滴滴前端二面必会react面试题指南

128 阅读23分钟

在 React 中如何处理事件

为了解决跨浏览器的兼容性问题,SyntheticEvent 实例将被传递给你的事件处理函数,SyntheticEvent是 React 跨浏览器的浏览器原生事件包装器,它还拥有和浏览器原生事件相同的接口,包括 stopPropagation()preventDefault()。 比较有趣的是,React 实际上并不将事件附加到子节点本身。React 使用单个事件侦听器侦听顶层的所有事件。这对性能有好处,也意味着 React 在更新 DOM 时不需要跟踪事件监听器。

React 事件机制

<div onClick={this.handleClick.bind(this)}>点我</div>

React并不是将click事件绑定到了div的真实DOM上,而是在document处监听了所有的事件,当事件发生并且冒泡到document处的时候,React将事件内容封装并交由真正的处理函数运行。这样的方式不仅仅减少了内存的消耗,还能在组件挂在销毁时统一订阅和移除事件。

除此之外,冒泡到document上的事件也不是原生的浏览器事件,而是由react自己实现的合成事件(SyntheticEvent)。因此如果不想要是事件冒泡的话应该调用event.preventDefault()方法,而不是调用event.stopProppagation()方法。 JSX 上写的事件并没有绑定在对应的真实 DOM 上,而是通过事件代理的方式,将所有的事件都统一绑定在了 document 上。这样的方式不仅减少了内存消耗,还能在组件挂载销毁时统一订阅和移除事件。

另外冒泡到 document 上的事件也不是原生浏览器事件,而是 React 自己实现的合成事件(SyntheticEvent)。因此我们如果不想要事件冒泡的话,调用 event.stopPropagation 是无效的,而应该调用 event.preventDefault

实现合成事件的目的如下:

  • 合成事件首先抹平了浏览器之间的兼容问题,另外这是一个跨浏览器原生事件包装器,赋予了跨浏览器开发的能力;
  • 对于原生浏览器事件来说,浏览器会给监听器创建一个事件对象。如果你有很多的事件监听,那么就需要分配很多的事件对象,造成高额的内存分配问题。但是对于合成事件来说,有一个事件池专门来管理它们的创建和销毁,当事件需要被使用时,就会从池子中复用对象,事件回调结束后,就会销毁事件对象上的属性,从而便于下次复用事件对象。

怎么用 React.createElement 重写下面的代码

Question:

const element = (
  <h1 className="greeting">
    Hello, rdhub.cn!
  </h1>
);

Answer:

const element = React.createElement(
  'h1',
  {className: 'greeting'},
  'Hello, rdhub.cn!'
);

对componentWillReceiveProps 的理解

该方法当props发生变化时执行,初始化render时不执行,在这个回调函数里面,你可以根据属性的变化,通过调用this.setState()来更新你的组件状态,旧的属性还是可以通过this.props来获取,这里调用更新状态是安全的,并不会触发额外的render调用。

使用好处: 在这个生命周期中,可以在子组件的render函数执行前获取新的props,从而更新子组件自己的state。 可以将数据请求放在这里进行执行,需要传的参数则从componentWillReceiveProps(nextProps)中获取。而不必将所有的请求都放在父组件中。于是该请求只会在该组件渲染时才会发出,从而减轻请求负担。

componentWillReceiveProps在初始化render的时候不会执行,它会在Component接受到新的状态(Props)时被触发,一般用于父组件状态更新时子组件的重新渲染。

React的事件和普通的HTML事件有什么不同?

区别:

  • 对于事件名称命名方式,原生事件为全小写,react 事件采用小驼峰;
  • 对于事件函数处理语法,原生事件为字符串,react 事件为函数;
  • react 事件不能采用 return false 的方式来阻止浏览器的默认行为,而必须要地明确地调用preventDefault()来阻止默认行为。

合成事件是 react 模拟原生 DOM 事件所有能力的一个事件对象,其优点如下:

  • 兼容所有浏览器,更好的跨平台;
  • 将事件统一存放在一个数组,避免频繁的新增与删除(垃圾回收)。
  • 方便 react 统一管理和事务机制。

事件的执行顺序为原生事件先执行,合成事件后执行,合成事件会冒泡绑定到 document 上,所以尽量避免原生事件与合成事件混用,如果原生事件阻止冒泡,可能会导致合成事件不执行,因为需要冒泡到document 上合成事件才会执行。

React的生命周期有哪些?

