Linux系统编程之进程

103 阅读2分钟

开启掘金成长之旅!这是我参与「掘金日新计划 · 2 月更文挑战」的第 18 天,点击查看活动详情

一、递归遍历目录:ls-R.c

  1. 判断命令行参数,获取用户要查询的目录名。 int argc, char *argv[1]

    argc == 1 --> ./

  2. 判断用户指定的是否是目录。 stat S_ISDIR(); --> 封装函数 isFile() { }

  3. 读目录:

read_dir() { 

	opendir(dir)

	whilereaddir()){

		普通文件,直接打印

		目录:
		              
                        拼接目录访问绝对路径。sprintf(path, "%s/%s", dir, d_name) 

			递归调用自己。--》 opendir(path) readdir closedir
	}

	closedir()

	}
	read_dir() --> isFile() ---> read_dir()

二、dup 和 dup2

int dup(int oldfd); 文件描述符复制。

oldfd: 已有文件描述符

返回:新文件描述符。

int dup2(int oldfd, int newfd); 文件描述符复制。重定向。

三、fcntl 函数实现 dup

int fcntl(int fd, int cmd, ....)

cmd: F_DUPFD

参3:

  • 被占用的,返回最小可用的。

  • 未被占用的, 返回=该值的文件描述符。

四、进程

  • 程序:死的。只占用磁盘空间。 ——剧本。

  • 进程;活的。运行起来的程序。占用内存、cpu等系统资源。 ——戏。

  • PCB进程控制块:

    进程id

    文件描述符表

    进程状态: 初始态、就绪态、运行态、挂起态、终止态。

    进程工作目录位置

    *umask掩码

    信号相关信息资源。

    用户id和组id

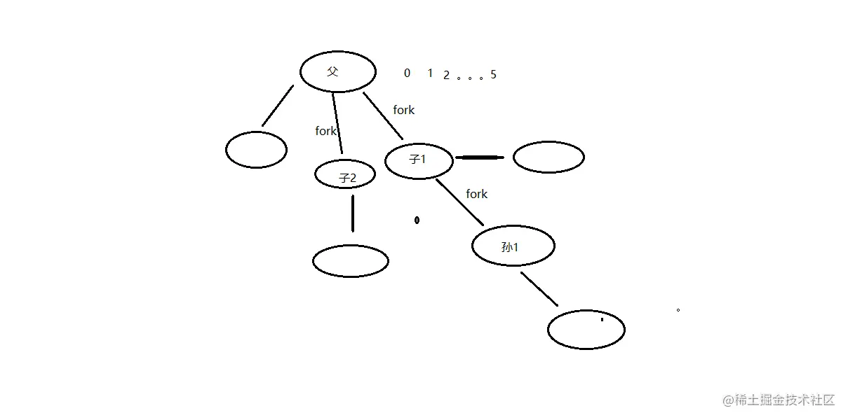
五、fork函数

pid_t fork(void)

创建子进程。父子进程各自返回。父进程返回子进程pid。 子进程返回 0.

getpid();getppid();

循环创建N个子进程模型。 每个子进程标识自己的身份。

fork函数示意图: fork函数.png

六、父子进程

  1. 父子进程相同:

    刚fork后。 data段、text段、堆、栈、环境变量、全局变量、宿主目录位置、进程工作目录位置、信号处理方式

  2. 父子进程不同:

    进程id、返回值、各自的父进程、进程创建时间、闹钟、未决信号集

  3. 父子进程共享:

    读时共享、写时复制。———————— 全局变量。

    1. 文件描述符 2. mmap映射区。

父子进程描述: fork+N个子进程.png