数据结构以学带练day20——最大二叉树、合并二叉树 、二叉搜索树中的搜索、验证二叉搜索树

117 阅读7分钟

题目

654.最大二叉树

image.png

思路

构造树一般采用的是前序遍历,因为先构造中间节点,然后递归构造左子树和右子树。

  1. 确定递归函数的参数和返回值:

    • 参数传入的是存放元素的数组,返回该数组构造的二叉树的头结点,返回类型是指向节点的指针。
  2. 确定终止条件

    • 题目中说了输入的数组大小一定是大于等于1的,所以我们不用考虑小于1的情况,那么当递归遍历的时候,如果传入的数组大小为1,说明遍历到了叶子节点了。那么应该定义一个新的节点,并把这个数组的数值赋给新的节点,然后返回这个节点。 这表示一个数组大小是1的时候,构造了一个新的节点,并返回。
  3. 确定单层递归的逻辑

    • 找到数组中最大的值和对应的下标, 最大的值构造根节点,下标用来下一步分割数组。
    • 最大值所在的下标左区间 构造左子树:判断maxValueIndex > 0,因为要保证左区间至少有一个数值。
    • 最大值所在的下标右区间 构造右子树:判断maxValueIndex < (nums.size() - 1),确保右区间至少有一个数值。

整体代码

class Solution {
public:
    TreeNode* constructMaximumBinaryTree(vector<int>& nums) {
        TreeNode* node = new TreeNode(0);
        //如果进来的数组大小是1
        if (nums.size() == 1) {
            node->val = nums[0];
            return node;
        }
        // 找到数组中最大的值和对应的下标
        int maxValue = 0;
        int maxValueIndex = 0;
        for (int i = 0; i < nums.size(); i++) {
            if (nums[i] > maxValue) {
                maxValue = nums[i];
                maxValueIndex = i;
            }
        }
        node->val = maxValue;
        // 最大值所在的下标左区间 构造左子树
        if (maxValueIndex > 0) {
            vector<int> newVec(nums.begin(), nums.begin() + maxValueIndex);
            node->left = constructMaximumBinaryTree(newVec);
        }
        // 最大值所在的下标右区间 构造右子树
        if (maxValueIndex < (nums.size() - 1)) {
            vector<int> newVec(nums.begin() + maxValueIndex + 1, nums.end());
            node->right = constructMaximumBinaryTree(newVec);
        }
        return node;
    }
};

简单写法

class Solution {
private:
    // 在左闭右开区间[left, right),构造二叉树
    TreeNode* traversal(vector<int>& nums, int left, int right) {
        if (left >= right) return nullptr;

        // 分割点下标:maxValueIndex
        int maxValueIndex = left;
        for (int i = left + 1; i < right; ++i) {
            if (nums[i] > nums[maxValueIndex]) maxValueIndex = i;
        }

        TreeNode* root = new TreeNode(nums[maxValueIndex]);

        // 左闭右开:[left, maxValueIndex)
        root->left = traversal(nums, left, maxValueIndex);

        // 左闭右开:[maxValueIndex + 1, right)
        root->right = traversal(nums, maxValueIndex + 1, right);

        return root;
    }
public:
    TreeNode* constructMaximumBinaryTree(vector<int>& nums) {
        return traversal(nums, 0, nums.size());
    }
};

617. 合并二叉树

image.png

递归法

  1. 确定递归函数的参数和返回值:

    • 要合入两个二叉树,那么参数至少是要传入两个二叉树的根节点,返回值就是合并之后二叉树的根节点。
  2. 确定终止条件:

    • 传入了两个树,那么就有两个树遍历的节点t1 和 t2,如果t1 == NULL 了,两个树合并就应该是 t2 了(如果t2也为NULL也无所谓,合并之后就是NULL)。反过来如果t2 == NULL,那么两个数合并就是t1(如果t1也为NULL也无所谓,合并之后就是NULL)。
  3. 确定单层递归的逻辑:

    • 重复利用一下t1这个树,t1就是合并之后树的根节点(就是修改了原来树的结构)。那么单层递归中,就要把两棵树的元素加到一起。
    • t1 的左子树是:合并 t1左子树 t2左子树之后的左子树。
    • t1 的右子树是:合并 t1右子树 t2右子树之后的右子树。
    • 最终t1就是合并之后的根节点。
class Solution {
public:
    TreeNode* mergeTrees(TreeNode* t1, TreeNode* t2) {
        if (t1 == NULL) return t2; // 如果t1为空,合并之后就应该是t2
        if (t2 == NULL) return t1; // 如果t2为空,合并之后就应该是t1
        // 修改了t1的数值和结构
        t1->val += t2->val;                             // 中
        t1->left = mergeTrees(t1->left, t2->left);      // 左
        t1->right = mergeTrees(t1->right, t2->right);   // 右
        return t1;
    }
};

层序遍历法

class Solution {
public:
    TreeNode* mergeTrees(TreeNode* t1, TreeNode* t2) {
        if (t1 == NULL) return t2;
        if (t2 == NULL) return t1;
        queue<TreeNode*> que;
        que.push(t1);
        que.push(t2);
        while(!que.empty()) {
            TreeNode* node1 = que.front(); que.pop();
            TreeNode* node2 = que.front(); que.pop();
            // 此时两个节点一定不为空,val相加
            node1->val += node2->val;

            // 如果两棵树左节点都不为空,加入队列
            if (node1->left != NULL && node2->left != NULL) {
                que.push(node1->left);
                que.push(node2->left);
            }
            // 如果两棵树右节点都不为空,加入队列
            if (node1->right != NULL && node2->right != NULL) {
                que.push(node1->right);
                que.push(node2->right);
            }

            // 当t1的左节点 为空 t2左节点不为空,就赋值过去
            if (node1->left == NULL && node2->left != NULL) {
                node1->left = node2->left;
            }
            // 当t1的右节点 为空 t2右节点不为空,就赋值过去
            if (node1->right == NULL && node2->right != NULL) {
                node1->right = node2->right;
            }
        }
        return t1;//最后返回t1
    }
};

700. 二叉搜索树中的搜索

image.png

自己:层序遍历法

class Solution {
public:
    TreeNode* searchBST(TreeNode* root, int val) {
        queue<TreeNode*> q;
        if(root!=nullptr) q.push(root);
        //用于保存结果
        TreeNode* res = nullptr;
        while(q.empty()==false){
            int size = q.size();
            //遍历每层
            for(int i = 0;i<size;i++){
                TreeNode* node = q.front();
                q.pop();
                if(node->left) q.push(node->left);
                if(node->right) q.push(node->right);
                //如果找到对应数值的那个节点,把res指向该节点
                if(node->val == val) res = node;
            }
        }
        return res;
    }
};

递归法

二叉搜索树是一个有序树:

  • 若它的左子树不空,则左子树上所有结点的值均小于它的根结点的值;
  • 若它的右子树不空,则右子树上所有结点的值均大于它的根结点的值;
  • 它的左、右子树也分别为二叉搜索树
  1. 确定递归函数的参数和返回值:

    • 递归函数的参数传入的就是根节点和要搜索的数值,返回的就是以这个搜索数值所在的节点。
  2. 确定终止条件

    • 如果root为空,或者找到这个数值了,就返回root节点。
  3. 确定单层递归的逻辑

    • 因为二叉搜索树的节点是有序的,所以可以有方向的去搜索。
    • 如果root->val > val,搜索左子树,如果root->val < val,就搜索右子树,最后如果都没有搜索到,就返回NULL。
class Solution {
public:
    TreeNode* searchBST(TreeNode* root, int val) {
        if (root == NULL || root->val == val) return root;
        TreeNode* result = NULL;
        if (root->val > val) result = searchBST(root->left, val);
        if (root->val < val) result = searchBST(root->right, val);
        return result;
    }
};

⭐简单迭代法

class Solution {
public:
    TreeNode* searchBST(TreeNode* root, int val) {
        while (root != NULL) {
            if (root->val > val) root = root->left;
            else if (root->val < val) root = root->right;
            else return root;
        }
        return NULL;
    }
};

