推荐系统[四]:精排-详解排序算法LTR (Learning to Rank)_ poitwise, pairwise, listwise相关评价指标,超详细知

1,379 阅读19分钟

开启掘金成长之旅!这是我参与「掘金日新计划 · 2 月更文挑战」的第 14 天,点击查看活动详情

0.前言召回排序流程策略算法简介

在这里插入图片描述 推荐可分为以下四个流程,分别是召回、粗排、精排以及重排:

  1. 召回是源头,在某种意义上决定着整个推荐的天花板;
  2. 粗排是初筛,一般不会上复杂模型;
  3. 精排是整个推荐环节的重中之重,在特征和模型上都会做的比较复杂;
  4. 重排,一般是做打散或满足业务运营的特定强插需求,同样不会使用复杂模型;
  • 召回层:召回解决的是从海量候选item中召回千级别的item问题

    • 统计类,热度,LBS;
    • 协同过滤类,UserCF、ItemCF;
    • U2T2I,如基于user tag召回;
    • I2I类,如Embedding(Word2Vec、FastText),GraphEmbedding(Node2Vec、DeepWalk、EGES);
    • U2I类,如DSSM、YouTube DNN、Sentence Bert; 在这里插入图片描述
  • 模型类:模型类的模式是将用户和item分别映射到一个向量空间,然后用向量召回,这类有itemcf,usercf,embedding(word2vec),Graph embedding(node2vec等),DNN(如DSSM双塔召回,YouTubeDNN等),RNN(预测下一个点击的item得到用户emb和item emb);向量检索可以用Annoy(基于LSH),Faiss(基于矢量量化)。此外还见过用逻辑回归搞个预估模型,把权重大的交叉特征拿出来构建索引做召回

  • 排序策略,learning to rank 流程三大模式(pointwise、pairwise、listwise),主要是特征工程和CTR模型预估;

    • 粗排层:本质上跟精排类似,只是特征和模型复杂度上会精简,此外也有将精排模型通过蒸馏得到简化版模型来做粗排
      • 常见的特征挖掘(user、item、context,以及相互交叉);
    • 精排层:精排解决的是从千级别item到几十这个级别的问题
      • CTR预估:lr,gbdt,fm及其变种(fm是一个工程团队不太强又对算法精度有一定要求时比较好的选择),widedeep,deepfm,NCF各种交叉,DIN,BERT,RNN
      • 多目标:MOE,MMOE,MTL(多任务学习)
      • 打分公式融合: 随机搜索,CEM(性价比比较高的方法),在线贝叶斯优化(高斯过程),带模型CEM,强化学习等 在这里插入图片描述
  • 重排层:重排层解决的是展示列表总体最优,模型有 MMR,DPP,RNN系列(参考阿里的globalrerank系列)

  • 展示层

    • 推荐理由:统计规则、行为规则、抽取式(一般从评论和内容中抽取)、生成式;排序可以用汤普森采样(简单有效),融合到精排模型排等等
    • 首图优选:CNN抽特征,汤普森采样
  • 探索与利用:随机策略(简单有效),汤普森采样,bandit,强化学习(Q-Learning、DQN)等

  • 产品层:交互式推荐、分tab、多种类型物料融合

粗排与精排就像级联漏斗,两者目标更多保持同向一致性,粗排就是跟精排保持步调一致。如果粗排排序高的,精排排序也高,那么粗排就很好的完成了“帮助精排缓冲”的目的。而rerank环节类似于排序改判:可能涉及业务调整、打散、强插、增量分等等。

1.精排简介

Learning to Rank (LTR)是一类技术方法,主要利用机器学习算法解决实际中的排序问题。传统的机器学习主要解决的问题是一个分类或者回归问题,比如对一个样本数据预测对应的类别或者预测一个数值分值。而LTR解决的是一个排序问题,对一个list的item进行一个排序,所以LTR并不太关注这个list的每个item具体得多少分值,更关注所有item的相对顺序。排序通常是信息检索的核心成分,所以LTR最常见的应用是搜索场景,对召回的document进行排序。

1.1 精排应用场景

在这里插入图片描述 排序学习场景:

  • 推荐系统,基于历史行为的“猜你喜欢”
  • 搜索排序,基于某Query进行的结果排序,期望用户选中的在排序结果中是靠前的 => 有意识的被动推荐
  • 排序结果都很重要,猜用户想要点击或者booking的item就在结果列表前面
  • 排序学习是个性化结果,用于搜索列表、推荐列表、广告等场景

1.2 常用模型

排序模型按照结构划分,可以分为线性排序模型、树模型、深度学习模型: 从早期的线性模型LR,到引入自动二阶交叉特征的FM和FFM,到非线性树模型GBDT和GBDT+LR,到最近全面迁移至大规模深度学习排序模型。

  • 线性排序模型:LR
  • 树模型:GBDT,GBDT+LR, LambdaMART
  • 深度学习模型: DeepFM,Wide&Deep, ListNet, AdaRank,SoftRank,LambdaRank等

在这里插入图片描述

2.LTR三大结构:Pointwise, Pairwise, Listwise

序模型按照样本生成方法和损失函数loss的不同,可以划分成Pointwise, Pairwise, Listwise三类方法:

  • Pointwise排序学习(单点法)
    • 将训练样本转换为多分类问题(样本特征-类别标记)或者回归问题(样本特征-连续值)
    • 只考虑单个样本的好坏,没有考虑样本之间的顺序
  • Pairewise排序学习(配对法):
    • 比较流行的LTR学习方法,将排序问题转换为二元分类问题
    • 接收到用户査询后,返回相关文档列表,确定文档之间的先后顺序关系(多个pair的排序问题),只考虑了两个文档的相对顺序,没有考虑文档在搜索列表中的位置。
  • Listwise排序学习(列表法):
    • 它是将每个Query对应的所有搜索结果列表作为一个训练样例
    • 根据训练样例训练得到最优评分函数F,对应新的查询,评分F对每个文档打分,然后根据得分由高到低排序,即为最终的排序结果

在这里插入图片描述

2.1 pointwise

pointwise将其转化为多类分类或者回归问题 Learning2Rank框架

Pointwise 类方法,其 L2R 框架具有以下特征:

  • 输入空间中样本是单个 doc(和对应 query)构成的特征向量;
  • 输出空间中样本是单个 doc(和对应 query)的相关度;
  • 假设空间中样本是打分函数;
  • 损失函数评估单个 doc 的预测得分和真实得分之间差异。

这里讨论下,关于人工标注标签怎么转换到 pointwise 类方法的输出空间:

  • 如果标注直接是相关度 sjs_j,则 docxjdoc x_j 的真实标签定义为 yj=sjy_j=s_j
  • 如果标注是 pairwise preference su,vs_{u,v},则 docxjdoc x_j 的真实标签可以利用该 doc 击败了其他 docs 的频次
  • 如果标注是整体排序 π,则 docxjdoc x_j 的真实标签可以利用映射函数,如将 doc 的排序位置序号当作真实标签

2.1.1 算法简介

根据使用的 ML 方法不同,pointwise 类可以进一步分成三类:基于回归的算法、基于分类的算法,基于有序回归的算法。下面详细介绍。

  1. 基于回归的算法 此时,输出空间包含的是实值相关度得分。 采用 ML 中传统的回归方法即可。

  2. 基于分类的算法 此时,输出空间包含的是无序类别。 对于二分类,SVM、LR 等均可;对于多分类,提升树等均可。

  3. 基于有序回归的算法 此时,输出空间包含的是有序类别。 通常是找到一个打分函数,然后用一系列阈值对得分进行分割,得到有序类别。采用 PRanking、基于 margin 的方法都可以。

2.1.2 ponitwise 细则

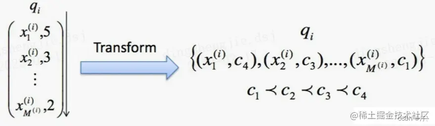
pointwise方法损失函数计算只与单个document有关,本质上是训练一个分类模型或者回归模型,判断这个document与当前的这个query相关程度,最后的排序结果就是从模型对这些document的预测的分值进行一个排序。对于pointwise方法,给定一个query的document list,对于每个document的预测与其它document是独立的。所以模型输入和对应的标签label形式如下:

  • 输入: 单个document
  • 标签label: document所属类型或者分值 pointwise方法将排序任务看做对单个文本的回归或者分类任务来做。若文档document的相关性等级有K种,则我们可以建模为一个有K个类别的{0,1,2,...,K1}\{0,1,2,..., K-1\}的Multi-class分类任务,则 yiRky_i \in \R^k 一个k维度的one-hot表示, 我们可以用交叉熵loss作为目标损失函数:

L=(yilog(pi)(1yi)log(1pi)])\left.\mathrm{L}=-\left(\mathrm{y}_{\mathrm{i}} \log \left(\mathrm{p}_{\mathrm{i}}\right)-\left(1-\mathrm{y}_{\mathrm{i}}\right) \log \left(1-\mathrm{p}_{\mathrm{i}}\right)\right]\right)

在这里插入图片描述

在这里插入图片描述

参考链接:zhuanlan.zhihu.com/p/528533867

2.1.3 Pointwise排序学习(单点法)总结:

  1. 将文档转化为特征向量,每个文档都是独立的
  2. 对于某一个query,它将每个doc分别判断与这个query的相关程度
  3. 将docs排序问题转化为了分类(比如相关、不相关)或回归问题(相关程度越大,回归函数的值越大)
  4. 从训练数据中学习到的分类或者回归函数对doc打分,打分结果即是搜索结果,CTR可以采用Pointwise方式进行学习,对每一个候选item给出一个评分,基于评分进行排序
  5. 仅仅考虑了query和doc之间的关系,而没有考虑排序列表中docs之间的关系
  6. 主要算法:转换为回归问题,使用LR,GBDT,Prank, McRank

缺陷

  • ranking 追求的是排序结果,并不要求精确打分,只要有相对打分即可。
  • pointwise 类方法并没有考虑同一个 query 对应的 docs 间的内部依赖性。一方面,导致输入空间内的样本不是 IID 的,违反了 ML 的基本假设,另一方面,没有充分利用这种样本间的结构性。其次,当不同 query 对应不同数量的 docs 时,整体 loss 将会被对应 docs 数量大的 query 组所支配,前面说过应该每组 query 都是等价的。
  • 损失函数也没有 model 到预测排序中的位置信息。因此,损失函数可能无意的过多强调那些不重要的 docs,即那些排序在后面对用户体验影响小的 doc。

改进

  • Pointwise 类算法也可以再改进,比如在 loss 中引入基于 query 的正则化因子的 RankCosine 方法。

2.2 pairwise

pairwise将其转化为pair分类问题

Pairwise 类方法,其 L2R 框架具有以下特征:

  • 输入空间中样本是(同一 query 对应的)两个 doc(和对应 query)构成的两个特征向量;

  • 输出空间中样本是 pairwise preference;

  • 假设空间中样本是二变量函数;

  • 损失函数评估 doc pair 的预测 preference 和真实 preference 之间差异。 这里讨论下,关于人工标注标签怎么转换到 pairwise 类方法的输出空间:

  • 如果标注直接是相关度 sjs_j,则 doc pair(xu,xv)pair (x_u,x_v) 的真实标签定义为 yu,v=2Isu>sv1y_{u,v}=2*I_{s_u>s_v}-1

  • 如果标注是 pairwise preference su,vs_{u,v},则 doc pair(xu,xv)pair (x_u,x_v) 的真实标签定义为yu,v=su,vy_{u,v}=s_{u,v}

  • 如果标注是整体排序 π,则 doc pair(xu,xv)pair (x_u,x_v) 的真实标签定义为yu,v=2Iπu,πv1y_{u,v}=2*I_{π_u,π_v}-1

2.2.1 算法简介

  1. 基于二分类的算法 pairwise 类方法基本就是使用二分类算法即可。 经典的算法有 基于 NN 的 SortNet,基于 NN 的 RankNet,基于 fidelity loss 的 FRank,基于 AdaBoost 的 RankBoost,基于 SVM 的 RankingSVM,基于提升树的 GBRank。