React 通常将组件生命周期分为三个阶段:

  • 装载阶段(Mount),组件第一次在DOM树中被渲染的过程;
  • 更新过程(Update),组件状态发生变化,重新更新渲染的过程;
  • 卸载过程(Unmount),组件从DOM树中被移除的过程;

1)组件挂载阶段

挂载阶段组件被创建,然后组件实例插入到 DOM 中,完成组件的第一次渲染,该过程只会发生一次,在此阶段会依次调用以下这些方法:

  • constructor
  • getDerivedStateFromProps
  • render
  • componentDidMount
(1)constructor

组件的构造函数,第一个被执行,若没有显式定义它,会有一个默认的构造函数,但是若显式定义了构造函数,我们必须在构造函数中执行 super(props),否则无法在构造函数中拿到this。

如果不初始化 state 或不进行方法绑定,则不需要为 React 组件实现构造函数Constructor

constructor中通常只做两件事:

  • 初始化组件的 state
  • 给事件处理方法绑定 this
constructor(props) {
  super(props);
  // 不要在构造函数中调用 setState,可以直接给 state 设置初始值
  this.state = { counter: 0 }
  this.handleClick = this.handleClick.bind(this)
}

(2)getDerivedStateFromProps
static getDerivedStateFromProps(props, state)

这是个静态方法,所以不能在这个函数里使用 this,有两个参数 propsstate,分别指接收到的新参数和当前组件的 state 对象,这个函数会返回一个对象用来更新当前的 state 对象,如果不需要更新可以返回 null

该函数会在装载时,接收到新的 props 或者调用了 setStateforceUpdate 时被调用。如当接收到新的属性想修改 state ,就可以使用。

// 当 props.counter 变化时,赋值给 state 
class App extends React.Component {
  constructor(props) {
    super(props)
    this.state = {
      counter: 0
    }
  }
  static getDerivedStateFromProps(props, state) {
    if (props.counter !== state.counter) {
      return {
        counter: props.counter
      }
    }
    return null
  }

  handleClick = () => {
    this.setState({
      counter: this.state.counter + 1
    })
  }
  render() {
    return (
      <div>
        <h1 onClick={this.handleClick}>Hello, world!{this.state.counter}</h1>
      </div>
    )
  }
}

现在可以显式传入 counter ,但是这里有个问题,如果想要通过点击实现 state.counter 的增加,但这时会发现值不会发生任何变化,一直保持 props 传进来的值。这是由于在 React 16.4^ 的版本中 setStateforceUpdate 也会触发这个生命周期,所以当组件内部 state 变化后,就会重新走这个方法,同时会把 state 值赋值为 props 的值。因此需要多加一个字段来记录之前的 props 值,这样就会解决上述问题。具体如下:

// 这里只列出需要变化的地方
class App extends React.Component {
  constructor(props) {
    super(props)
    this.state = {
      // 增加一个 preCounter 来记录之前的 props 传来的值
      preCounter: 0,
      counter: 0
    }
  }
  static getDerivedStateFromProps(props, state) {
    // 跟 state.preCounter 进行比较
    if (props.counter !== state.preCounter) {
      return {
        counter: props.counter,
        preCounter: props.counter
      }
    }
    return null
  }
  handleClick = () => {
    this.setState({
      counter: this.state.counter + 1
    })
  }
  render() {
    return (
      <div>
        <h1 onClick={this.handleClick}>Hello, world!{this.state.counter}</h1>
      </div>
    )
  }
}

