+⋯+anxn+an+1xn+1)≤(a1+a2+⋯+an)f(a1+a2+⋯+ana1x1+a2x2+a3x1+⋯+anxn)+an+1f(xn+1)=(a1+a2+⋯+an)f(a1+a2+⋯+ana1x1+a1+a2+⋯+ana2x2+⋯+a1+a2+⋯+ananxn)+an+1f(xn+1)≤(a1+a2+⋯+an)[a1+a2+⋯+ana1f(x1)+a1+a2+⋯+ana2f(x2)+⋯+a1+a2+⋯+ananf(xn)]+an+1f(xn+1)=a1f(x1)+a2f(x2)+⋯+anf(xn)+an+1f(xn+1)
不等式得证