图像的点云拼接

151 阅读4分钟

开启掘金成长之旅!这是我参与「掘金日新计划 · 2 月更文挑战」的第 22 天,点击查看活动详情

理解好图像的点云拼接,需要从相机的模型说起。理解相机的成像原理之后。

便可更为深刻的理解 图像的点云 如何拼接在一起。

首先说下相机的概念与原理

相机概念与原理

**相机的作用:**将三维世界中的坐标点(单位为米)映射到二维图像平面(单位为像素)

通常我们见到的相机都是针孔相机 但是不是简单的 针孔,还有透镜的畸变存在,所以在做图像处理时要进行畸变校正。

由于畸变的存在,我们在使用相机之前都要进行 相机标定

目的就是求出 内参 对于简单的应用 求出 径向畸变切向畸变就 够了

所谓的外参 就是 相机的 位姿

有了外参、内参、图像、深度信息 便可以把 图像中的点,转到世界坐标系下,并带有RGB的颜色。就形成了所谓的点云。

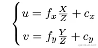
相关的公式也很好理解 ,就是通过 相似三角形 的原理

在这里插入图片描述 注意其中 fx 、fy、 cx 、cy 也就是相机的内参了 在相机出厂时 会 给出

理解了相机的概念与原理,来编辑代码实现下

Code实现

全部代码

先放上全部代码,再进行分段讲解

#include <iostream>
#include <fstream>
using namespace std;
#include <opencv2/core/core.hpp>
#include <opencv2/highgui/highgui.hpp>
#include <Eigen/Geometry>
#include <boost/format.hpp> // for formating strings
#include <pcl/point_types.h>
#include <pcl/io/pcd_io.h>
#include <pcl/visualization/pcl_visualizer.h>



int main( int argc, char** argv )
{
    vector<cv::Mat> colorImgs,depthImgs;//彩色图和深度图
    vector<Eigen::Isometry3d> poses;//相机位姿

    ifstream fin("../pose.txt");//文件读入 相机位置 文件

    if(!fin)//相机位姿读入失败
    {
        cerr<<"请在有pose.txt的目录下运行此程序"<<endl;
        return 1;
    }
 
    for(int i=0;i<5;i++)
    {
        boost::format fmt("../%s/%d.%s");//图像文件格式  
        colorImgs.push_back(cv::imread((fmt%"color"%(i+1)%"png").str()));  // 读取彩色图像
        depthImgs.push_back( cv::imread( (fmt%"depth"%(i+1)%"pgm").str(), -1 )); // 使用 -1 读取原始图像
         

         //读取相机位姿
        double data[7]={0};
        for(auto& d:data)
               fin>>d;
            Eigen::Quaterniond q( data[6], data[3], data[4], data[5] );
            Eigen::Isometry3d T(q);
            T.pretranslate( Eigen::Vector3d( data[0], data[1], data[2] ));
            poses.push_back( T );
    }

     //相机内参
    double cx=325.5;
    double cy=253.5;
    double fx=518.0;
    double fy=519.0;
    double depthScale = 1000.0;


    cout<<"正在将图像转换为点云..."<<endl;

    //定义点云使用的格式  用XYZRGB
    typedef pcl::PointXYZRGB PointT;
    typedef pcl::PointCloud<PointT> PointCloud;

    //新建一个点云
    PointCloud::Ptr pointCloud( new PointCloud );

    for(int i=0;i<5;i++)
    {
        cout<<"转换图像中: "<<i+1<<endl;
        cv::Mat color = colorImgs[i];//获得 要处理的彩色图像
        cv::Mat depth = depthImgs[i];//获得 要处理的深度图像
        Eigen::Isometry3d T = poses[i];//获得 对应的pose
        for(int v=0 ; v<color.rows;v++)//处理每个像素
        {
            for(int u=0 ; u<color.cols;u++)
            {
                unsigned int d = depth.ptr<unsigned short>(v)[u];//深度值
                if(d==0) continue;//为0 表示没有测量到

                Eigen::Vector3d point;//相机坐标系下的点
                //计算相机坐标系下的点的坐标
                point[2] = double(d)/depthScale;
                point[0] = (u-cx)*point[2]/fx;
                point[1] = (v-cy)*point[2]/fy;