(3)render

render是React 中最核心的方法,一个组件中必须要有这个方法,它会根据状态 state 和属性 props 渲染组件。这个函数只做一件事,就是返回需要渲染的内容,所以不要在这个函数内做其他业务逻辑,通常调用该方法会返回以下类型中一个:

  • React 元素:这里包括原生的 DOM 以及 React 组件;
  • 数组和 Fragment(片段):可以返回多个元素;
  • Portals(插槽):可以将子元素渲染到不同的 DOM 子树种;
  • 字符串和数字:被渲染成 DOM 中的 text 节点;
  • 布尔值或 null:不渲染任何内容。
(4)componentDidMount()

componentDidMount()会在组件挂载后(插入 DOM 树中)立即调。该阶段通常进行以下操作:

  • 执行依赖于DOM的操作;
  • 发送网络请求;(官方建议)
  • 添加订阅消息(会在componentWillUnmount取消订阅);

如果在 componentDidMount 中调用 setState ,就会触发一次额外的渲染,多调用了一次 render 函数,由于它是在浏览器刷新屏幕前执行的,所以用户对此是没有感知的,但是我应当避免这样使用,这样会带来一定的性能问题,尽量是在 constructor 中初始化 state 对象。

在组件装载之后,将计数数字变为1:

class App extends React.Component  {
  constructor(props) {
    super(props)
    this.state = {
      counter: 0
    }
  }
  componentDidMount () {
    this.setState({
      counter: 1
    })
  }
  render ()  {
    return (
      <div className="counter">
        counter值: { this.state.counter }      </div>
    )
  }
}

2)组件更新阶段

当组件的 props 改变了,或组件内部调用了 setState/forceUpdate,会触发更新重新渲染,这个过程可能会发生多次。这个阶段会依次调用下面这些方法:

  • getDerivedStateFromProps
  • shouldComponentUpdate
  • render
  • getSnapshotBeforeUpdate
  • componentDidUpdate
(1)shouldComponentUpdate
shouldComponentUpdate(nextProps, nextState)

在说这个生命周期函数之前,来看两个问题:

  • setState 函数在任何情况下都会导致组件重新渲染吗?例如下面这种情况:
this.setState({number: this.state.number})

  • 如果没有调用 setState,props 值也没有变化,是不是组件就不会重新渲染?

第一个问题答案是 ,第二个问题如果是父组件重新渲染时,不管传入的 props 有没有变化,都会引起子组件的重新渲染。

那么有没有什么方法解决在这两个场景下不让组件重新渲染进而提升性能呢?这个时候 shouldComponentUpdate 登场了,这个生命周期函数是用来提升速度的,它是在重新渲染组件开始前触发的,默认返回 true,可以比较 this.propsnextPropsthis.statenextState 值是否变化,来确认返回 true 或者 false。当返回 false 时,组件的更新过程停止,后续的 rendercomponentDidUpdate 也不会被调用。

注意: 添加 shouldComponentUpdate 方法时,不建议使用深度相等检查(如使用 JSON.stringify()),因为深比较效率很低,可能会比重新渲染组件效率还低。而且该方法维护比较困难,建议使用该方法会产生明显的性能提升时使用。

(2)getSnapshotBeforeUpdate
getSnapshotBeforeUpdate(prevProps, prevState)

这个方法在 render 之后,componentDidUpdate 之前调用,有两个参数 prevPropsprevState,表示更新之前的 propsstate,这个函数必须要和 componentDidUpdate 一起使用,并且要有一个返回值,默认是 null,这个返回值作为第三个参数传给 componentDidUpdate

(3)componentDidUpdate

componentDidUpdate() 会在更新后会被立即调用,首次渲染不会执行此方法。 该阶段通常进行以下操作:

  • 当组件更新后,对 DOM 进行操作;
  • 如果你对更新前后的 props 进行了比较,也可以选择在此处进行网络请求;(例如,当 props 未发生变化时,则不会执行网络请求)。
componentDidUpdate(prevProps, prevState, snapshot){}

该方法有三个参数:

  • prevProps: 更新前的props
  • prevState: 更新前的state
  • snapshot: getSnapshotBeforeUpdate()生命周期的返回值

3)组件卸载阶段

卸载阶段只有一个生命周期函数,componentWillUnmount() 会在组件卸载及销毁之前直接调用。在此方法中执行必要的清理操作:

  • 清除 timer,取消网络请求或清除
  • 取消在 componentDidMount() 中创建的订阅等;

这个生命周期在一个组件被卸载和销毁之前被调用,因此你不应该再这个方法中使用 setState,因为组件一旦被卸载,就不会再装载,也就不会重新渲染。

4)错误处理阶段

componentDidCatch(error, info),此生命周期在后代组件抛出错误后被调用。 它接收两个参数∶

  • error:抛出的错误。
  • info:带有 componentStack key 的对象,其中包含有关组件引发错误的栈信息

React常见的生命周期如下: React常见生命周期的过程大致如下:

  • 挂载阶段,首先执行constructor构造方法,来创建组件
  • 创建完成之后,就会执行render方法,该方法会返回需要渲染的内容
  • 随后,React会将需要渲染的内容挂载到DOM树上
  • 挂载完成之后就会执行componentDidMount生命周期函数
  • 如果我们给组件创建一个props(用于组件通信)、调用setState(更改state中的数据)、调用forceUpdate(强制更新组件)时,都会重新调用render函数
  • render函数重新执行之后,就会重新进行DOM树的挂载
  • 挂载完成之后就会执行componentDidUpdate生命周期函数
  • 当移除组件时,就会执行componentWillUnmount生命周期函数

React主要生命周期总结:

  1. getDefaultProps:这个函数会在组件创建之前被调用一次(有且仅有一次),它被用来初始化组件的 Props;
  2. getInitialState:用于初始化组件的 state 值;
  3. componentWillMount:在组件创建后、render 之前,会走到 componentWillMount 阶段。这个阶段我个人一直没用过、非常鸡肋。后来React 官方已经不推荐大家在 componentWillMount 里做任何事情、到现在 React16 直接废弃了这个生命周期,足见其鸡肋程度了;
  4. render:这是所有生命周期中唯一一个你必须要实现的方法。一般来说需要返回一个 jsx 元素,这时 React 会根据 props 和 state 来把组件渲染到界面上;不过有时,你可能不想渲染任何东西,这种情况下让它返回 null 或者 false 即可;
  5. componentDidMount:会在组件挂载后(插入 DOM 树中后)立即调用,标志着组件挂载完成。一些操作如果依赖获取到 DOM 节点信息,我们就会放在这个阶段来做。此外,这还是 React 官方推荐的发起 ajax 请求的时机。该方法和 componentWillMount 一样,有且仅有一次调用。

参考 前端进阶面试题详细解答

对React SSR的理解

服务端渲染是数据与模版组成的html,即 HTML = 数据 + 模版。将组件或页面通过服务器生成html字符串,再发送到浏览器,最后将静态标记"混合"为客户端上完全交互的应用程序。页面没使用服务渲染,当请求页面时,返回的body里为空,之后执行js将html结构注入到body里,结合css显示出来;

SSR的优势:

  • 对SEO友好
  • 所有的模版、图片等资源都存在服务器端
  • 一个html返回所有数据
  • 减少HTTP请求
  • 响应快、用户体验好、首屏渲染快

1)更利于SEO

不同爬虫工作原理类似,只会爬取源码,不会执行网站的任何脚本使用了React或者其它MVVM框架之后,页面大多数DOM元素都是在客户端根据js动态生成,可供爬虫抓取分析的内容大大减少。另外,浏览器爬虫不会等待我们的数据完成之后再去抓取页面数据。服务端渲染返回给客户端的是已经获取了异步数据并执行JavaScript脚本的最终HTML,网络爬中就可以抓取到完整页面的信息。

2)更利于首屏渲染

首屏的渲染是node发送过来的html字符串,并不依赖于js文件了,这就会使用户更快的看到页面的内容。尤其是针对大型单页应用,打包后文件体积比较大,普通客户端渲染加载所有所需文件时间较长,首页就会有一个很长的白屏等待时间。

