m基于LS+变步长LMS的Volterra级数数字预失真DPD系统matlab仿真

410 阅读3分钟

1.算法描述

       DPD是数字预失真的首字母缩写,许多射频(RF)工程师、信号处理爱好者和嵌入式软件开发人员都熟悉这一术语。DPD在蜂窝通信系统中随处可见,使功率放大器(PA)能够有效地为天线提供最大功率。随着5G使基站中的天线数量增加,频谱变得更加拥挤,DPD开始成为一项关键技术,支持开发经济高效且符合规格要求的蜂窝系统。

 

       对于DPD,无论从纯粹的数学角度出发,还是在微处理器上实现更受限制,我们许多人都有自己独特的见解。您可能是负责评估RF基站产品中DPD性能的工程师,或者是一名算法开发人员,很想知道数学建模技术在实际系统中的实现方式。

 

        当基站射频装置输出RF信号时(参见图1),需要先将其放大,然后再通过天线发射。我们使用RF PA来执行此操作(放大)。在理想情况下,PA接收输入信号,然后输出与其输入成正比的更高功率信号。在执行此操作期间,PA会尽可能保持高能效,将提供给放大器的大部分直流电源都转化为信号输出功率。

 

1.png

 

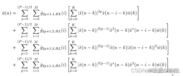
        Volterra 级数是一种泛函级数,由意大利数学家Volterra于1880年首先提出,当时是作为对Taylor级数的推广而提出的。Volterra将这种泛函级数用于研究某些积分方程和积分---微分方程的解。直到1942年,美国著名科学家、控制论的奠基人N.Wiene:才首次将Volterra泛函级数用于非线性系统的分析。后来其他人继续N.Wiene:的工作,将Volterra泛函级数用于发展非线性算子理论以及非线性方程和系统分析。二十世纪七十年代后Volterra泛函级数开始受到人们的普遍重视。

 

       Volterra级数即含记忆的泰勒级数,其数学公式与泰勒级数及其相似,Volterra 级数模型的输出信号,其计算公式是通过输入信号的幂次方来表达的。Volterra级数与泰勒级数不同之处在于Volterra级数具有延迟功能,因此Volterra级数更适合应用在具有记忆效应的功率放大器线性化处理过程中。

 

2.png

 

2.仿真效果预览

matlab2022a仿真结果如下:

 

3.png

4.png

 

3.MATLAB核心程序 `load PA_OUT_-3dbm.txt

Xn =[PA_OUT__3dbm(1:2^13,1) + sqrt(-1)*PA_OUT__3dbm(1:2^13,2)]';

 

%original input

% Xn  = 0.4*signal(1:L)/max(abs(signal(1:L)));

Xn0 = Xn;

m   = length(Xn);

 

 

figure;

 

 

 

%%

%论文DPD

%w(.)This band-limiting function can be a linear filter

K  = 127;

Wn = [0.36,0.7];%修改0.1的值,获得不同情况下的band limit效果

w  = fir1(K,Wn,'stop');

 

K2 = 0;

w2 = [1,1];

 

%计算C_Lx1,Volterra kernel of the system

G_BL=[ 1.0513+j0.0904,-0.0542-j0.2900,-0.9657-j*0.7028,...

      -0.0680-j0.0023, 0.2234+j0.2317,-0.2451-j*0.3735,...

       0.0289-j0.0054,-0.0621-j0.0932, 0.1229+j*0.1508];

  

U_Nx1 = Xn;

 

 

[psdu,freq] = func_psd(U_Nx1,m,ts,Scal);

plot(freq/1e6,psdu,'b','linewidth',2);

grid on

hold on

 

 

%is the expected inverse output matrix generated from the PA input (the output of the predistorter) u~,

%u~根据公式22计算得到。

for ii = 1:3

    if ii == 1

       U   = func_volterra_Matrix(Xn,w,G_BL,K,Ns);

       Out = func_volterra1(U,w2,G_BL,K2,Ns);

    else

       U   = func_volterra_Matrix(Xn,w,Cest,K,Ns);

       Out = func_volterra1(U,w2,Cest,K2,Ns);%构造Y,LS estimate

    end

 

    %公式26

    ya   = (abs(Out.^0)).*Out;

    yb   = (abs(Out.^2)).*Out;

    yc   = (abs(Out.^4)).*Out;  

    Y1   = [ya(3:m);yb(3:m);yc(3:m);ya(2:m-1);yb(2:m-1);yc(2:m-1);ya(1:m-2);yb(1:m-2);yc(1:m-2)];

    Y2   =  conj(Y1');

 

    Cest = inv(Y2.'*Y2)*Y2.'*U(3:m).';

    

    Xn   = func_volterra1(U_Nx1,w,Cest,K,Ns);

end

 

%预失真处理

Yn2   = func_volterra1(Xn0,w,Cest,K,Ns);

 

%通过功放

U_Nx2 = func_volterra0(Yn2,w,G_BL,K,Ns);`