2.2.2 pairwise细则

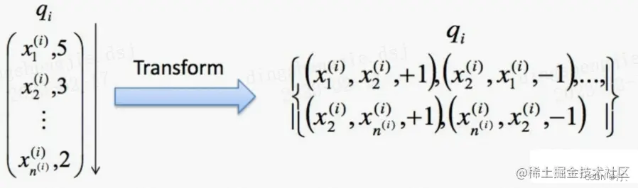
基于pairwise的方法,在计算目标损失函数的时候,每一次需要基于一个pair的document的预测结果进行损失函数的计算。比如给定一个pair对的document,优化器需要优化的是两个document的排序关系,与groud truth的排序顺序保持一致。目标是最小化与groud truth不一致的排序对。在实际应用中,pairwise方法比pointwise效果更好,因为预测相对的排序相比预测一个类别或者一个分值,更符合排序的性质。其中模型输入和对应的标签label形式如下:

  • 输入: 一个pair对document (A,B)
  • 输出标签: 相对顺序label (1, 0.5, 0)

其中1表示相关性等级A>B,0.5表示相关性等级A=B,0表示相关性等级A<B。

在这里插入图片描述

在这里插入图片描述 在这里插入图片描述

2.2.3 Pairewise排序学习(配对法)总结:

  1. 比较流行的LTR学习方法,将排序问题转换为二元分类问题
  2. 接收到用户査询后,返回相关文档列表,确定文档之间的先后顺序关系(多个pair的排序问题)
  3. 对于同一查询的相关文档集中,对任何两个不同label的文档,都可以得到一个训练实例di,dj(di,dj),如果di>djdi>dj则赋值+1,反之-1
  4. 没有考虑文档出现在搜索列表中的位置,排在搜索结果前面的文档更为重要,如果靠前的文档出现判断错误,代价会很高

1. 缺点: 虽然 pairwise 类相较 pointwise 类 model 到一些 doc pair 间的相对顺序信息,但还是存在不少问题,回顾概述中提到的评估指标应该基于 query 和 position,

  • 如果人工标注给定的是第一种和第三种,即已包含多有序类别,那么转化成 pairwise preference 时必定会损失掉一些更细粒度的相关度标注信息。
  • doc pair 的数量将是 doc 数量的二次,从而 pointwise 类方法就存在的 query 间 doc 数量的不平衡性将在 pairwise 类方法中进一步放大。
  • pairwise 类方法相对 pointwise 类方法对噪声标注更敏感,即一个错误标注会引起多个 doc pair 标注错误。
  • pairwise 类方法仅考虑了 doc pair 的相对位置,损失函数还是没有 model 到预测排序中的位置信息。
  • pairwise 类方法也没有考虑同一个 query 对应的 doc pair 间的内部依赖性,即输入空间内的样本并不是 IID 的,违反了 ML 的基本假设,并且也没有充分利用这种样本间的结构性。

2. 改进 pairwise 类方法也有一些尝试,去一定程度解决上述缺陷,比如:

  • Multiple hyperplane ranker,主要针对前述第一个缺陷
  • magnitude-preserving ranking,主要针对前述第一个缺陷
  • IRSVM,主要针对前述第二个缺陷
  • 采用 Sigmoid 进行改进的 pairwise 方法,主要针对前述第三个缺陷
  • P-norm push,主要针对前述第四个缺陷
  • Ordered weighted average ranking,主要针对前述第四个缺陷
  • LambdaRank,主要针对前述第四个缺陷
  • Sparse ranker,主要针对前述第四个缺陷

2.3 listwise

Listwise 类方法,其 L2R 框架具有以下特征:

  • 输入空间中样本是(同一 query 对应的)所有 doc(与对应的 query)构成的多个特征向量(列表);
  • 输出空间中样本是这些 doc(和对应 query)的相关度排序列表或者排列;
  • 假设空间中样本是多变量函数,对于 docs 得到其排列,实践中,通常是一个打分函数,根据打分函数对所有 docs 的打分进行排序得到 docs 相关度的排列;
  • 损失函数分成两类,一类是直接和评价指标相关的,还有一类不是直接相关的。具体后面介绍。

