m基于多用户MIMO系统的分布式可重构注水算法的matlab仿真

181 阅读1分钟

1.算法描述

       在单用户MIMO场景中,空间复用技术能够带来高数据速率的传输,但是也需要一些前提条件,比如发射端的预编码或者接收端的信道估计与信号检测。然而,在大多数的通信系统中,不只是有单个用户在进行通信,而是需要大量用户共享资源与基站去进行通信。

 

       算法的主要流程根据提供的参考文献论文可知:

 

1.png

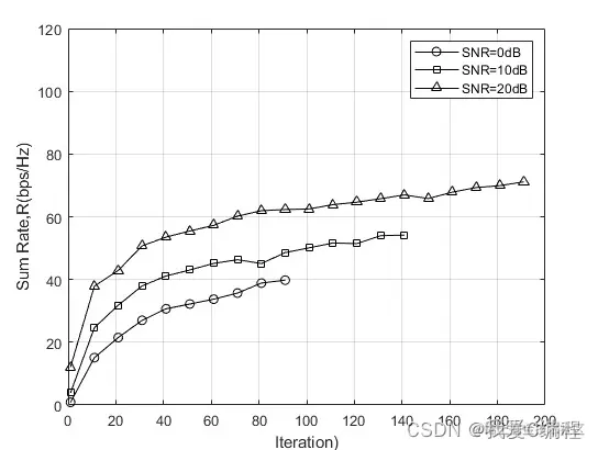
2.仿真效果预览

matlab2022a仿真结果如下:

24.png

25.png

26.png

27.png

28.png

3.MATLAB核心程序 `clc;

clear;

close all;

addpath 'func'

addpath 'func\cvx'

addpath 'func\cvx\structures'

addpath 'func\cvx\lib'

addpath 'func\cvx\functions'

addpath 'func\cvx\commands'

addpath 'func\cvx\builtins'

%调用cvx工具箱

cvx_setup;

clc;

 

 

Ntr          = 4;

Nrr          = 4;

Tc           = 200;

Frame_length = 40;

SNR          = [-10:1:1];

LoopNum      = 2000;

 

Rate1        = zeros(1,length(SNR));

Rate2        = zeros(1,length(SNR));

Rate3        = zeros(1,length(SNR));

 

BER1         = zeros(1,length(SNR));

BER2         = zeros(1,length(SNR));

BER3         = zeros(1,length(SNR));

 

 

for snr_j=1:length(SNR)

    snr_j

    sigma    = 1/(10.^(SNR(snr_j)/10));

    Rate1tmp = 0;

    Rate2tmp = 0;

    Rate3tmp = 0;

 

    count1   = 0;

    count2   = 0;

    count3   = 0;

    NUM      = LoopNumNrrFrame_length*Tc;

    for mtkl=1:LoopNum

        qpsk_1          = zeros(Frame_length,2*Tc);

        qpsk_2          = zeros(Frame_length,Tc);

        %调制

        [qpsk_1,qpsk_2] = func_QPSK(Frame_length,Tc);       

        %产生信道

        H_real          = randn(Frame_length,Ntr);

        H_imag          = randn(Frame_length,Ntr);

        H               = complex(H_real,H_imag);

        w_real          = sqrt(sigma/2)*randn(Frame_length,Tc);

        w_imag          = sqrt(sigma/2)*randn(Frame_length,Tc);

        w               = complex(w_real,w_imag);

        %Reconfigurable

        [Sh_tmp1,u1]    = func_Reconfigurable(Ntr,Frame_length,Nrr,H,sigma,1);

        [CNT1]          = func_rec1(Ntr,Nrr,[1:Nrr],Tc,qpsk_1,qpsk_2,H,sigma,w,u1,ones(1,Nrr),Sh_tmp1,NUM);      

        count1          = count1 + CNT1;

        %Optimized Subspaece IA

        [Sh_tmp2,u2]    = func_Optimized_Subspaece_IA(Ntr,Frame_length,Nrr,H,sigma);

        [CNT2]          = func_rec2(Ntr,Nrr,Sh_tmp2,Tc,qpsk_1,qpsk_2,H,sigma,w,u2,ones(1,Nrr),NUM);

        count2          = count2 + CNT2;

        %MaxSLNR

        [Sh_tmp3,u3]    = func_MaxSLNR(Ntr,Frame_length,Nrr,H,sigma);

        [CNT3]          = func_rec3(Ntr,Nrr,Sh_tmp3,Tc,qpsk_1,qpsk_2,H,sigma,w,u3,ones(1,Nrr),NUM);

        count3          = count3 + CNT3;

    end

 

    BER1(snr_j)=count1/(NUM);

    BER2(snr_j)=count2/(NUM);

    BER3(snr_j)=count3/(NUM);

end`