二叉搜索树与双向链表(剑指offer 36)Java

69 阅读2分钟

开启掘金成长之旅!这是我参与「掘金日新计划 · 2 月更文挑战」的第 16 天,点击查看活动详情

一、题目描述

输入一棵二叉搜索树,将该二叉搜索树转换成一个排序的循环双向链表。要求不能创建任何新的节点,只能调整树中节点指针的指向。

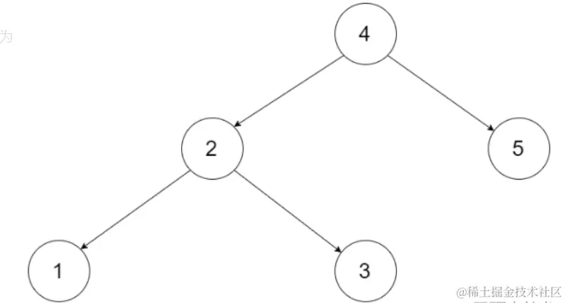
为了让您更好地理解问题,以下面的二叉搜索树为例:

image.png

我们希望将这个二叉搜索树转化为双向循环链表。链表中的每个节点都有一个前驱和后继指针。对于双向循环链表,第一个节点的前驱是最后一个节点,最后一个节点的后继是第一个节点。

下图展示了上面的二叉搜索树转化成的链表。“head” 表示指向链表中有最小元素的节点。

image.png

特别地,我们希望可以就地完成转换操作。当转化完成以后,树中节点的左指针需要指向前驱,树中节点的右指针需要指向后继。还需要返回链表中的第一个节点的指针。

二、思路讲解

题目要求我们返回的是一个有序的链表,已知二叉搜索树的中序遍历得到的是有序序列,那么我们就可以在遍历过程中做好left和right的指向。

问题一:第一个结点指向末尾结点和末尾结点指向第一个结点该怎么做?很简单,在遍历完单独处理一下就好了。

问题二: 如何让头结点指向最小的(第一个)节点?我们可以在遍历过程中判断一下,如果前驱节点为空,那就肯定是最小的那个节点,这样就巧妙地找到了头指针指向的位置。

三、Java代码实现

/*
// Definition for a Node.
class Node {
    public int val;
    public Node left;
    public Node right;
    public Node() {}
    public Node(int _val) {
        val = _val;
    }
    public Node(int _val,Node _left,Node _right) {
        val = _val;
        left = _left;
        right = _right;
    }
};
*/
class Solution {
    Node head, pre;
 
    public Node treeToDoublyList(Node root) {
        if(root == null){
            return null;
        }
        zhongxu(root);
        //补上特殊的两个指向
        head.left = pre;
        pre.right = head;
        return head;
    }
 
    //中序遍历
    void zhongxu(Node node){
        if(node == null){
            return;
        }
        zhongxu(node.left);
        if(pre!=null){
            pre.right = node;
        } else {    //如果前驱为空,说明是头结点,这是本题简化代码的精髓
            head = node;
        }
        node.left = pre;
        pre = node;
        zhongxu(node.right);
    }
}

四、时空复杂度

时间复杂度: O(N)

空间复杂度: O(N)