高并发场景下常见的限流算法及方案介绍

3,440 阅读6分钟

作者:京东科技 康志兴

应用场景

现代互联网很多业务场景,比如秒杀、下单、查询商品详情,最大特点就是高并发,而往往我们的系统不能承受这么大的流量,继而产生了很多的应对措施:CDN、消息队列、多级缓存、异地多活。

但是无论如何优化,终究由硬件的物理特性决定了我们系统性能的上限,如果强行接收所有请求,往往造成雪崩。

这时候限流熔断就发挥作用了,限制请求数,快速失败,保证系统满负载又不超限。

极致的优化,就是将硬件使用率提高到100%,但永远不会超过100%

常用限流算法

1. 计数器

直接计数,简单暴力,举个例子:

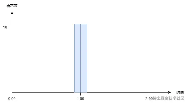
比如限流设定为1小时内10次,那么每次收到请求就计数加一,并判断这一小时内计数是否大于上限10,没超过上限就返回成功,否则返回失败。

这个算法的缺点就是在时间临界点会有较大瞬间流量。

继续上面的例子,理想状态下,请求匀速进入,系统匀速处理请求:

image.png

但实际情况中,请求往往不是匀速进入,假设第n小时59分59秒的时候突然进入10个请求,全部请求成功,到达下一个时间区间时刷新计数。那么第n+1小时刚开始又打进10个请求,等于瞬间进入20个请求,肯定不符合“1小时10次”的规则,这种现象叫做“突刺现象”。

image.png

为解决这个问题,计数器算法经过优化后,产生了滑动窗口算法:

我们将时间间隔均匀分隔,比如将一分钟分为6个10秒,每一个10秒内单独计数,总的数量限制为这6个10秒的总和,我们把这6个10秒成为“窗口”。

那么每过10秒,窗口往前滑动一步,数量限制变为新的6个10秒的总和,如图所示:

image.png

那么如果在临界时,收到10个请求(图中灰色格子),在下一个时间段来临时,橙色部分又进入10个请求,但窗口内包含灰色部分,所以已经到达请求上线,不再接收新的请求。

这就是滑动窗口算法。

但是滑动窗口仍然有缺陷,为了保证匀速,我们要划分尽可能多的格子,而格子越多,每一个格子能够接收的请求数就越少,这样就限制了系统瞬间处理能力。

2. 漏桶

image.png

漏桶算法其实也很简单,假设我们有一个固定容量的桶,流速(系统处理能力)固定,如果一段时间水龙头水流太大,水就溢出了(请求被抛弃了)。

用编程的语言来说,每次请求进来都放入一个先进先出的队列中,队列满了,则直接返回失败。另外有一个线程池固定间隔不断地从这个队列中拉取请求。

消息队列、jdk的线程池,都有类似的设计。

3. 令牌桶

令牌桶算法比漏桶算法稍显复杂。

首先,我们有一个固定容量的桶,桶里存放着令牌(token)。桶一开始是空的,token以一个固定的速率往桶里填充,直到达到桶的容量,多余的令牌将会被丢弃。每当一个请求过来时,就会尝试从桶里移除一个令牌,如果没有令牌的话,请求无法通过。

image.png

漏桶和令牌桶算法的区别:

漏桶的特点是消费能力固定,当请求量超出消费能力时,提供一定的冗余能力,把请求缓存下来匀速消费。优点是对下游保护更好。

令牌桶遇到激增流量会更从容,只要存在令牌,则可以一并消费掉。适合有突发特征的流量,如秒杀场景。

限流方案

一、容器限流

1. Tomcat

tomcat能够配置连接器的最大线程数属性,该属性maxThreads是Tomcat的最大线程数,当请求的并发大于maxThreads时,请求就会排队执行(排队数设置:accept-count),这样就完成了限流的目的。

<Connector port="8080" protocol="HTTP/1.1"
          connectionTimeout="20000"
          maxThreads="150"
          redirectPort="8443" />

2. Nginx

Nginx 提供了两种限流手段:一是控制速率,二是控制并发连接数。

  • 控制速率

    我们需要使用 limit_req_zone配置来限制单位时间内的请求数,即速率限制,示例配置如下:

    limit_req_zone $binary_remote_addr zone=mylimit:10m rate=2r/s;
    

    第一个参数:$binary_remote_addr 表示通过remote_addr这个标识来做限制,“binary_”的目的是缩写内存占用量,是限制同一客户端ip地址。