这里讨论下,关于人工标注标签怎么转换到 listwise 类方法的输出空间:

  • 如果标注直接是相关度sjs_j,则 doc set 的真实标签可以利用相关度 sjs_j进行比较构造出排列
  • 如果标注是 pairwise preference su,vs_{u,v},则 doc set 的真实标签也可以利用所有 su,vs_{u,v}进行比较构造出排列
  • 如果标注是整体排序 π,则 doc set 则可以直接得到真实标签

2.3.1 算法简介

  1. 直接基于评价指标的算法

直接取优化 ranking 的评价指标,也算是 listwise 中最直观的方法。但这并不简单,因为前面说过评价指标都是离散不可微的,具体处理方式有这么几种:

  • 优化基于评价指标的 ranking error 的连续可微的近似,这种方法就可以直接应用已有的优化方法,如SoftRank,ApproximateRank,SmoothRank
  • 优化基于评价指标的 ranking error 的连续可微的上界,如 SVM-MAP,SVM-NDCG,PermuRank
  • 使用可以优化非平滑目标函数的优化技术,如 AdaRank,RankGP

上述方法的优化目标都是直接和 ranking 的评价指标有关。现在来考虑一个概念,informativeness。通常认为一个更有信息量的指标,可以产生更有效的排序模型。而多层评价指标(NDCG)相较二元评价(AP)指标通常更富信息量。因此,有时虽然使用信息量更少的指标来评估模型,但仍然可以使用更富信息量的指标来作为 loss 进行模型训练。

通过直接优化排序结果中的评测指标来优化排序任务,但是基于评测指标比如NDCG依赖排序结果,是不连续不可导的。所以优化这些不连续不可导的目标函数面临较大的挑战,目前多数优化技术都是基于函数可导的情况。那么如何解决这个问题?常见的有如下两种方法:

  • 通过使用优化技术将目标函数转变成连续可导的函数,然后进行求解,比如SoftRankAdaRank等模型
  • 通过使用优化技术对非连续的不可导目标函数就行求解,比如 LambdaRank

LambdaRank RankNet优化目标是最小化pair对错误,但是在信息检索领域比如NDCG这样的评测指标,这样的优化目标并不能够最大化效果,通常在信息检索中我们更关注的是topN的排序结果,且相关性越大的文本最需要排在最前面。如下图所示: 在这里插入图片描述 给定一个query,上图为排序结果展示,其中蓝色的线表示的是相关的文档,灰色的线表示不相关的文档,那么在左图,有13个pair对错误,而在右图中,有11个pair对错误,在RankNet,右图的排序结果要比左图好,但是在信息检索指标中,比如NDCG指标,左图的效果比右边更好。 我们在上面介绍RankNet中,将上述(1)(2)公式代人到(3)公式中,我们可以得到损失函数如下:

C=12(1Sij)σ(sisj)+log(1+eσ(sisj))\mathrm{C}=\frac{1}{2}\left(1-\mathrm{S}_{\mathrm{ij}}\right) \sigma\left(\mathrm{s}_{\mathrm{i}}-\mathrm{s}_{\mathrm{j}}\right)+\log \left(1+\mathrm{e}^{-\sigma\left(\mathrm{s}_{\mathrm{i}}-\mathrm{s}_{\mathrm{j}}\right)}\right)

详细内容不展开参考博客:blog.csdn.net/BGoodHabit/… 4.1.1节

LambdaMART

参考上述博客4.1.2节

  1. 非直接基于评价指标的算法(定义损失函数) 这里,不再使用和评价指标相关的 loss 来优化模型,而是设计能衡量模型输出与真实排列之间差异的 loss,如此获得的模型在评价指标上也能获得不错的性能。 经典的如 ,ListNet,ListMLE,StructRank,BoltzRank。

ListNet ListNet与RankNet很相似,RankNet是用pair对文本排序顺序进行模型训练,而ListNet用的是整个list文本排序顺序进行模型训练。若训练样本中有m个query,假如对应需要排序的最多文本数量为n ,则RankNet的复杂度为O(mn2)O(m \cdot n^2)而ListNet的复杂度为O(mn)O(m \cdot n),所以整体来说在训练过程中ListNet相比RankNet更高效。

