Linux

91 阅读19分钟

Linux

1. 前言

1.1 什么是Linux

image.png

Linux是一套免费使用和自由传播的操作系统。说到操作系统,大家比较熟知的应该就是Windows和MacOS操作系统,我们今天所学习的Linux也是一款操作系统。

1.2 为什么要学Linux

那么我们为什么要学习Linux呢,主要出于两个方面的原因。

1). 企业用人要求

为什么作为javaEE开发工程师,企业还要求我们会Linux操作系统的相关知识呢?

这是因为Linux操作系统提供了很多稳定的发行版本,广泛的应用在我们的各种服务器操作系统领域,我们将来开发出来的项目,最终要上线运行,就需要将项目部署在Linux服务器中。

2). 个人发展需要

image.png 我们作为javaEE开发工程师,将来在企业中开发时会涉及到很多的数据库、中间件等技术,比如MySQL、Redis、MQ等技术,而这些应用软件大多都是需要安装在Linux系统中使用的。我们做为开发人员,是需要通过远程工具连接Linux操作系统,然后来操作这些软件的。而且一些小公司,可能还需要我们自己在服务器上安装这些软件。

所以,不管从企业的用人需求层面,还是个人发展需要层面来讲,我们作为服务端开发工程师,Linux的基本使用是我们必不可少的技能。

1.3 学完Linux能干什么

学习完Linux操作系统课程之后,我们可以做以下几个方面的事情:

image.png 1). 环境搭建

系统安装 : 一般我们不会直接将Linux系统安装在本机电脑上,而会安装在公司的一台专门的服务器上。

远程连接 : 那么我们要想使用服务器,一般都是通过远程连接工具连接Linux系统进行操作。

2). 常用命令

连接上服务器之后,我们可以通过所学习的相关指令, 来操作Linux服务器,在Linux服务器中可以执行如下操作:

A. 文件、目录的基本操作(查看,删除,创建等)

B. 文件及文件夹的拷贝、移动、重命名

C. 文件的打包、压缩、解压缩操作

D. 文本的编辑

3). 安装软件

基本的常用指令学会操作之后,我们可以在Linux服务器中安装我们开发常用的软件,比如: JDK、Tomcat、MySQL的安装及配置。

4). 项目部署

把基础的软件及环境安装配置好之后,我们就可以将我们开发的项目部署在服务器中进行运行并测试。

对于我们学习Linux操作系统时,Linux命令是基础,也是学习Linux系统的重点内容,虽然Linux的指令有很多,但是我们常用的指令并不多,大家在学习的时候,主要掌握这部分常用的指令就可以了,对于其他的指令,以后我们用到的时候,知道怎么查询即可。

对于Linux的常用指令的学习,最好的学习方法就是:多敲

2. Linux简介

2.1 主流操作系统

不同领域的主流操作系统,主要分为以下这么几类: 桌面操作系统、服务器操作系统、移动设备操作系统、嵌入式操作系统。接下来,这几个领域中,代表性的操作系统是那些?

1). 桌面操作系统

操作系统特点
Windows用户数量最多
MacOS操作体验好,办公人士首选
Linux用户数量少(桌面操作系统,Linux使用较少)

2). 服务器操作系统

操作系统特点
Unix安全、稳定、付费
Linux安全、稳定、免费、占有率高
Windows Server付费、占有率低

3). 移动设备操作系统

操作系统特点
Android基于 Linux 、开源,主要用于智能手机、平板电脑和智能电视
IOS苹果公司开发、不开源,用于苹果公司的产品,例如:iPhone、 iPad

4). 嵌入式操作系统

操作系统特点
Linux机顶盒、路由器、交换机

2.2 Linux系统版本

Linux系统的版本分为两种,分别是: 内核版 和 发行版。

1). 内核版

  • 由Linus Torvalds及其团队开发、维护
  • 免费、开源
  • 负责控制硬件

2). 发行版

  • 基于Linux内核版进行扩展
  • 由各个Linux厂商开发、维护
  • 有收费版本和免费版本

我们使用Linux操作系统,实际上选择的是Linux的发行版本。在linux系统中,有各种各样的发行版本

image.png

除了上述罗列出来的发行版,还有很多Linux发行版,这里,我们就不再一一列举了。

3. Linux安装

3.1 安装方式介绍

Linux系统的安装方式,主要包含以下两种:

image.png

方式概述场景
物理机安装直接将操作系统安装到服务器硬件上企业开发中,我们使用的服务器基本都是采用这种方式
虚拟机安装通过虚拟机软件安装我们在学习阶段,没有自己服务器,而我们又需要学Linux,就可以安装在虚拟机上

