JZ24 反转链表

70 阅读2分钟

“开启掘金成长之旅!这是我参与「掘金日新计划 · 2 月更文挑战」的第 9 天,点击查看活动详情

描述

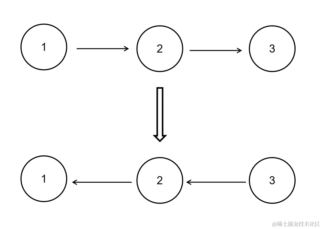
给定一个单链表的头结点pHead(该头节点是有值的,比如在下图,它的val是1),长度为n,反转该链表后,返回新链表的表头。

数据范围: 0≤n≤1000

要求:空间复杂度 O(1) ,时间复杂度 O(n) 。

如当输入链表{1,2,3}时,

经反转后,原链表变为{3,2,1},所以对应的输出为{3,2,1}。

以上转换过程如下图所示:

示例1

输入: {1,2,3}

返回值: {3,2,1}

示例2

输入: {}

返回值:{}

说明: 空链表则输出空                 

js实现代码

  1. 创建两个空指针
  2. p1 指针指向pHead 后面的链表,可以当做标记存储
  3. p2 指针用来创建新的反转链表。
function ReverseList(pHead) {
    // 判断链表为空或长度为1的情况
    if (pHead == null || pHead.next == null) {
        return pHead;
    }
    let p1 = null,
        p2 = null;
    while (pHead != null) {
        p1 = pHead.next;
        pHead.next = p2;
        p2 = pHead;
        pHead = p1;
    }
    return p2;
}
module.exports = {
    ReverseList: ReverseList,
};

举例说明

// 第1层循环:
   // p1: 2 -> 3 ->null
      p1 = pHead.next
   //* pHead: 1 -> null
      pHead.next = p2
   //* p2: 1 -> null
      p2 = pHead
   // pHead: 2 -> 3 ->null
      pHead = p1

// 第2层循环:
   // p1:  3 ->null
      p1 = pHead.next
   //* pHead: 2 -> 1 -> null
      pHead.next = p2
   //* p2: 2 -> 1 -> null
      p2 = pHead
   // pHead: 3 ->null
      pHead = p1

// 第3层循环:
   // p1: null
      p1 = pHead.next
   //* pHead: 3 -> 2 - >1 -> null
      pHead.next = p2
   //* p2: 3 -> 2 -> 1 -> null
      p2 = pHead
   // pHead: null
      pHead = p1

c代码实现

迭代思路:

将链表反转,就是将每个表元的指针从向后变成向前,那我们可以遍历原始链表,将遇到的节点一一指针逆向即可。指针怎么逆向?不过就是断掉当前节点向后的指针,改为向前罢了。

1cur.next = pre

具体做法:

  • step 1:优先处理空链表,空链表不需要反转。
  • step 2:我们可以设置两个指针,一个当前节点的指针,一个上一个节点的指针(初始为空)。
  • step 3:遍历整个链表,每到一个节点,断开当前节点与后面节点的指针,并用临时变量记录后一个节点,然后当前节点指向上一个节点,即可以将指针逆向。
  • step 4:再轮换当前指针与上一个指针,让它们进入下一个节点及下一个节点的前序节点。

图示:  alt

class Solution {
public:
    ListNode* ReverseList(ListNode* pHead) {
        //处理空链表
        if(pHead == NULL)
            return NULL;
        ListNode* cur = pHead;
        ListNode* pre = NULL;
        while(cur != NULL){
            //断开链表,要记录后续一个
            ListNode* temp = cur->next; 
            //当前的next指向前一个
            cur->next = pre; 
            //前一个更新为当前
            pre = cur; 
            //当前更新为刚刚记录的后一个
            cur = temp; 
        }
        return pre;
    }
};