每日一题——K 个一组翻转链表

66 阅读2分钟

开启掘金成长之旅!这是我参与「掘金日新计划 · 2 月更文挑战」的第 29 天,点击查看活动详情


K 个一组翻转链表

给你链表的头节点 head ,每 k **个节点一组进行翻转,请你返回修改后的链表。

k 是一个正整数,它的值小于或等于链表的长度。如果节点总数不是 k **的整数倍,那么请将最后剩余的节点保持原有顺序。

你不能只是单纯的改变节点内部的值,而是需要实际进行节点交换。

 

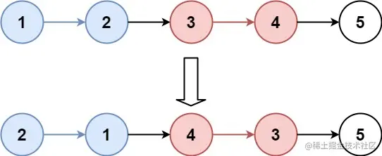
示例 1:

输入: head = [1,2,3,4,5], k = 2
输出: [2,1,4,3,5]

示例 2:

输入: head = [1,2,3,4,5], k = 3
输出: [3,2,1,4,5]

 

提示:

  • 链表中的节点数目为 n
  • 1 <= k <= n <= 5000
  • 0 <= Node.val <= 1000

思路

对于某一组链表来说,我们要将其反转,主要思想在于我们需要记录当前节点的下一个节点,然后将当前节点指向前一个节点,此时我们记录了当前节点原来的下一节点,还将当前节点的 next 指向了前一节点,也就完成了两个节点间的反转,前一节点 pre 向后移一个节点,到达当前节点 cur 的位置,当前节点 cur 可以向后移一位到达原下一节点 next 的位置,然后依次向后执行该步骤即可,具体就不再一一赘述。

如果我们要反转的是k个节点,对于我们的第一个节点 head,反转之后该节点应该指向第 k + 1 个节点,第 k + 1 个节点处,如果也有多于 k 个节点,则递归执行反转操作。

题解

/**
 * Definition for singly-linked list.
 * public class ListNode {
 *     int val;
 *     ListNode next;
 *     ListNode() {}
 *     ListNode(int val) { this.val = val; }
 *     ListNode(int val, ListNode next) { this.val = val; this.next = next; }
 * }
 */
class Solution {
    public ListNode reverseKGroup(ListNode head, int k) {
        int n = 0;
        ListNode tmp = head;
        while(tmp != null) {
            tmp = tmp.next;
            n++;
        }
        return reverse(head, n, k);
    }

    private ListNode reverse(ListNode head, int n, int k) {
        if(n < k) {
            return head;
        }
        ListNode pre = null;
        ListNode cur = head;
        for(int i = 0; i < k; i++) {
            ListNode tmp = cur.next;
            cur.next = pre;
            pre = cur;
            cur = tmp;
        }
        head.next = reverse(cur, n - k, k);
        return pre;
    }
}