虚拟机(Virtual Machine)指通过软件模拟的具有完整硬件系统功能、运行在完全隔离环境中的完整计算机系统。常用虚拟机软件:

  • VMWare
  • VirtualBox
  • VMLite WorkStation
  • Qemu
  • HopeddotVOS

那么我们就可以在课程中将Linux操作系统安装在虚拟机中,我们课上选择的虚拟机软件是VMware。

3.2 安装VMware

image.png

以上就是VMware在安装时的每一步操作,基本上就是点击 "下一步" 一直进行安装。

3.3 安装Linux

VMware虚拟机安装完毕之后,我们就可以打开VMware,并在上面来安装Linux操作系统。具体步骤如下:

1). 选择创建新的虚拟机

image.png

2). 选择"典型"配置

image.png

3). 选择"稍后安装操作系统(S)"

image.png

4). 选择"Linux"操作系统,"CentOS7 64位"版本

image.png

5). 设置虚拟机的名称及系统文件存放路径

image.png

6). 设置磁盘容量

image.png

7). 自定义硬件信息

image.png

8). 启动上述创建的新虚拟机

image.png

9). 选择"Install CentOS7"

image.png

进入到Linux系统里面, 我们发现光标无法移动到windows操作系统中了, 这个时候, 我们可以通过快捷键 "Ctrl+Alt" 切换光标到windows系统中。

10). 选择语言为 "简体中文"

11). 选择"自动配置分区"

image.png image.png

12). 选择"最小安装"

image.png

13). 设置"root"用户密码

image.png

安装完毕后,点击窗口中的蓝色的 "重启" 按钮,重启Linux系统。

14). 登录系统

image.png

注意 : 在Linux系统中,在命令行中输入密码信息,为了保证安全性,密码是不显示的(看似没有输入,实际已经输入了);

3.5 安装SSH连接工具

3.5.1 SSH连接工具介绍

Linux已经安装并且配置好了,接下来我们要来学习Linux的基本操作指令。而在学习之前,我们还需要做一件事情,由于我们企业开发时,Linux服务器一般都是在远程的机房部署的,我们要操作服务器,不会每次都跑到远程的机房里面操作,而是会直接通过SSH连接工具进行连接操作。

SSH(Secure Shell),建立在应用层基础上的安全协议。常用的SSH连接工具:

