【算法】19. 删除链表的倒数第 N 个结点(多语言实现)

142 阅读1分钟

开启掘金成长之旅!这是我参与「掘金日新计划 · 2 月更文挑战」的第 24 天,点击查看活动详情


19. 删除链表的倒数第 N 个结点:

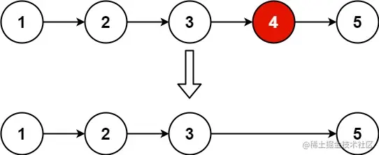
给你一个链表,删除链表的倒数第 n 个结点,并且返回链表的头结点。

样例 1:

输入:
	head = [1,2,3,4,5], n = 2
	
输出:
	[1,2,3,5]

样例 2:

输入:
	head = [1], n = 1
	
输出:
	[]
	

样例 3:

输入:
	head = [1,2], n = 1
	
输出:
	[1]

	

提示:

  • 链表中结点的数目为 sz
  • 1 <= sz <= 30
  • 0 <= Node.val <= 100
  • 1 <= n <= sz

原题传送门:

leetcode.cn/problems/re…


分析

  • 面对这道算法题目,二当家的陷入了沉思。
  • 要删除倒数第N个结点,首先要找到倒数第N+1个结点,然后让这个结点的next指向倒数第N-1个结点。
  • 要找到倒数第N+1个结点,首先考虑要取得链表的长度,然后就知道这个结点的正数位置,这样需要遍历两次链表。
  • 还可以使用动态数组,也就是list,一边遍历链表,一边把结点的引用或者指针放入,这样就可以在知道总数之后,直接按照下标取得目标结点,时间复杂度降低了,但是却是以空间为代价。
  • 事实上,我们可以只用常数空间的代价换来时间复杂度的降低,倒数第N+1个结点就是距离最后一个结点N个位置的结点,可以用双指针,先让快指针遍历N个结点,之后快慢指针同时遍历链表,等到快指针指向空,慢指针刚好指向我们要的结果。要注意的一点是,因为有可能最终要删除的结点是头结点,为了让算法能统一处理所有情况,需要在头结点前面加入一个哑结点,让慢指针指向这个哑结点,也就是头结点的前一个结点,这样链表中的每个结点就都有了前结点。

题解

rust

// Definition for singly-linked list.
// #[derive(PartialEq, Eq, Clone, Debug)]
// pub struct ListNode {
//   pub val: i32,
//   pub next: Option<Box<ListNode>>
// }
//
// impl ListNode {
//   #[inline]
//   fn new(val: i32) -> Self {
//     ListNode {
//       next: None,
//       val
//     }
//   }
// }
impl Solution {
    pub fn remove_nth_from_end(head: Option<Box<ListNode>>, mut n: i32) -> Option<Box<ListNode>> {
        let mut dummy = Some(Box::new(ListNode::new(-1)));
        dummy.as_mut().unwrap().next = head;

        let mut slow = &mut dummy;
        let mut fast = &slow.clone();
        while n >= 0 {
            if let Some(n) = fast {
                fast = &n.next;
            } else {
                return None;
            }
            n -= 1;
        }

        while fast.is_some() {
            slow = &mut slow.as_mut().unwrap().next;
            fast = &fast.as_ref().unwrap().next;
        }
        slow.as_mut().unwrap().next = slow.as_mut().unwrap().next.as_mut().unwrap().next.take();

        return dummy.unwrap().next;
    }
}

go

/**
 * Definition for singly-linked list.
 * type ListNode struct {
 *     Val int
 *     Next *ListNode
 * }
 */
func removeNthFromEnd(head *ListNode, n int) *ListNode {
    dummy := &ListNode{0, head}
    fast, slow := head, dummy
    for i := 0; i < n; i++ {
        fast = fast.Next
    }
    for ; fast != nil; fast = fast.Next {
        slow = slow.Next
    }
    slow.Next = slow.Next.Next
    return dummy.Next
}

c++

/**
 * Definition for singly-linked list.
 * struct ListNode {
 *     int val;
 *     ListNode *next;
 *     ListNode() : val(0), next(nullptr) {}
 *     ListNode(int x) : val(x), next(nullptr) {}
 *     ListNode(int x, ListNode *next) : val(x), next(next) {}
 * };
 */
class Solution {
public:
    ListNode* removeNthFromEnd(ListNode* head, int n) {
        ListNode dummy = ListNode(0, head);
        ListNode *fast = head;
        ListNode *slow = &dummy;
        for (int i = 0; i < n; ++i) {
            fast = fast->next;
        }
        while (fast) {
            fast = fast->next;
            slow = slow->next;
        }
        slow->next = slow->next->next;
        return dummy.next;
    }
};

python

# Definition for singly-linked list.
# class ListNode:
#     def __init__(self, val=0, next=None):
#         self.val = val
#         self.next = next
class Solution:
    def removeNthFromEnd(self, head: Optional[ListNode], n: int) -> Optional[ListNode]:
        dummy = ListNode(0, head)
        fast = head
        slow = dummy
        for i in range(n):
            fast = fast.next
        while fast:
            fast = fast.next
            slow = slow.next
        slow.next = slow.next.next
        return dummy.next


java

/**
 * Definition for singly-linked list.
 * public class ListNode {
 *     int val;
 *     ListNode next;
 *     ListNode() {}
 *     ListNode(int val) { this.val = val; }
 *     ListNode(int val, ListNode next) { this.val = val; this.next = next; }
 * }
 */
class Solution {
    public ListNode removeNthFromEnd(ListNode head, int n) {
        ListNode dummy = new ListNode(0, head);
        ListNode fast  = head;
        ListNode slow  = dummy;
        for (int i = 0; i < n; ++i) {
            fast = fast.next;
        }
        while (fast != null) {
            fast = fast.next;
            slow = slow.next;
        }
        slow.next = slow.next.next;
        return dummy.next;
    }
}

非常感谢你阅读本文~
放弃不难,但坚持一定很酷~
希望我们大家都能每天进步一点点~
本文由 二当家的白帽子:https://juejin.cn/user/2771185768884824/posts 博客原创~


开启掘金成长之旅!这是我参与「掘金日新计划 · 2 月更文挑战」的第 24 天,点击查看活动详情