    第二个参数:zone=mylimit:10m表示生成一个大小为10M,名字为one的内存区域,用来存储访问的频次信息。

    第三个参数:rate=2r/s表示允许相同标识的客户端的访问频次,这里限制的是每秒2次,还可以有比如30r/m的。

  • 并发连接数

    利用 limit_conn_zone 和 limit_conn 两个指令即可控制并发数,示例配置如下

    limit_conn_zone $binary_remote_addr zone=perip:10m;
    limit_conn_zone $server_name zone=perserver:10m;
    server {   
        ...
        limit_conn perip 10; # 限制同一个客户端ip
        limit_conn perserver 100;
    }
    

只有当 request header 被后端处理后,这个连接才进行计数

二、服务端限流

1. Semaphore

JUC包中提供的信号量工具,它的内部维护了一个同步队列,我们可以在每个请求进来的时候,尝试获取信号量,获取不到可以阻塞或者快速失败

简单样例:

Semaphore sp = new Semaphore(3);
sp.require(); // 阻塞获取
System.out.println("执行业务逻辑");
sp.release();

2. RateLimiter

Guava中基于令牌桶实现的一个限流工具,使用非常简单,通过方法create()创建一个桶,然后通过acquire()或者tryAcquire()获取令牌:

RateLimiter rateLimiter = RateLimiter.create(5); // 初始化令牌桶,每秒往桶里存放5个令牌
rateLimiter.acquire(); // 自旋阻塞获取令牌,返回阻塞的时间,单位为秒
rateLimiter.tryAcquire(); // 获取令牌,返回布尔结果,超过超时时间(默认为0,单位为毫秒)则返回失败

RateLimiter在实现时,允许暴增请求的突发情况存在。

举个例子,我们有一个速率为每秒5个令牌的RateLimiter:

当令牌桶空了的时候,如果继续获取一个令牌,那么会在下一次补充令牌的时候返回结果

但如果直接获取5个令牌,并不是等待桶内补齐5个令牌后再返回,而是仍旧会在令牌桶补充下一个令牌的时候直接返回,而预支令牌所需的补充时间会在下一次请求时进行补偿

public void testSmoothBursty() {
    RateLimiter r = RateLimiter.create(5);
    for (int i = 0; i++ < 2; ) {       
        System.out.println("get 5 tokens: " + r.acquire(5) + "s");
        System.out.println("get 1 tokens: " + r.acquire(1) + "s");
        System.out.println("get 1 tokens: " + r.acquire(1) + "s");
        System.out.println("get 1 tokens: " + r.acquire(1) + "s");
        System.out.println("end");
    }
}

/**
* 控制台输出
* get 5 tokens: 0.0s	  初始化时桶是空的,直接从空桶获取5个令牌
* get 1 tokens: 0.998068s 滞后效应,需要替前一个请求进行等待
* get 1 tokens: 0.196288s
* get 1 tokens: 0.200391s
* end
* get 5 tokens: 0.195756s
* get 1 tokens: 0.995625s 滞后效应,需要替前一个请求进行等待
* get 1 tokens: 0.194603s
* get 1 tokens: 0.196866s
* end
*/

3. Hystrix

Netflix开源的熔断组件,支持两种资源隔离策略:THREAD(默认)或者SEMAPHORE

  • 线程池:每个command运行在一个线程中,限流是通过线程池的大小来控制的
  • 信号量:command是运行在调用线程中,但是通过信号量的容量来进行限流

线程池策略对每一个资源创建一个线程池以进行流量管控,优点是资源隔离彻底,缺点是容易造成资源碎片化。

使用样例:

// HelloWorldHystrixCommand要使用Hystrix功能 
public class HelloWorldHystrixCommand extends HystrixCommand {  
    private final String name; 
    public HelloWorldHystrixCommand(String name) {   
        super(HystrixCommandGroupKey.Factory.asKey("ExampleGroup"));     
        this.name = name; 
    } 
    // 如果继承的是HystrixObservableCommand,要重写Observable construct() 
    @Override 
    protected String run() {     
        return "Hello " + name; 
    } 
} 

调用该command:

String result = new HelloWorldHystrixCommand("HLX").execute();
System.out.println(result);  // 打印出Hello HLX 