image.png

3.5.3 连接Linux

1). 打开finalShell

image.png

2). 建立连接

image.png

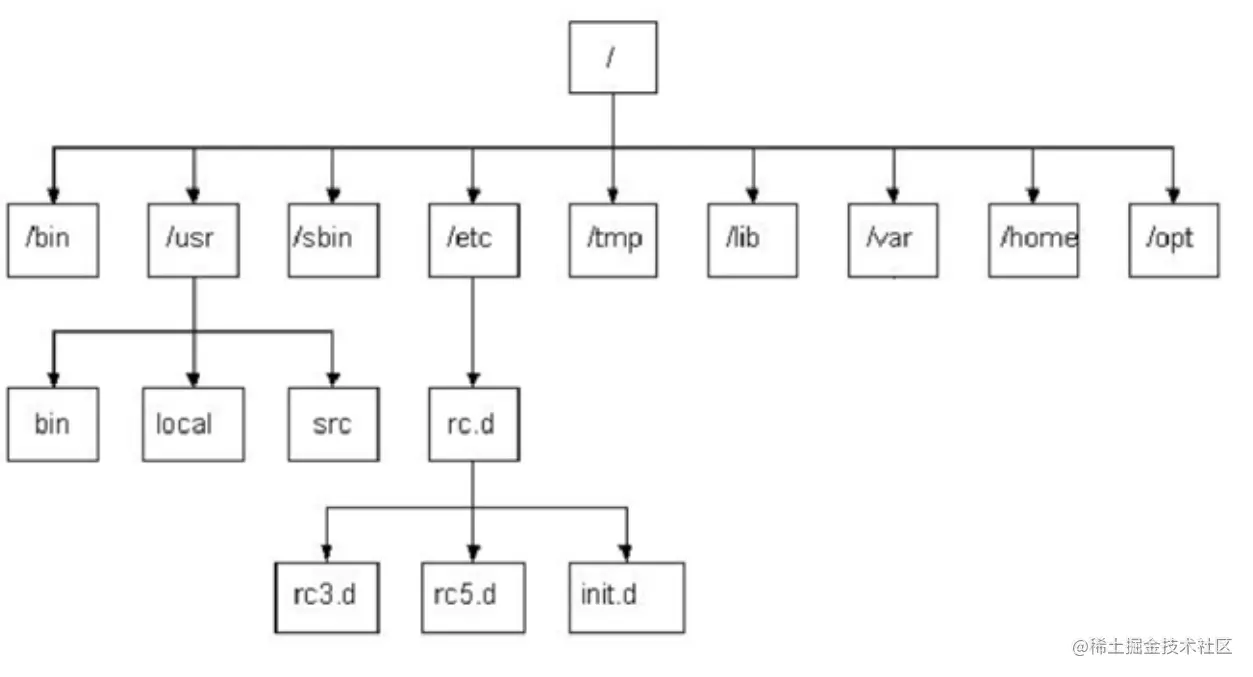
3.6 Linux目录结构

登录到Linux系统之后,我们需要先来熟悉一下Linux的目录结构。在Linux系统中,也是存在目录的概念的,但是Linux的目录结构和Windows的目录结构是存在比较多的差异的 在Windows目录下,是一个一个的盘符(C盘、D盘、E盘),目录是归属于某一个盘符的。Linux系统中的目录有以下特点:

A. / 是所有目录的顶点

B. 目录结构像一颗倒挂的树

Linux 和 Windows的目录结构对比:

image.png

Linux的目录结构,如下:

image.png

根目录/ 下各个目录的作用及含义说明:

编号目录含义
1/bin存放二进制可执行文件
2/boot存放系统引导时使用的各种文件
3/dev存放设备文件
4/etc存放系统配置文件
5/home存放系统用户的文件
6/lib存放程序运行所需的共享库和内核模块
7/opt额外安装的可选应用程序包所放置的位置
8/root超级用户目录
9/sbin存放二进制可执行文件,只有root用户才能访问
10/tmp存放临时文件
11/usr存放系统应用程序
12/var存放运行时需要改变数据的文件,例如日志文件

4. Linux常用命令

4.1 Linux命令初体验

4.1.1 常用命令演示

在这一部分中,我们主要介绍几个常用的命令,让大家快速感受以下Linux指令的操作方式。主要包含以下几个指令:

序号命令对应英文作用
1ls [目录名]list查看当前目录下的内容
2pwdprint work directory查看当前所在目录
3cd [目录名]change directory切换目录
4touch [文件名]touch如果文件不存在,创建文件
5mkdir [目录名]make directory创建目录
6rm [文件名]remove删除指定文件

接下来,我们快速的来演示一下这些常用的指令。

1). ls

image.png

指令解读:

ls 查看当前目录下的内容(文件及目录)

ls / 查看指定目录(/)下的内容

2). pwd

image.png

指令解读:

pwd 查看当前所在目录

3). cd

image.png

指令解读:

cd / 切换到根目录

cd /root 切换到/root目录

4). touch

image.png

指令解读:

touch 1.txt 创建文件1.txt

touch 2.txt 3.txt 4.txt 一次性创建文件2.txt,3.txt,3.txt

5). mkdir

image.png

指令解读:

mkdir 01 创建文件夹01

6). rm

image.png

指令解读:

rm 4.txt 删除文件 (删除文件时,需要确认,输入y, 代表确定)

==注意:==

image.png

==在执行Linux命令时,提示信息如果显示为乱码,如上图所示。这是由于编码问题导致,只需要修改Linux的编码即可,命令如下:==

echo 'LANG="en_US.UTF-8"' >> /etc/profile

source /etc/profile

4.1.2 Linux命令使用技巧

在我们使用Linux系统命令时,可以使用以下几个技巧:

