【算法】重排链表

72 阅读1分钟

开启掘金成长之旅!这是我参与「掘金日新计划 · 2 月更文挑战」的第 19 天

今天基于学习算法吧

重排链表

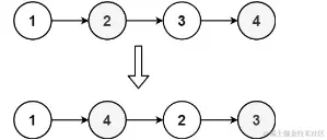
先看下题目要求: 给定一个单链表 L 的头节点 head ,单链表 L 表示为:

 L0 → L1 → … → Ln-1 → Ln  请将其重新排列后变为:

L0 → Ln → L1 → Ln-1 → L2 → Ln-2 → …

不能只是单纯的改变节点内部的值,而是需要实际的进行节点交换。

示例 1:

image.png

输入: head = [1,2,3,4] 输出: [1,4,2,3]

示例 2:

image.png

输入: head = [1,2,3,4,5] 输出: [1,5,2,4,3]

参考提示:

链表的长度范围为 [1, 5 * 104]

1 <= node.val <= 1000

通过Java代码解答参考

public class ListNode {
    int val;
    ListNode next;
    ListNode(int x) {
        val = x;
    }
}
class Solution {
    public void reorderList(ListNode head) {
        if (head == null) {
            return;
        }
        ListNode fast = head, slow = head;
        while (fast != null && fast.next != null) {
            fast = fast.next.next;
            slow = slow.next;
        }
        ListNode cur = slow.next, pre = null, next = null;
        slow.next = null;
        while (cur != null) {
            next = cur.next;
            cur.next = pre;
            pre = cur;
            cur = next;
        }
        ListNode p1 = head, p2 = pre;
        while (p1 != null && p2 != null) {
            next = p2.next;
            p2.next = p1.next;
            p1.next = p2;
            p1 = p2.next;
            p2 = next;
        }
    }
}

颜色分类

看下题目要求 给定一个包含红色、白色和蓝色,一共 n 个元素的数组,原地对它们进行排序,使得相同颜色的元素相邻,并按照红色、白色、蓝色顺序排列。

此题中,我们使用整数 0、 1 和 2 分别表示红色、白色和蓝色。

示例 1:

输入:nums = [2,0,2,1,1,0] 输出:[0,0,1,1,2,2]

示例 2:

输入:nums = [2,0,1] 输出:[0,1,2]

示例 3:

输入:nums = [0] 输出:[0]

示例 4:

输入:nums = [1] 输出:[1]

提示:

n == nums.length

1 <= n <= 300

nums[i] 为 0、1 或 2

进阶:

你可以不使用代码库中的排序函数来解决这道题吗?

你能想出一个仅使用常数空间的一趟扫描算法吗?

通过Java代码解答参考

class Solution {
    public void sortColors(int[] nums) {
        int low = 0, high = nums.length - 1;
        int i = 0;
        while (i <= high) {
            if (nums[i] == 0) {
                int tmp = nums[i];
                nums[i] = nums[low];
                nums[low] = tmp;
                ++low;
                ++i;
            } else if (nums[i] == 1) {
                ++i;
            } else if (i <= high && nums[i] == 2) {
                int tmp = nums[i];
                nums[i] = nums[high];
                nums[high] = tmp;
                --high;
            }
        }
    }
}