Hystrix已经在2018年停止开发,官方推荐替代项目Resilience4j

更多使用介绍可查看:Hystrix熔断器的使用

4. Sentinel

阿里开源的限流熔断组件,底层统计采用滑动窗口算法,限流方面有两种使用方式:API调用和注解,内部采插槽链来统计和执行校验规则。

通过为方法增加注解@SentinelResource(String name)或者手动调用SphU.entry(String name)方法开启流控。

使用API手动调用流控示例:

@Test
public void testRule() {
    // 配置规则.
    initFlowRules();
    int count = 0;
    while (true) {
        try (Entry entry = SphU.entry("HelloWorld")) {
            // 被保护的逻辑
            System.out.println("run " + ++count + " times");
        } catch (BlockException ex) {
            // 处理被流控的逻辑
            System.out.println("blocked after " + count);
            break;
        }
    }
}

// 输出结果:
// run 1 times
// run 2 times
// run 3 times

关于Sentinel的详细介绍可查看:Sentinel-分布式系统的流量哨兵

三、分布式下限流方案

线上环境下,如果对共用资源(如数据库、下游服务)做统一流量限制,那么单机限流显然不能满足,而需要分布式流控方案。

分布式限流主要采取中心系统流量管控的方案,由一个中心系统统一管控流量配额。

这种方案的缺点就是中心系统的可靠性,所以一般需要备用方案,在中心系统不可用时,退化为单机流控。

1. Tair通过incr方法实现简单窗口

实现方式是使用incr()自增方法来计数并与阈值进行大小比较。

public boolean tryAcquire(String key) {
    // 以秒为单位构建tair的key
    String wrappedKey = wrapKey(key);
    // 每次请求+1,初始值为0key的有效期设置5s
    Result<Integer> result = tairManager.incr(NAMESPACE, wrappedKey, 1, 0, 5);
    return result.isSuccess() && result.getValue() <= threshold;
}

private String wrapKey(String key) {
    long sec = System.currentTimeMillis() / 1000L;
    return key + ":" + sec;
}

【备注】incr方法的参数说明

// 方法定义:
Result incr(int namespace, Serializable key, int value, int defaultValue, int expireTime)

/* 参数含义:
namespace - 申请时分配的 namespace
key - key 列表,不超过 1k
value - 增加量
defaultValue - 第一次调用 incr 时的 key 的 count 初始值,第一次返回的值为 defaultValue + value。
expireTime - 数据过期时间,单位为秒,可设相对时间或绝对时间(Unix 时间戳)。
*/

2. Redis通过lua脚本实现简单窗口

与Tair实现方式类似,不过redis的incr()方法不能原子性的设置过期时间,所以需要使用lua脚本,在第一次调用返回1时,设置下过期时间为1秒。

local current
current = redis.call("incr",KEYS[1])
if tonumber(current) == 1 then 
    redis.call("expire",KEYS[1],1)
end
return current

3. Redis通过lua脚本实现令牌桶

实现思路是获取令牌后,用SET记录“请求时间”和“剩余token数量”。

每次请求令牌时,通过这两个参数和请求的时间、流速等参数进行计算,返回是否获取令牌成功。

获取令牌lua脚本:

local ratelimit_info = redis.pcall('HMGET',KEYS[1],'last_time','current_token')
local last_time = ratelimit_info[1]
local current_token = tonumber(ratelimit_info[2])
local max_token = tonumber(ARGV[1])
local token_rate = tonumber(ARGV[2])
local current_time = tonumber(ARGV[3])
local reverse_time = 1000/token_rate

if current_token == nil then
  current_token = max_token
  last_time = current_time
else
  local past_time = current_time-last_time
  local reverse_token = math.floor(past_time/reverse_time)
  current_token = current_token+reverse_token
  last_time = reverse_time*reverse_token+last_time
  if current_token>max_token then
    current_token = max_token
  end
end

local result = 0
if(current_token>0) then
  result = 1
  current_token = current_token-1
end 

redis.call('HMSET',KEYS[1],'last_time',last_time,'current_token',current_token)
redis.call('pexpire',KEYS[1],math.ceil(reverse_time*(max_token-current_token)+(current_time-last_time)))
return result

初始化令牌桶lua脚本:

local result=1
redis.pcall("HMSET",KEYS[1],"last_mill_second",ARGV[1],"curr_permits",ARGV[2],"max_burst",ARGV[3],"rate",ARGV[4])
return result