1). Tab键自动补全

2). 连续两次Tab键,给出操作提示

3). 使用上下箭头快速调出曾经使用过的命令

4). 使用clear命令或者Ctrl+l快捷键实现清屏

操作示例:

A. 执行指令的时候,对于操作的文件/目录,按一下Tab会自动补全:

image.png

B. 如果上述以 "1." 开头的文件有多个,可以按两下Tab键,给出操作提示:

image.png

C. 使用clear命令或者Ctrl+l快捷键实现清屏

4.1.3 Linux命令格式

command [-options] [parameter]
    
说明: 
    command:     命令名
    [-options]:  选项,可用来对命令进行控制,也可以省略
    [parameter]: 传给命令的参数,可以是零个、一个或者多个
    
注意: 
    []   代表可选
    命令名、选项、参数之间有空格进行分隔

操作示例:

image.png

4.2 文件目录操作命令

4.2.1 ls

作用: 显示指定目录下的内容
语法: ls [-al] [dir]
说明: 
    -a 显示所有文件及目录 (. 开头的隐藏文件也会列出)
    -l 除文件名称外,同时将文件型态(d表示目录,-表示文件)、权限、拥有者、文件大小等信息详细列出
    
注意: 
    由于我们使用ls命令时经常需要加入-l选项,所以Linux为ls -l命令提供了一种简写方式,即ll
    
常见用法: 
    ls -al  查看当前目录的所有文件及目录详细信息
    ls -al /etc   查看/etc目录下所有文件及目录详细信息
    ll      查看当前目录文件及目录的详细信息 

操作示例:

image.png

image.png

image.png

image.png

4.2.2 cd

作用: 用于切换当前工作目录,即进入指定目录
语法: cd [dirName]
    
特殊说明: 
    ~   表示用户的home目录
    .   表示目前所在的目录
    ..  表示目前目录位置的上级目录
    
举例: 
    cd  ..      切换到当前目录的上级目录
    cd  ~       切换到用户的home目录
    cd  /usr/local  切换到/usr/local目录

备注:

用户的home目录

root用户 /root

其他用户 /home/xxx

操作示例:

image.png

cd .. 切换到当前目录位置的上级目录; 可以通过 cd ../.. 来切换到上级目录的上级目录。

4.2.3 cat

作用: 用于显示文件内容
语法: cat [-n] fileName
​
说明:
    -n: 由1开始对所有输出的行数编号
​
举例:
    cat /etc/profile        查看/etc目录下的profile文件内容

操作演示:

image.png

cat 指令会一次性查看文件的所有内容,如果文件内容比较多,这个时候查看起来就不是很方便了,这个时候我们可以通过一个新的指令more。

4.2.4 more

作用: 以分页的形式显示文件内容
语法: more fileName操作说明:
    回车键     向下滚动一行
    空格键     向下滚动一屏
    b       返回上一屏
    q或者Ctrl+C   退出more
    
举例:
    more /etc/profile       以分页方式显示/etc目录下的profile文件内容

操作示例:

image.png

当我们在查看一些比较大的文件时,我们可能需要经常查询文件尾部的数据信息,那这个时候如果文件很大,我们要一直向下翻页,直到最后一页,去看最新添加的数据,这种方式就比较繁琐了,此时,我们可以借助于tail指令。

4.2.5 tail

作用: 查看文件末尾的内容
语法: tail [-f] fileName
​
说明:
    -f : 动态读取文件末尾内容并显示,通常用于日志文件的内容输出
    
举例: 
tail /etc/profile       显示/etc目录下的profile文件末尾10行的内容
tail -20 /etc/profile   显示/etc目录下的profile文件末尾20行的内容
tail -f /itcast/my.log  动态读取/itcast目录下的my.log文件末尾内容并显示

操作示例:

A. 默认查询文件尾部10行记录

image.png

B. 可以通过指定参数设置查询尾部指定行数的数据

image.png

C. 动态读取文件尾部的数据

image.png 如果我们不想查看文件尾部的数据了,可以直接使用快捷键 Ctrl+C , 结束当前进程。

4.2.6 mkdir

作用: 创建目录
语法: mkdir [-p] dirName
​
说明: 
    -p: 确保目录名称存在,不存在的就创建一个。通过此选项,可以实现多层目录同时创建(可以认为此处p是parent意思)
​
举例: 
    mkdir itcast  在当前目录下,建立一个名为itcast的子目录
    mkdir -p itcast/test   在工作目录下的itcast目录中建立一个名为test的子目录,若itcast目录不存在,则建立一个

操作演示:

image.png

4.2.7 rmdir

作用: 删除空目录
语法: rmdir [-p] dirName

说明:
	-p: 当子目录被删除后使父目录为空目录的话,则一并删除

举例:
    rmdir itcast   删除名为itcast的空目录
    rmdir -p itcast/test   删除itcast目录中名为test的子目录,若test目录删除后itcast目录变为空目录,则也被删除
    rmdir itcast*   删除名称以itcast开始的空目录

操作演示:

A. 删除空目录

image.png

B. 删除非空目录

image.png

C. 使用*通配符删除目录

image.png

*: 是一个通配符,代表任意字符;

rmdir itcast* : 删除以itcast开头的目录

rmdir *itcast : 删除以itcast结尾的目录

4.2.8 rm

作用: 删除文件或者目录
语法: rm [-rf] name

说明: 
    -r: 将目录及目录中所有文件(目录)逐一删除,即递归删除
    -f: 无需确认,直接删除(force)
	
举例: 
    rm -r itcast/     删除名为itcast的目录和目录中所有文件,删除前需确认
    rm -rf itcast/    无需确认,直接删除名为itcast的目录和目录中所有文件
    rm -f hello.txt   无需确认,直接删除hello.txt文件

操作示例:

image.png

==注意: 对于 rm -rf xxx 这样的指令,在执行的时候,一定要慎重,确认无误后再进行删除,避免误删。==

4.3 拷贝移动命令

4.3.1 cp

作用: 用于复制文件或目录
语法: cp [-r] source dest

说明: 
	-r: 如果复制的是目录需要使用此选项,此时将复制该目录下所有的子目录和文件

举例: 
    cp hello.txt itcast/            将hello.txt复制到itcast目录中
    cp hello.txt ./hi.txt           将hello.txt复制到当前目录,并改名为hi.txt
    cp -r itcast/ ./itheima/    	将itcast目录和目录下所有文件复制到itheima目录下
    cp -r itcast/* ./itheima/ 	 	将itcast目录下所有文件复制到itheima目录下

操作示例:

image.png

如果拷贝的内容是目录,需要加上参数 -r

4.3.2 mv

作用: 为文件或目录改名、或将文件或目录移动到其它位置
语法: mv source dest

举例: 
    mv hello.txt hi.txt                 将hello.txt改名为hi.txt
    mv hi.txt itheima/                  将文件hi.txt移动到itheima目录中
    mv hi.txt itheima/hello.txt   		将hi.txt移动到itheima目录中,并改名为hello.txt
    mv itcast/ itheima/                 如果itheima目录不存在,将itcast目录改名为itheima
    mv itcast/ itheima/                 如果itheima目录存在,将itcast目录移动到itheima目录中

操作示例:

mv 命令既能够改名,又可以移动,具体是改名还是移动,系统会根据我们输入的参数进行判定(如果第二个参数dest是一个已存在的目录,将执行移动操作,其他情况都是改名)

4.4 打包压缩命令

作用: 对文件进行打包、解包、压缩、解压
语法: tar  [-zcxvf]  fileName  [files]
    包文件后缀为.tar表示只是完成了打包,并没有压缩
    包文件后缀为.tar.gz表示打包的同时还进行了压缩

说明:
    -z: z代表的是gzip,通过gzip命令处理文件,gzip可以对文件压缩或者解压
    -c: c代表的是create,即创建新的包文件
    -x: x代表的是extract,实现从包文件中还原文件
    -v: v代表的是verbose,显示命令的执行过程
    -f: f代表的是file,用于指定包文件的名称

举例:
    打包
        tar -cvf hello.tar ./*		  		将当前目录下所有文件打包,打包后的文件名为hello.tar
        tar -zcvf hello.tar.gz ./*		  	将当前目录下所有文件打包并压缩,打包后的文件名为hello.tar.gz
		
