JZ10- I. 斐波那契数列

224 阅读3分钟

leetcode.cn/problems/fe…

写一个函数,输入 n ,求斐波那契(Fibonacci)数列的第 n 项(即 F(N))。斐波那契数列的定义如下:

F(0) = 0,   F(1) = 1 F(N) = F(N - 1) + F(N - 2), 其中 N > 1. 斐波那契数列由 0 和 1 开始,之后的斐波那契数就是由之前的两数相加而得出。

答案需要取模 1e9+7(1000000007),如计算初始结果为:1000000008,请返回 1。

 

示例 1:

输入:n = 2 输出:1 示例 2:

输入:n = 5 输出:5  

提示:

0 <= n <= 100

解法一:记忆化递归法

斐波那契数列的定义是 f(n+1)=f(n)+f(n−1) ,生成第 n 项的做法有以下几种:

  1. 递归法:

    原理: 把 f(n) 问题的计算拆分成 f(n−1) 和 f(n−2) 两个子问题的计算,并递归,以 f(0) 和 f(1) 为终止条件。

    缺点: 大量重复的递归计算,例如 f(n) 和 f(n−1) 两者向下递归需要 各自计算 f(n−2) 的值。

  2. 记忆化递归法:

    原理: 在递归法的基础上,新建一个长度为 n 的数组,用于在递归时存储 f(0) 至 f(n) 的数字值,重复遇到某数字则直接从数组取用,避免了重复的递归计算。

    缺点: 记忆化存储需要使用 O(N) 的额外空间。

下图帮助理解递归法的 “重复计算” 概念。

image.png

代码:

class Solution {
    public int fib(int n) {
        HashMap<Integer, Integer> hashMap = new HashMap<>();
        return recur(n, hashMap);
    }

    public int recur(int level, HashMap<Integer, Integer> hashMap) {
        if (level == 0) {
            hashMap.put(level, 0);
            return 0;
        }
        if (level == 1) {
            hashMap.put(level, 1);
            return 1;
        }

        if (!hashMap.containsKey(level)) {
            hashMap.put(level, recur(level - 1, hashMap) + recur(level - 2, hashMap));
        }
        return hashMap.get(level) % 1000000007;
    }
}

解法二:动态规划

动态规划:

原理: 以斐波那契数列性质 f(n+1)=f(n)+f(n−1) 为转移方程。

从计算效率、空间复杂度上看,动态规划是本题的最佳解法。

动态规划解析:

  • 状态定义: 设 dp 为一维数组,其中 dp[i] 的值代表 斐波那契数列第 i 个数字 。
  • 转移方程: dp[i+1]=dp[i]+dp[i−1] ,即对应数列定义 f(n+1)=f(n)+f(n−1) ;
  • 初始状态: dp[0]=0, dp[1]=1 ,即初始化前两个数字;
  • 返回值: dp[n] ,即斐波那契数列的第 n 个数字。

空间复杂度优化:

  • 若新建长度为 n 的 dp 列表,则空间复杂度为 O(N) 。

  • 由于 dp 列表第 i 项只与第 i−1 和第 i−2 项有关,因此只需要初始化三个整形变量 sum, a, b ,利用辅助变量 sum 使 a,b 两数字交替前进即可 (具体实现见代码) 。

  • 节省了 dp 列表空间,因此空间复杂度降至 O(1) 。

循环求余法:

大数越界: 随着 n 增大, f(n) 会超过 Int32 甚至 Int64 的取值范围,导致最终的返回值错误。

求余运算规则:

设正整数 x,y,p ,求余符号为 ⊙ ,则有 (x+y)⊙p=(x⊙p+y⊙p)⊙p 。 解析: 根据以上规则,可推出 f(n)⊙p=[f(n−1)⊙p+f(n−2)⊙p]⊙p ,从而可以在循环过程中每次计算 sum=(a+b)⊙1000000007 ,此操作与最终返回前取余等价。

复杂度分析:

时间复杂度 O(N) : 计算 f(n) 需循环 n 次,每轮循环内计算操作使用 O(1) 。

空间复杂度 O(1) : 几个标志变量使用常数大小的额外空间。

代码:

class Solution {
    public int fib(int n) {
        int a = 0, b = 1, sum = 0;
        if (n < 2) {
            return n;
        }
        for (int i = 2; i <= n; i++) {
            sum = (a + b) % 1000000007;
            a = b;
            b = sum;
        }
        return sum;
    }
}

解法三:矩阵快速幂

方法一和方法二的时间复杂度是 O(n)。使用矩阵快速幂的方法可以降低时间复杂度。

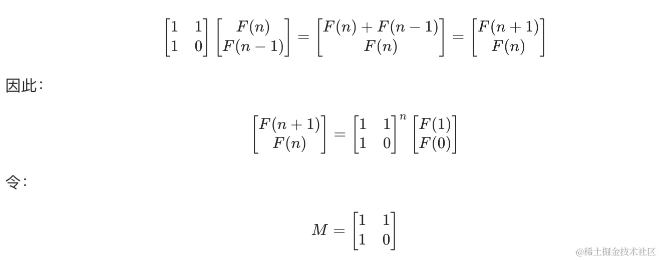
首先我们可以构建这样一个递推关系:

image.png

因此只要我们能快速计算矩阵 M 的 n 次幂,就可以得到 F(n) 的值。如果直接求取 M n ,时间复杂度是 O(n),可以定义矩阵乘法,然后用快速幂算法来加速这里 M n 的求取。

计算过程中,答案需要取模 1e9+7。

class Solution {
    static final int MOD = 1000000007;

    public int fib(int n) {
        if (n < 2) {
            return n;
        }
        int[][] q = {{1, 1}, {1, 0}};
        int[][] res = pow(q, n - 1);
        return res[0][0];
    }

    public int[][] pow(int[][] a, int n) {
        int[][] ret = {{1, 0}, {0, 1}};
        while (n > 0) {
            if ((n & 1) == 1) {
                ret = multiply(ret, a);
            }
            n >>= 1;
            a = multiply(a, a);
        }
        return ret;
    }

    public int[][] multiply(int[][] a, int[][] b) {
        int[][] c = new int[2][2];
        for (int i = 0; i < 2; i++) {
            for (int j = 0; j < 2; j++) {
                c[i][j] = (int) (((long) a[i][0] * b[0][j] + (long) a[i][1] * b[1][j]) % MOD);
            }
        }
        return c;
    }
}

复杂度分析

  • 时间复杂度:O(logn)。
  • 空间复杂度:O(1)。