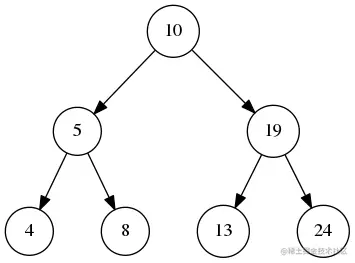
98. 验证二叉搜索树

image.png

二叉搜索树的中序遍历

image.png 中序遍历下,输出的二叉搜索树节点的数值是有序序列验证二叉搜索树,就相当于变成了判断一个序列是不是递增的了。

⭐递归法1——利用多余数组

可以递归中序遍历将二叉搜索树转变成一个数组,然后只要比较一下,这个数组是否是有序的,注意二叉搜索树中不能有重复元素

class Solution {
private:
    vector<int> vec;
    void traversal(TreeNode* root) {
        if (root == NULL) return;
        traversal(root->left);
        vec.push_back(root->val); // 将二叉搜索树转换为有序数组
        traversal(root->right);
    }
public:
    bool isValidBST(TreeNode* root) {
        vec.clear(); // 不加这句在leetcode上也可以过,但最好加上
        traversal(root);
        for (int i = 1; i < vec.size(); i++) {
            // 注意要小于等于,搜索树里不能有相同元素
            if (vec[i] <= vec[i - 1]) return false;
        }
        return true;
    }
};

陷阱1:不能单纯的比较左节点小于中间节点,右节点大于中间节点就完事了要比较的是 左子树所有节点小于中间节点,右子树所有节点大于中间节点image.png 节点10大于左节点5,小于右节点15,但右子树里出现了一个6 这就不符合了!

陷阱2:样例中最小节点 可能是int的最小值,如果这样使用最小的int来比较也是不行的。此时可以初始化比较元素为longlong的最小值。

递归法2——直接递归

  1. 确定递归函数,返回值以及参数

    • 定义一个longlong的全局变量,用来比较遍历的节点是否有序,因为后台测试数据中有int最小值,所以定义为longlong的类型,初始化为longlong最小值。
  2. 确定终止条件

    • 如果是空树 是不是二叉搜索树呢?是的,二叉搜索树也可以为空!
  3. 确定单层递归的逻辑

    • 中序遍历,一直更新maxVal,一旦发现maxVal >= root->val,就返回false,注意元素相同时候也要返回false。
class Solution {
public:
    long long maxVal = LONG_MIN; // 因为后台测试数据中有int最小值
    bool isValidBST(TreeNode* root) {
        if (root == NULL) return true;
        
        //左
        bool left = isValidBST(root->left);
        // 中序遍历,验证遍历的元素是不是从小到大
        if (maxVal < root->val) maxVal = root->val;
        else return false;
        //右
        bool right = isValidBST(root->right);

        return left && right;
    }
};

以上代码是因为后台数据有int最小值测试用例,所以都把maxVal改成了longlong最小值。

如果测试数据中有 longlong的最小值,怎么办?

不可能再初始化一个更小的值了吧。 建议避免 初始化最小值,如下方法取到最左面节点的数值来比较。

class Solution {
public:
    TreeNode* pre = NULL; // 用来记录前一个节点
    bool isValidBST(TreeNode* root) {
        if (root == NULL) return true;
        bool left = isValidBST(root->left);

        if (pre != NULL && pre->val >= root->val) return false;
        pre = root; // 记录前一个节点

        bool right = isValidBST(root->right);
        return left && right;
    }
};

迭代法(较难)

class Solution {
public:
    bool isValidBST(TreeNode* root) {
        stack<TreeNode*> st;
        TreeNode* cur = root;
        TreeNode* pre = NULL; // 记录前一个节点
        while (cur != NULL || !st.empty()) {
            if (cur != NULL) {
                st.push(cur);
                cur = cur->left;                // 左
            } else {
                cur = st.top();                 // 中
                st.pop();
                if (pre != NULL && cur->val <= pre->val)
                return false;
                pre = cur; //保存前一个访问的结点

                cur = cur->right;               // 右
            }
        }
        return true;
    }
};