【图论】二分图,双色问题?

154 阅读2分钟

题目描述

存在一个 无向图 ,图中有 n 个节点。其中每个节点都有一个介于 0n - 1 之间的唯一编号。

给定一个二维数组 graph ,表示图,其中 graph[u] 是一个节点数组,由节点 u 的邻接节点组成。形式上,对于 graph[u] 中的每个 v ,都存在一条位于节点 u 和节点 v 之间的无向边。该无向图同时具有以下属性:

  • 不存在自环(graph[u] 不包含 u)。
  • 不存在平行边(graph[u] 不包含重复值)。
  • 如果 vgraph[u] 内,那么 u 也应该在 graph[v] 内(该图是无向图)
  • 这个图可能不是连通图,也就是说两个节点 uv 之间可能不存在一条连通彼此的路径。

二分图 定义:如果能将一个图的节点集合分割成两个独立的子集 AB ,并使图中的每一条边的两个节点一个来自 A 集合,一个来自 B 集合,就将这个图称为 二分图

如果图是二分图,返回 true ;否则,返回 false

示例1

image-20230221231040890.png

输入:graph = [[1,2,3],[0,2],[0,1,3],[0,2]]
输出:false
解释:不能将节点分割成两个独立的子集,以使每条边都连通一个子集中的一个节点与另一个子集中的一个节点。

示例2

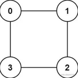
image-20230221231058385.png

输入:graph = [[1,3],[0,2],[1,3],[0,2]]
输出:true
解释:可以将节点分成两组: {0, 2} 和 {1, 3} 。

提示:

  • graph.length == n
  • 1 <= n <= 100
  • 0 <= graph[u].length < n
  • 0 <= graph[u][i] <= n - 1
  • graph[u] 不会包含 u
  • graph[u] 的所有值 互不相同
  • 如果 graph[u] 包含 v,那么 graph[v] 也会包含 u

【BFS】染色

注意: 可能有多个连通域,因此需要循环遍历连通域,遍历的过程中使用BFS先对顶点进行染色,然后将其邻接顶点染成相反的颜色。若在过程中发现邻接节点与顶点颜色相同,则直接返回false,说明不是二分图。

  • 使用1和-1表示两种不同的颜色,因此使用一个整形数组visited表示每个顶点的染色状态就可以了
  • 代码注释已经很详细了。
class Solution {
    public boolean isBipartite(int[][] graph) {
        int n = graph.length;
        int[] visited = new int[n];

        Deque<Integer> queue = new ArrayDeque<>();
        
        // 有多个连同分量,因此需要循环遍历,若给定图是联通的画,一次BFS即可;
        // 若存在未染色的点,就需要进行依次BFS
        for(int i = 0; i < n; i++) {
            // 如果某个节点未着色,说明其所在的连通分量的所有节点都未着色
            if(visited[i] != 0) continue;
            queue.offer(i);
            // 这里就相当于每个连同分量起始节点的颜色为1
            visited[i] = 1;
            while(!queue.isEmpty()) {
                int poll = queue.poll();
                // 将其邻居染色为与顶点相反的颜色
                //if(graph[poll].length == 0) continue;
                for(int v : graph[poll]) {
                    if(visited[v] == 0) {
                        visited[v] = -visited[poll];
                        //System.out.println(visited[v]);
                        queue.offer(v);
                    }
                    else if(visited[v] == visited[poll]) return false;
                }
            }
        }
        
        return true;
    }
}