信道估计算法误码率仿真,对比不同导频长度,对比不同信道估计算法包括CS-OMP,LS,MMSE

192 阅读3分钟

1.算法描述

       所谓信道估计,就是从接收数据中将假定的某个信道模型的模型参数出来的过程。如果信道是线性的话,那么信道估计就是对系统冲激响应进行估计。

 

CS-OMP

 

       正则正交匹配追踪(Regularized OMP)算法在超宽带系统信道估计中的应用。OMP算法在应用于稀疏信号恢复时,具备贪婪算法计算速度快和计算复杂度低的特点。超宽带通信(UWB)系统的信道估计需要估计一组最大径的参数,而OMP具有能够可靠恢复近似稀疏含噪信号的能力,适用于UWB信道估计。

 

       假设需要重构信号x,现可将信号x抽象为RN空间的N×1维列向量,在RN空间中,任何信号均可以使用N×1的规范正交基向量:

 

1.png

 

       ∈RN为投影系数,但仅有K个非零元素(K<<N),此时是N维—K稀疏向量。在重构信号x时,仅需估计K个未知参数而不是N个实际的未知参数,从而大大减少了采样信号的量,同时可以恢复原信号x。在CS理论中,对需要重构的信号x的采样,实际上是利用M×N的矩阵的M个行向量对投影系数向量的一个线性投影过程。信号x经过线性变换后,输出的观测信号y包含M个参数,每一个参数均为信号x的一个观测量,即:

 

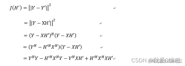
        在LS估计中,我们使用Y和Y‘’来进行计算,估计出的结果是H’而并非H,若估计的结果H’使得Y’与Y误差最小,则能得到的结果应该是H’与H(带三角)的误差最小,但H(带三角)也不是真实的信道矩阵,其内还包含了一个误差项Z/X,因此对于LS信道估计而言,其结果的精度是受这个误差项影响的,而这个误差项概括来说就是和SNR相关,SNR越大,误差项越小,LS估计精度越高。现依据LS最优准则对上式中H’进行估计,首先给出LS准则的代价函数。

 

2.png  

MMSE

 

依旧是给出假定的信号关系式

3.png

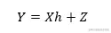
       Y为接收数据(包含多径)大小为Nx1。

       X为先验信息,大小为NXM。

       h为信道冲激响应,大小为MX1。

       Z为噪声,大小为NX1。

       MMSE信道估计的代价函数为

4.png

 

2.仿真效果预览

matlab2022a仿真结果如下:

 

5.png

6.png

7.png

8.png

 

3.MATLAB核心程序 `%频域信道估计

clc;

clear;

close all;

warning off;

addpath(genpath(pwd));

rng('default');

 

L1=31;

taps=6;%抽头数

K=taps;

 

%%%%%%%%%%%%%%%%%%%%%%%%%%%%%%%%%%%%%%%%%%%%%%%%%%%%%%%%%%%%%%%%%%%%%%

%---------------------------频域的信道脉冲响应----------------------%

%%%%%%%%%%%%%%%%%%%%%%%%%%%%%%%%%%%%%%%%%%%%%%%%%%%%%%%%%%%%%%%%%%%%%%

SNR = [0:5:30];

LEN = length(SNR);

 

l1=channel(L1,taps);

l2=channel(L1,taps);

h=cat(2,l1,l2)';

L=size(h,1);

cs=zeros(3,LEN);

ls=zeros(3,LEN);

mmse=zeros(3,LEN);

for t=1:3

    N1=16*t;%训练序列长度

N=N1*20;

[cs_mse_ave,ls_mse_ave,mmse_mse_ave]=MSE_com(N,L,K,h,N1);

cs(t,:)=cs_mse_ave;

ls(t,:)=ls_mse_ave;

mmse(t,:)=mmse_mse_ave;

end

A113`