SSR的局限:

1)服务端压力较大

本来是通过客户端完成渲染,现在统一到服务端node服务去做。尤其是高并发访问的情况,会大量占用服务端CPU资源;

2)开发条件受限

在服务端渲染中,只会执行到componentDidMount之前的生命周期钩子,因此项目引用的第三方的库也不可用其它生命周期钩子,这对引用库的选择产生了很大的限制;

3)学习成本相对较高 除了对webpack、MVVM框架要熟悉,还需要掌握node、 Koa2等相关技术。相对于客户端渲染,项目构建、部署过程更加复杂。

时间耗时比较:

1)数据请求

由服务端请求首屏数据,而不是客户端请求首屏数据,这是"快"的一个主要原因。服务端在内网进行请求,数据响应速度快。客户端在不同网络环境进行数据请求,且外网http请求开销大,导致时间差

  • 客户端数据请求

  • 服务端数据请求

    2)html渲染 服务端渲染是先向后端服务器请求数据,然后生成完整首屏 html返回给浏览器;而客户端渲染是等js代码下载、加载、解析完成后再请求数据渲染,等待的过程页面是什么都没有的,就是用户看到的白屏。就是服务端渲染不需要等待js代码下载完成并请求数据,就可以返回一个已有完整数据的首屏页面。

  • 非ssr html渲染

  • ssr html渲染

展示组件(Presentational component)和容器组件(Container component)之间有何不同

展示组件关心组件看起来是什么。展示专门通过 props 接受数据和回调,并且几乎不会有自身的状态,但当展示组件拥有自身的状态时,通常也只关心 UI 状态而不是数据的状态。

容器组件则更关心组件是如何运作的。容器组件会为展示组件或者其它容器组件提供数据和行为(behavior),它们会调用 Flux actions,并将其作为回调提供给展示组件。容器组件经常是有状态的,因为它们是(其它组件的)数据源。

React的虚拟DOM和Diff算法的内部实现

传统 diff 算法的时间复杂度是 O(n^3),这在前端 render 中是不可接受的。为了降低时间复杂度,react 的 diff 算法做了一些妥协,放弃了最优解,最终将时间复杂度降低到了 O(n)。

那么 react diff 算法做了哪些妥协呢?,参考如下:

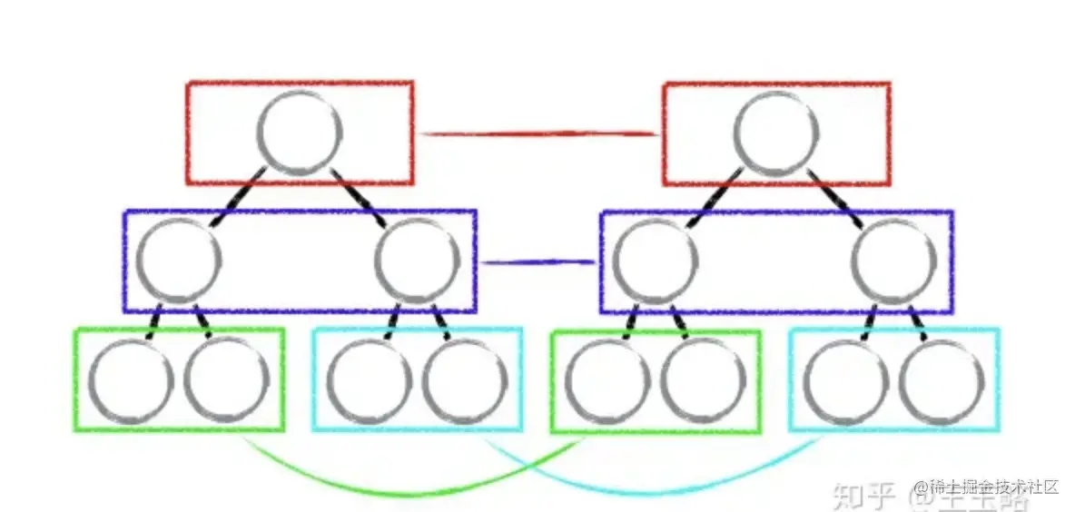
  1. tree diff:只对比同一层的 dom 节点,忽略 dom 节点的跨层级移动

