调查报告解读之国外数据库篇:MySQL国内使用率第一,多少企业有意替换国外产品?

106 阅读4分钟

为了解数据库行业以及从业人员的现状、数据库选型、中国数据库的发展趋势等,墨天轮于2022年开始进行问卷收集,历时24天,共征集到有效问卷3476份,并于2月10日整理发布了《2022年墨天轮数据库大调查报告》。此前我们接连为大家介绍了当前国内企业的国产数据库使用率、从业者喜爱的国产数据库、从业者薪资等方面的数据(可查阅历史文章),本文将为大家整理分享当前国内企业的国外数据库相关使用情况。

数据显示,有96.1%的企业正在使用国外数据库产品,这与国外数据库发展起步较早、服务产品种类齐全且于早期已占据较大市场有一定关系。然而,随着中国数据库产业的不断壮大、技术的不断迭代,越来越多的企业表示已经或将会逐步进行国产化替代,接下来让我们详细了解本次调查中的相关数据情况。

国内企业的国外数据库使用情况

  • MySQL 是国内使用率第一国外数据库产品,Oracle 位居第二

据调查数据,78.7%的受访者所在企业正在使用 MySQL,其在中国的使用率相比其他国外数据库排名第一。MySQL 的历史最早可以追溯到1979年,其凭借开源、免费、稳定等特点深受国内外用户喜爱。其后则是 Oracle 、Redis,其使用率占比分别为73%、47.7%。

可以发现,MySQL、Oracle 是国内最受欢迎的两款国外数据库产品,其使用率已与其他国外数据库产品拉开较大差距,其中 Redis、SQL Server、PostgreSQL、MongoDB、Elasticsearch的使用率均已超过20%。

  • 未使用国外数据库的企业中近七成为中小型企业

本次调研中,仅3.9%的企业当前未使用国外数据库,通过分析其企业规模情况可以发现,未使用国外数据库的企业以500人以下的中小型企业居多,在≤100人的企业与101-500人的企业分别占比为37.0%、30.4%。

国内企业的国外数据库替换意向情况

  • 超八成企业有替换掉国外数据库的计划,其中最多人想替换掉 Oracle

据调查数据,当前国内已有86.2%的企业有意替换掉国外数据库。其中想将 Oracle 数据库替换的企业占比为58.6%。此前俄乌战争爆发,Oracle 暂停在俄罗斯的所有业务和技术支持,这对部分中国的 Oracle 使用者也带来了一定警醒。其次,47.3%的企业想要替换掉 MySQL 数据库,此后依次是 SQL Server、PostgreSQL 数据库。

