二叉树展开为链表(力扣热题HOT100 之 力扣114)Java

98 阅读1分钟

开启掘金成长之旅!这是我参与「掘金日新计划 · 2 月更文挑战」的第 20 天,点击查看活动详情

一、题目描述

给你二叉树的根结点 root ,请你将它展开为一个单链表:

展开后的单链表应该同样使用 TreeNode ,其中 right 子指针指向链表中下一个结点,而左子指针始终为 null 。

展开后的单链表应该与二叉树 先序遍历 顺序相同。

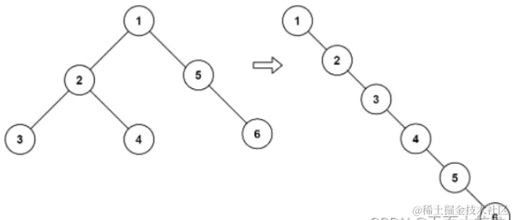
示例 1:

image.png

输入:root = [1,2,5,3,4,null,6]

输出:[1,null,2,null,3,null,4,null,5,null,6]

示例 2:

输入:root = []

输出:[]

示例 3:

输入:root = [0]

输出:[0]

提示:

树中结点数在范围 [0, 2000] 内

-100 <= Node.val <= 100

进阶:你可以使用原地算法(O(1) 额外空间)展开这棵树吗?

二、思路讲解

题目要求按先序遍历的顺序,那么很自然地想到递归方式先序遍历每个节点,并保存到列表中,然后再串连起来。

三、Java代码实现

/**
 * Definition for a binary tree node.
 * public class TreeNode {
 *     int val;
 *     TreeNode left;
 *     TreeNode right;
 *     TreeNode() {}
 *     TreeNode(int val) { this.val = val; }
 *     TreeNode(int val, TreeNode left, TreeNode right) {
 *         this.val = val;
 *         this.left = left;
 *         this.right = right;
 *     }
 * }
 */
class Solution {
 
    List<TreeNode> list = new ArrayList<>();
 
    public void flatten(TreeNode root) {
        dfs(root);
        TreeNode head = new TreeNode(0);
        TreeNode p = head;
        for(TreeNode node : list){
            p.right = node;
            p.left = null;
            p = p.right;
        }
        System.out.println(head.right);
    }
 
    void dfs(TreeNode node){
        if(node==null){
            return;
        }
 
        list.add(node);
 
        dfs(node.left);
        dfs(node.right);
    }
}

四、时空复杂度分析

时间复杂度: O(N)

空间复杂度: O(N)

五、进阶

原地改变树的结构。我们可以将第一个左节点不为空的节点(图中的节点1)的右节点(节点2)移到节点2的最后一个右子节点(节点4)之后,然后再将当前节点左子节点(节点2)移到右子节点位置上。就这样重复操作每一个右子节点不为空的节点。

image.png

image.png

image.png

/**
 * Definition for a binary tree node.
 * public class TreeNode {
 *     int val;
 *     TreeNode left;
 *     TreeNode right;
 *     TreeNode() {}
 *     TreeNode(int val) { this.val = val; }
 *     TreeNode(int val, TreeNode left, TreeNode right) {
 *         this.val = val;
 *         this.left = left;
 *         this.right = right;
 *     }
 * }
 */
class Solution {
 
    public void flatten(TreeNode root) {
        
        TreeNode p = root;
        while(p!=null){
            if(p.left!=null){
                TreeNode next = p.left;
                TreeNode pre = p.left;
                while(pre.right!=null){
                    pre = pre.right;
                }
                pre.right = p.right;
                p.right = next;
                p.left = null;
            }
            p = p.right;
        }
    }
}

时间复杂度: O(N)

空间复杂度: O(1)