ListMLE ListMLE也是基于list计算损失函数,论文对learning to rank算法从函数凸性,连续性,鲁棒性等多个维度进行了分析,提出了一种基于最大似然loss的listwise排序算法,取名为ListMLE。

上述参考博客:4.2.2节

2.3.2 Listwise细则

更多内容参考(blog.csdn.net/sinat_39620…]

2.3.3 Listwise排序学习(列表法)总结:

  1. 它是将每个Query对应的所有搜索结果列表作为一个训练样例
  2. 根据训练样例训练得到最优评分函数F,对应新的查询,评分F对每个文档打分,然后根据得分由高到低排序,即为最终的排序结果
  3. 直接考虑整体序列,针对Ranking评价指标(比如MAP, NDCG)进行优化
  4. 主要算法:ListNet, AdaRank,SoftRank,LambdaRank, LambdaMART等LambdaMART是对RankNet和LambdaRank的改进,在 Yahoo Learning to Rank Challenge比赛中的冠军模型

listwise 类相较 pointwise、pairwise 对 ranking 的 model 更自然,解决了 ranking 应该基于 query 和 position 问题。

listwise 类存在的主要缺陷是:一些 ranking 算法需要基于排列来计算 loss,从而使得训练复杂度较高,如 ListNet和 BoltzRank。此外,位置信息并没有在 loss 中得到充分利用,可以考虑在 ListNet 和 ListMLE 的 loss 中引入位置折扣因子。

2.4 三类方法代表汇总

wiki有很全的三类方法代表:

2019	FastAP [30]	listwise	Optimizes Average Precision to learn deep embeddings
2019	Mulberry	listwise & hybrid	Learns ranking policies maximizing multiple metrics across the entire dataset
2019	DirectRanker	pairwise	Generalisation of the RankNet architecture
2019	GSF [31]	listwise	A permutation-invariant multi-variate ranking function that encodes and ranks items with groupwise scoring functions built with deep neural networks.
2020	RaMBO[32]	listwise	Optimizes rank-based metrics using blackbox backpropagation[33]
2020	PRM [34]	pairwise	Transformer network encoding both the dependencies among items and the interactions
between the user and items

2020	SetRank [35]	listwise	A permutation-invariant multi-variate ranking function that encodes and ranks items with self-attention networks.
2021	PiRank [36]	listwise	Differentiable surrogates for ranking able to exactly recover the desired metrics and scales favourably to large list sizes, significantly improving internet-scale benchmarks.
2022	SAS-Rank	listwise	Combining Simulated Annealing with Evolutionary Strategy for implicit and explicit learning to rank from relevance labels
2022	VNS-Rank	listwise	Variable Neighborhood Search in 2 Novel Methodologies in AI for Learning to Rank
2022	VNA-Rank	listwise	Combining Simulated Annealing with Variable Neighbourhood Search for Learning to Rank

2.5 评估指标

更多内容参考(blog.csdn.net/sinat_39620…]

2.5.1 WTA(Winners take all)

2.5.2 MRR(Mean Reciprocal Rank)

2.5.3 RC(Rank Correlation)

2.5.4 MAP(Mean Average Precision)

2.5.5 NDCG(Normalized Discounted Cumulative Gain)

2.5.6 小结

可以发现,这些评估指标具备两大特性:

  • 基于 query ,即不管一个 query 对应的 docs 排序有多糟糕,也不会严重影响整体的评价过程,因为每组 query-docs 对平均指标都是相同的贡献。
  • 基于 position ,即显式的利用了排序列表中的位置信息,这个特性的副作用就是上述指标是离散不可微的。 一方面,这些指标离散不可微,从而没法应用到某些学习算法模型上;另一方面,这些评估指标较为权威,通常用来评估基于各类方式训练出来的 ranking 模型。因此,即使某些模型提出新颖的损失函数构造方式,也要受这些指标启发,符合上述两个特性才可以。

3.推荐参考链接

开启掘金成长之旅!这是我参与「掘金日新计划 · 2 月更文挑战」的第 14 天,点击查看活动详情