                Eigen::Vector3d pointWorld = T*point;//转换到世界坐标系下


                PointT p;//声明点云
                p.x = pointWorld[0];//赋值点云位置
                p.y = pointWorld[1]; 
                p.z = pointWorld[2]; 
                p.b = color.data[ v*color.step+u*color.channels() ];//赋值点云对应RGB颜色
                p.g = color.data[ v*color.step+u*color.channels()+1 ];
                p.r = color.data[ v*color.step+u*color.channels()+2 ];

                pointCloud->points.push_back( p );
            }
        }
    }


        pointCloud->is_dense = false; 
        cout<<"点云共有"<<pointCloud->size()<<"个点."<<endl;

        pcl::io::savePCDFileBinary("map.pcd", *pointCloud );//保存点云文件


    return 0;
}

代码讲解

    vector<cv::Mat> colorImgs,depthImgs;//彩色图和深度图
    vector<Eigen::Isometry3d> poses;//相机位姿

    ifstream fin("../pose.txt");//文件读入 相机位置 文件

    if(!fin)//相机位姿读入失败
    {
        cerr<<"请在有pose.txt的目录下运行此程序"<<endl;
        return 1;
    }
 
    for(int i=0;i<5;i++)
    {
        boost::format fmt("../%s/%d.%s");//图像文件格式  
        colorImgs.push_back(cv::imread((fmt%"color"%(i+1)%"png").str()));  // 读取彩色图像
        depthImgs.push_back( cv::imread( (fmt%"depth"%(i+1)%"pgm").str(), -1 )); // 使用 -1 读取原始图像
         

         //读取相机位姿
        double data[7]={0};
        for(auto& d:data)
               fin>>d;
            Eigen::Quaterniond q( data[6], data[3], data[4], data[5] );
            Eigen::Isometry3d T(q);
            T.pretranslate( Eigen::Vector3d( data[0], data[1], data[2] ));
            poses.push_back( T );
    }

读取对应路径 下的 彩色图像 、 深度图像、相机的位姿 上面说了,有了这三个量 再加上相机内参,就可以得到点云 ++++++++++++++++++++++++++++++++++++++++++++++++++++++++++++++++++++++++++++

     //相机内参
    double cx=325.5;
    double cy=253.5;
    double fx=518.0;
    double fy=519.0;
    double depthScale = 1000.0;

传说中的 相机内参 ++++++++++++++++++++++++++++++++++++++++++++++++++++++++++++++++++++++++++++

    //定义点云使用的格式  用XYZRGB
    typedef pcl::PointXYZRGB PointT;
    typedef pcl::PointCloud<PointT> PointCloud;

    //新建一个点云
    PointCloud::Ptr pointCloud( new PointCloud );

声明pcl的格式 创建一个点云 ++++++++++++++++++++++++++++++++++++++++++++++++++++++++++++++++++++++++++

然后开始 for循环 处理 每一张图片 和对应的 深度图片与相机位姿

        cv::Mat color = colorImgs[i];//获得 要处理的彩色图像
        cv::Mat depth = depthImgs[i];//获得 要处理的深度图像
        Eigen::Isometry3d T = poses[i];//获得 对应的pose

得到要处理的 彩色图像 深度图像 对应的pose

++++++++++++++++++++++++++++++++++++++++++++++++++++++++++++++++++++++++++ 然后 for循环 处理 每一个像素

unsigned int d = depth.ptr<unsigned short>(v)[u];//深度值

得到深度信息

++++++++++++++++++++++++++++++++++++++++++++++++++++++++++++++++++++++++++

                Eigen::Vector3d point;//相机坐标系下的点
                //计算相机坐标系下的点的坐标
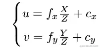
                point[2] = double(d)/depthScale;
                point[0] = (u-cx)*point[2]/fx;
                point[1] = (v-cy)*point[2]/fy;

通过 在这里插入图片描述 这个公式 得到 相机坐标系下的 x,y,z ++++++++++++++++++++++++++++++++++++++++++++++++++++++++++++++++++++++++++

  Eigen::Vector3d pointWorld = T*point;//转换到世界坐标系下

相机坐标系 下的点 通过坐标变换 转 到 世界坐标系下 ++++++++++++++++++++++++++++++++++++++++++++++++++++++++++++++++++++++++++

                PointT p;//声明点云
                p.x = pointWorld[0];//赋值点云位置
                p.y = pointWorld[1]; 
                p.z = pointWorld[2]; 
                p.b = color.data[ v*color.step+u*color.channels() ];//赋值点云对应RGB颜色
                p.g = color.data[ v*color.step+u*color.channels()+1 ];
                p.r = color.data[ v*color.step+u*color.channels()+2 ];

赋值点云的坐标 与颜色 ++++++++++++++++++++++++++++++++++++++++++++++++++++++++++++++++++++++++++

 pcl::io::savePCDFileBinary("map.pcd", *pointCloud );//保存点云文件

保存成点云文件。