如下图,react 只会对相同颜色方框内的 DOM 节点进行比较,即同一个父节点下的所有子节点。当发现节点不存在时,则该节点及其子节点会被完全删除掉,不会用于进一步的比较。

这样只需要对树进行一次遍历,便能完成整个 DOM 树的比较。

image-20210302195610674

这就意味着,如果 dom 节点发生了跨层级移动,react 会删除旧的节点,生成新的节点,而不会复用。

  1. component diff:如果不是同一类型的组件,会删除旧的组件,创建新的组件

image-20210302195654736

  1. element diff:对于同一层级的一组子节点,需要通过唯一 id 进行来区分
  • 如果没有 id 来进行区分,一旦有插入动作,会导致插入位置之后的列表全部重新渲染
  • 这也是为什么渲染列表时为什么要使用唯一的 key。

**

React 与 Vue 的 diff 算法有何不同?

diff 算法是指生成更新补丁的方式,主要应用于虚拟 DOM 树变化后,更新真实 DOM。所以 diff 算法一定存在这样一个过程:触发更新 → 生成补丁 → 应用补丁。

React 的 diff 算法,触发更新的时机主要在 state 变化与 hooks 调用之后。此时触发虚拟 DOM 树变更遍历,采用了深度优先遍历算法。但传统的遍历方式,效率较低。为了优化效率,使用了分治的方式。将单一节点比对转化为了 3 种类型节点的比对,分别是树、组件及元素,以此提升效率。

  • 树比对:由于网页视图中较少有跨层级节点移动,两株虚拟 DOM 树只对同一层次的节点进行比较。
  • 组件比对:如果组件是同一类型,则进行树比对,如果不是,则直接放入到补丁中。
  • 元素比对:主要发生在同层级中,通过标记节点操作生成补丁,节点操作对应真实的 DOM 剪裁操作。

以上是经典的 React diff 算法内容。自 React 16 起,引入了 Fiber 架构。为了使整个更新过程可随时暂停恢复,节点与树分别采用了 FiberNode 与 FiberTree 进行重构。fiberNode 使用了双链表的结构,可以直接找到兄弟节点与子节点。整个更新过程由 current 与 workInProgress 两株树双缓冲完成。workInProgress 更新完成后,再通过修改 current 相关指针指向新节点。

Vue 的整体 diff 策略与 React 对齐,虽然缺乏时间切片能力,但这并不意味着 Vue 的性能更差,因为在 Vue 3 初期引入过,后期因为收益不高移除掉了。除了高帧率动画,在 Vue 中其他的场景几乎都可以使用防抖和节流去提高响应性能。

类组件和函数组件有何不同?

解答

在 React 16.8版本(引入钩子)之前,使用基于类的组件来创建需要维护内部状态或利用生命周期方法的组件(即componentDidMountshouldComponentUpdate)。基于类的组件是 ES6 类,它扩展了 React 的 Component 类,并且至少实现了render()方法。

类组件:

class Welcome extends React.Component {
  render() {
    return <h1>Hello, {this.props.name}</h1>;
  }
}

函数组件是无状态的(同样,小于 React 16.8版本),并返回要呈现的输出。它们渲染 UI 的首选只依赖于属性,因为它们比基于类的组件更简单、更具性能。

函数组件:

function Welcome(props) {
  return <h1>Hello, {props.name}</h1>;
}

注意:在 React 16.8版本中引入钩子意味着这些区别不再适用(请参阅14和15题)。

react 父子传值

父传子——在调用子组件上绑定,子组件中获取this.props
子传父——引用子组件的时候传过去一个方法,子组件通过this.props.methed()传过去参数

connection

React- Router有几种形式?