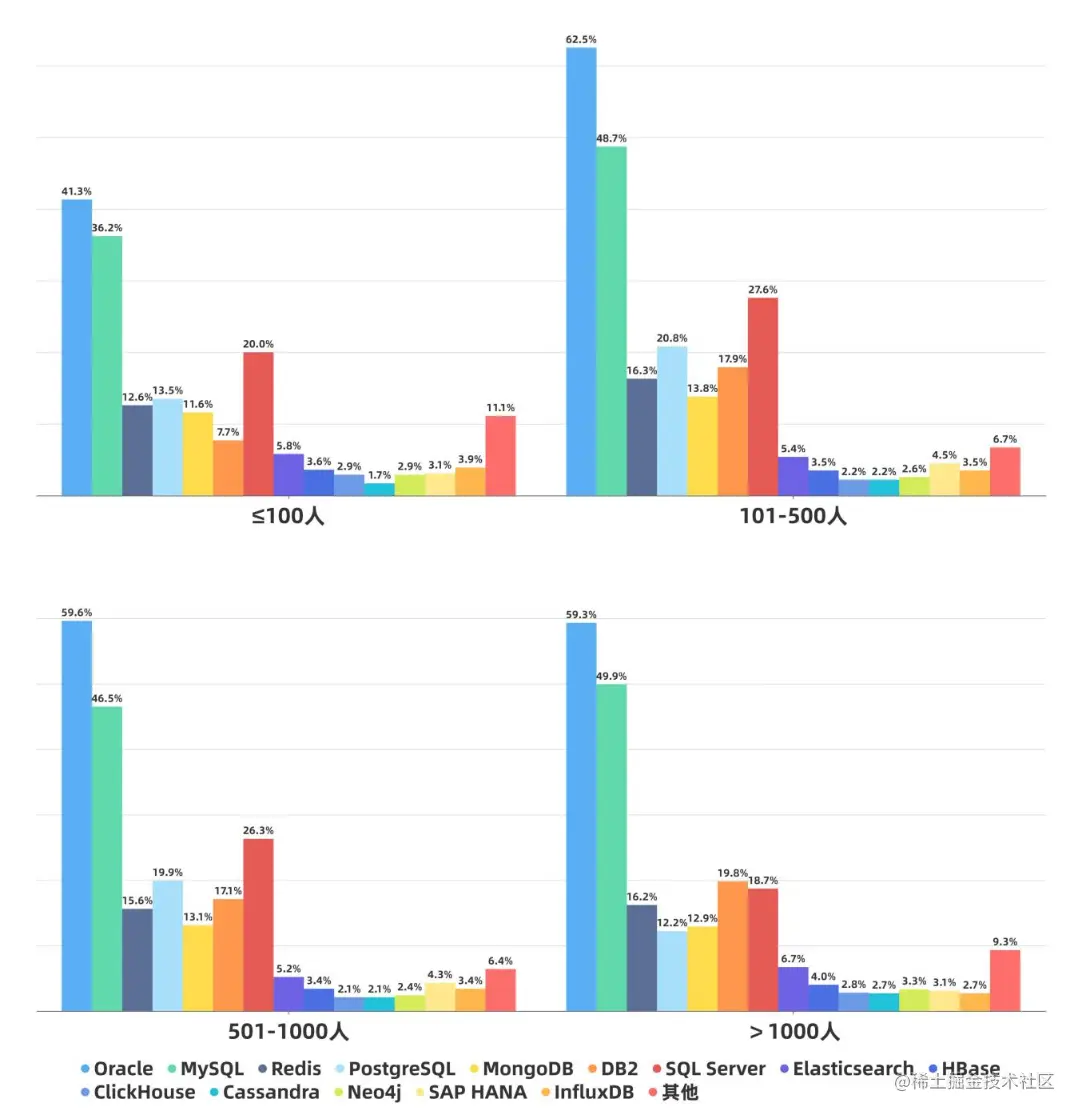
  • 中小型企业对 Oracle 的替换意愿最强

分析当前有意向替换掉国外数据库的受访者所在企业规模后可以发现,101-500人的中小企业中,其企业有意向替换掉 Oracle 的受访者占比最多,达62.5%。而在≤100 人的企业,仅有41.3%的受访者认为,其企业想要替换掉 Oracle 数据库。微型企业对 Oracle 替换意向较低的主要原因可能是:一,微型企业对数据库总部署套数少于其他规模企业;二,微型企业抵御风险能力较低,不敢试错。

  • 有意向替换掉 Oracle 的企业中,最想迁移到 OceanBase、达梦或 openGauss

调查数据显示,有58.6%正在使用 Oracle 数据库的受访者表示其企业有替换掉国外数据库的意向。其中30.6%的受访者表示想要替换成 OceanBase, 其次是达梦和 openGauss,分别占比29.8、26.5%。

好啦,本文介绍的国内企业的国外数据库相关情况属于报告第3.3节,此处因篇幅所限不作拓展,大家如想了解更多内容可以下载报告查阅。

点击可在线查阅/下载文档:www.modb.pro/doc/97913

本报告全面深入总结了数据库行业以及从业人员的发展现状,除了本文所展示的国内企业对国外数据库使用的现状与替换意向外,也包含从业人员薪资/行业分布、国产数据库使用情况、数据库上云现状、数据库选型等多维度内容,望对各相关政府部门、从业人员以及数据库行业提供参考资料。欢迎大家下载、参考!


欲了解更多可浏览墨天轮数据社区,围绕数据人的学习成长提供一站式的全面服务,打造集新闻资讯、在线问答、活动直播、在线课程、文档阅览、资源下载、知识分享及在线运维为一体的统一平台,持续促进数据领域的知识传播和技术创新。

关注官方公众号: 墨天轮、 墨天轮平台、墨天轮成长营、数据库国产化 、数据库资讯