    解包
        tar -xvf hello.tar		  			将hello.tar文件进行解包,并将解包后的文件放在当前目录
        tar -zxvf hello.tar.gz		  		将hello.tar.gz文件进行解压,并将解压后的文件放在当前目录
        tar -zxvf hello.tar.gz -C /usr/local     将hello.tar.gz文件进行解压,并将解压后的文件放在/usr/local目录

操作示例:

A. 打包

image.png

B. 打包并压缩

image.png

C. 解包

image.png

D. 解压

image.png

解压到指定目录,需要加上参数 -C

image.png

4.5 文本编辑命令

文本编辑的命令,主要包含两个: vi 和 vim,两个命令的用法类似,我们课程中主要讲解vim的使用。

4.5.1 vi&vim介绍

作用: vi命令是Linux系统提供的一个文本编辑工具,可以对文件内容进行编辑,类似于Windows中的记事本

语法: vi fileName

说明: 1). vim是从vi发展来的一个功能更加强大的文本编辑工具,编辑文件时可以对文本内容进行着色,方便我们对文件进行编辑处理,所以实际工作中vim更加常用。 2). 要使用vim命令,需要我们自己完成安装。可以使用下面的命令来完成安装:yum install vim

4.5.2 vim安装

命令: yum install vim

image.png

安装过程中,会有确认提示,此时输入 y,然后回车,继续安装:

image.png

4.5.3 vim使用

作用: 对文件内容进行编辑,vim其实就是一个文本编辑器 语法: vim fileName 说明:

1). 在使用vim命令编辑文件时,如果指定的文件存在则直接打开此文件。如果指定的文件不存在则新建文件。

2). vim在进行文本编辑时共分为三种模式,分别是 命令模式(Command mode),插入模式(Insert mode)和底行模式(Last line mode)。这三种模式之间可以相互切换。我们在使用vim时一定要注意我们当前所处的是哪种模式。

三种模式:

  • 命令模式
    • A. 命令模式下可以查看文件内容、移动光标(上下左右箭头、gg、G)
    • B. 通过vim命令打开文件后,默认进入命令模式
    • C. 另外两种模式需要首先进入命令模式,才能进入彼此
  | 命令模式指令 | 含义                              |
  | ------------ | --------------------------------- |
  | gg           | 定位到文本内容的第一行            |
  | G            | 定位到文本内容的最后一行          |
  | dd           | 删除光标所在行的数据              |
  | ndd          | 删除当前光标所在行及之后的n行数据 |
  | u            | 撤销操作                          |
  | shift+zz     | 保存并退出                        |
  | ia 或 o  | 进入插入模式                      |
  • 插入模式

    • A. 插入模式下可以对文件内容进行编辑
    • B. 在命令模式下按下[i,a,o]任意一个,可以进入插入模式。进入插入模式后,下方会出现【insert】字样
    • C. 在插入模式下按下ESC键,回到命令模式
  • 底行模式

    • A. 底行模式下可以通过命令对文件内容进行查找、显示行号、退出等操作
    • B. 在命令模式下按下[:,/]任意一个,可以进入底行模式
    • C. 通过/方式进入底行模式后,可以对文件内容进行查找
    • D. 通过:方式进入底行模式后,可以输入wq(保存并退出)、q!(不保存退出)、set nu(显示行号)
    底行模式命令含义
    :wq保存并退出
    :q!不保存退出
    :set nu显示行号
    :set nonu取消行号显示
    :n定位到第n行, 如 :10 就是定位到第10行

image.png

4.6 查找命令

4.6.1 find

作用: 在指定目录下查找文件
语法: find dirName -option fileName
举例:
    find  .  –name "*.java"			在当前目录及其子目录下查找.java结尾文件
    find  /itcast  -name "*.java"	在/itcast目录及其子目录下查找.java结尾的文件

操作示例:

image.png

4.6.2 grep

作用: 从指定文件中查找指定的文本内容
语法: grep word fileName
举例: 
    grep Hello HelloWorld.java	查找HelloWorld.java文件中出现的Hello字符串的位置
    grep hello *.java			查找当前目录中所有.java结尾的文件中包含hello字符串的位置

操作示例:

image.png