有以下几种形式。 HashRouter,通过散列实现,路由要带#。 BrowerRouter,利用HTML5中 history API实现,需要服务器端支持,兼容性不是很好。

什么是上下文Context

Context 通过组件树提供了一个传递数据的方法,从而避免了在每一个层级手动的传递 props 属性。

  • 用法:在父组件上定义getChildContext方法,返回一个对象,然后它的子组件就可以通过this.context属性来获取
import React,{Component} from 'react';
import ReactDOM from 'react-dom';
import PropTypes from 'prop-types';
class Header extends Component{
    render() {
        return (
            <div>
                <Title/>
            </div>
        )
    }
}
class Title extends Component{
    static contextTypes={
        color:PropTypes.string
    }
    render() {
        return (
            <div style={{color:this.context.color}}>
                Title
            </div>
        )
    }
}
class Main extends Component{
    render() {
        return (
            <div>
                <Content>
                </Content>
            </div>
        )
    }
}
class Content extends Component{
    static contextTypes={
        color: PropTypes.string,
        changeColor:PropTypes.func
    }
    render() {
        return (
            <div style={{color:this.context.color}}>
                Content
                <button onClick={()=>this.context.changeColor('green')}>绿色</button>
                <button onClick={()=>this.context.changeColor('orange')}>橙色</button>
            </div>
        )
    }
}
class Page extends Component{
    constructor() {
        super();
        this.state={color:'red'};
    }
    static childContextTypes={
        color: PropTypes.string,
        changeColor:PropTypes.func
    }
    getChildContext() {
        return {
            color: this.state.color,
            changeColor:(color)=>{
                this.setState({color})
            }
        }
    }
    render() {
        return (
            <div>
                <Header/>
                <Main/>
            </div>
        )
    }
}
ReactDOM.render(<Page/>,document.querySelector('#root'));

React Hooks 和生命周期的关系?

函数组件 的本质是函数,没有 state 的概念的,因此不存在生命周期一说,仅仅是一个 render 函数而已。 但是引入 Hooks 之后就变得不同了,它能让组件在不使用 class 的情况下拥有 state,所以就有了生命周期的概念,所谓的生命周期其实就是 useStateuseEffect()useLayoutEffect()

即:Hooks 组件(使用了Hooks的函数组件)有生命周期,而函数组件(未使用Hooks的函数组件)是没有生命周期的

下面是具体的 class 与 Hooks 的生命周期对应关系

  • constructor:函数组件不需要构造函数,可以通过调用 **useState 来初始化 state**。如果计算的代价比较昂贵,也可以传一个函数给 useState
const [num, UpdateNum] = useState(0)

  • getDerivedStateFromProps:一般情况下,我们不需要使用它,可以在渲染过程中更新 state,以达到实现 getDerivedStateFromProps 的目的。
function ScrollView({row}) {
  let [isScrollingDown, setIsScrollingDown] = useState(false);
  let [prevRow, setPrevRow] = useState(null);
  if (row !== prevRow) {
    // Row 自上次渲染以来发生过改变。更新 isScrollingDown。
    setIsScrollingDown(prevRow !== null && row > prevRow);
    setPrevRow(row);
  }
  return `Scrolling down: ${isScrollingDown}`;
}

React 会立即退出第一次渲染并用更新后的 state 重新运行组件以避免耗费太多性能。

  • shouldComponentUpdate:可以用 **React.memo** 包裹一个组件来对它的 props 进行浅比较
const Button = React.memo((props) => {  // 具体的组件});

