m基于LMMSE+turbo算法的信道估计均衡器误码率仿真,对比LS,DEF以及LMMSE三种均衡算法误码率

208 阅读3分钟

1.算法描述

       本文推导了符号间干扰(ISI)信道的矢量形状因子图表示。结果图具有树形结构,避免了现有图方法中的短周期问题。基于联合高斯近似,我们在LLR(对数似然比)之间建立了联系由二进制输入和LMMSE(线性最小均方误差)驱动的线性系统的估计器高斯输入驱动的线性系统的估计器。此连接有助于应用最近提出的ISI信道无周期图高斯消息传递技术。

 

       LMMSE+Turbo主要原理见如下文献:

1.png

 

 从参考文献中的内容可知,整个系统大概的结构如下所示:

 

2.png

 

所以,我们按这个结构进行编程设计。

 

LMMSE:

 

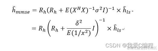
 首先将MMSE计算公式中的XHX用其均值来代替,即

 

3.png  

         为什么用均值来代替即时值能降低计算复杂度?这需要分析XHX里面的数据是什么,它是一个MM的矩阵,其对角线上是已知数据(导频信号)的功率,而其他位置的数据则是已知数据与其自身延迟数据的相关,该相关值可近似为满足标准正态分布的信号(均值为0)。那么对应到E(XHX),其对角线上的数据就是已知数据的平均功率,而其他位置的数据则为0。因此通过这种替代,可将hmmse进一步做如下化简

 

4.png

5.png

 

 其中SNR为接收信号的信噪比,而β则是与调制方式有关的一个常数。

 

TURBO:

 

      turbo Codes译码是一类具有反馈结构的伪随机译码器,2个码可以交替互不影响的译码,并且还可以通过关于系统码信息位的软判决输出相互传递信息,进行递推式迭代译码。Turbo译码结构如图1所示:

 

6.png

 

      Turbo码的译码算法主要分为两大类:一类是基于最大后验概率(Maximum A Posteriori,MAP)软输出算法,这类算法由标准MAP算法演化得来。对标准MAP算法取对数得到Log-MAP算法,对Log-MAP算法中的分支度量进行简化,得到MAX-Log-MAP算法。另一类是基于Viterbi算法的软输出算法,是对卷积码的译码算法Viterbi的改进,使其满足SISO特性,软信息可以在两个分量译码器之间交换。这种改进的Viterbi算法为软输出Viterbi算法(SOVA)。

 

2.仿真效果预览

matlab2022a仿真结果如下:

 

7.png

8.png

 

3.MATLAB核心程序 `for j=1:length(SNR_in_dB)

    %通过既有码间干扰又有白噪声信道

    for jj = 1:1000

        j

        jj

    info      = [ones(1,2048),func_random_binary(N)];%产生二进制信号序列

    %Encoder

    info2 = [];

    for ii = 1:(N+2048)/length(Interleaver)

        tmps  = info(length(Interleaver)*(ii-1)+1:length(Interleaver)*ii);

        info2 = [info2,tmps(Interleaver)];%交织

    end

    %turbo编码

    turbo_code = [func_turbo_encode_map(logical((info2+1)/2)),zeros(1,10000)];%82954,76810=6144

    %多径噪声信道

    [y,len,h]  = func_channel(2*turbo_code-1,SNR_in_dB(j));

    if j==1

       info4 = zeros(size(info));

    end

    %LMMSE均衡

    z          = func_LMMSE_eq(y,h,SNR_in_dB(j),info4);

    decis      = [2*[z>=0]-1]';

    %获得均衡后数据

    XX         = [decis(6:82953+5)];

 

    %demap_decode,译码

    output= 2*func_turbo_decode_demap(XX,ITER)-1;%82953

    

    %解交织

    info3 = [];

    for ii = 1:(N+2048)/length(De_Interleaver)

        tmps2  = output(length(De_Interleaver)*(ii-1)+1:length(De_Interleaver)*ii);

        info3 = [info3,tmps2(De_Interleaver)];%交织

    end

    

    %反馈,交织

    info4 = [];

    for ii = 1:(N+2048)/length(Interleaver)

        tmps3 = info3(length(Interleaver)*(ii-1)+1:length(Interleaver)*ii);

        info4 = [info4,tmps3(Interleaver)];%交织

    end

    

    %初始误码统计数

    NumErr1 = sum(info(1:27499)~=info3(1:27499));

    if NumErr1 == 0%无法统计到误码率

       NumErr1 = 1;

    end

    

    Pe4(j,jj)  = NumErr1/N;

    end

end;  

01-142m`