注意:**React.memo 等效于 **``**PureComponent**,它只浅比较 props。这里也可以使用 useMemo 优化每一个节点。

  • render:这是函数组件体本身。
  • componentDidMount, componentDidUpdateuseLayoutEffect 与它们两的调用阶段是一样的。但是,我们推荐你一开始先用 useEffect,只有当它出问题的时候再尝试使用 useLayoutEffectuseEffect 可以表达所有这些的组合。
// componentDidMount
useEffect(()=>{
  // 需要在 componentDidMount 执行的内容
}, [])
useEffect(() => { 
  // 在 componentDidMount,以及 count 更改时 componentDidUpdate 执行的内容
  document.title = `You clicked ${count} times`; 
  return () => {
    // 需要在 count 更改时 componentDidUpdate(先于 document.title = ... 执行,遵守先清理后更新)
    // 以及 componentWillUnmount 执行的内容       
  } // 当函数中 Cleanup 函数会按照在代码中定义的顺序先后执行,与函数本身的特性无关
}, [count]); // 仅在 count 更改时更新

请记得 React 会等待浏览器完成画面渲染之后才会延迟调用 ,因此会使得额外操作很方便

  • componentWillUnmount:相当于 useEffect 里面返回的 cleanup 函数
// componentDidMount/componentWillUnmount
useEffect(()=>{
  // 需要在 componentDidMount 执行的内容
  return function cleanup() {
    // 需要在 componentWillUnmount 执行的内容      
  }
}, [])

  • componentDidCatch and getDerivedStateFromError:目前还没有这些方法的 Hook 等价写法,但很快会加上。
class 组件Hooks 组件
constructoruseState
getDerivedStateFromPropsuseState 里面 update 函数
shouldComponentUpdateuseMemo
render函数本身
componentDidMountuseEffect
componentDidUpdateuseEffect
componentWillUnmountuseEffect 里面返回的函数
componentDidCatch
getDerivedStateFromError

React组件命名推荐的方式是哪个?

通过引用而不是使用来命名组件displayName。

使用displayName命名组件:

export default React.createClass({  displayName: 'TodoApp',  // ...})

React推荐的方法:

export default class TodoApp extends React.Component {  // ...}

React和vue.js的相似性和差异性是什么?

相似性如下。 (1)都是用于创建UI的 JavaScript库。 (2)都是快速和轻量级的代码库(这里指 React核心库)。 (3)都有基于组件的架构。 (4)都使用虚拟DOM。 (5)都可以放在单独的HTML文件中,或者放在 Webpack设置的一个更复杂的模块中。 (6)都有独立但常用的路由器和状态管理库。 它们最大的区别在于 Vue. js通常使用HTML模板文件,而 React完全使用 JavaScript创建虚拟DOM。 Vue. js还具有对于“可变状态”的“ reactivity”的重新渲染的自动化检测系统。

redux中间件

中间件提供第三方插件的模式,自定义拦截 action -> reducer 的过程。变为 action -> middlewares -> reducer。这种机制可以让我们改变数据流,实现如异步actionaction 过滤,日志输出,异常报告等功能

  • redux-logger:提供日志输出
  • redux-thunk:处理异步操作
  • redux-promise:处理异步操作,actionCreator的返回值是promise

React中的props为什么是只读的?

this.props是组件之间沟通的一个接口,原则上来讲,它只能从父组件流向子组件。React具有浓重的函数式编程的思想。

提到函数式编程就要提一个概念:纯函数。它有几个特点:

  • 给定相同的输入,总是返回相同的输出。
  • 过程没有副作用。
  • 不依赖外部状态。

this.props就是汲取了纯函数的思想。props的不可以变性就保证的相同的输入,页面显示的内容是一样的,并且不会产生副作用

React-Router 4怎样在路由变化时重新渲染同一个组件?

当路由变化时,即组件的props发生了变化,会调用componentWillReceiveProps等生命周期钩子。那需要做的只是: 当路由改变时,根据路由,也去请求数据:

class NewsList extends Component {
  componentDidMount () {
     this.fetchData(this.props.location);
  }

  fetchData(location) {
    const type = location.pathname.replace('/', '') || 'top'
    this.props.dispatch(fetchListData(type))
  }
  componentWillReceiveProps(nextProps) {
     if (nextProps.location.pathname != this.props.location.pathname) {
         this.fetchData(nextProps.location);
     } 
  }
  render () {
    ...
  }
}

利用生命周期componentWillReceiveProps,进行重新render的预处理操作。