K 个一组翻转链表

75 阅读1分钟

开启掘金成长之旅!这是我参与「掘金日新计划 · 2 月更文挑战」的第 16 天,点击查看活动详情

一、题目描述

这是 LeetCode 上的第二百三十四题:K 个一组翻转链表,难度为 困难

Tag:「链表」

给你链表的头节点 head ,每 k 个节点一组进行翻转,请你返回修改后的链表。

k 是一个正整数,它的值小于或等于链表的长度。如果节点总数不是 k 的整数倍,那么请将最后剩余的节点保持原有顺序。

你不能只是单纯的改变节点内部的值,而是需要实际进行节点交换。

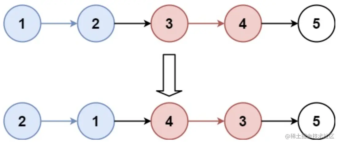
示例 1:

image.png

输入:head = [1,2,3,4,5], k = 2
输出:[2,1,4,3,5]

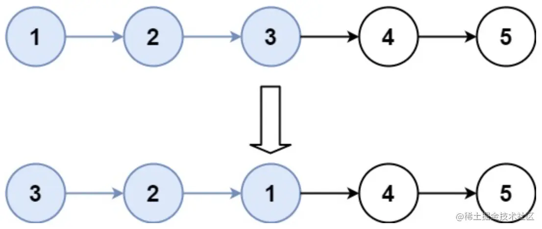
示例 2:

image.png

输入:head = [1,2,3,4,5], k = 3
输出:[3,2,1,4,5]

提示:

1、链表中的节点数目为 n

2、1 <= k <= n <= 5000

3、0 <= Node.val <= 1000

二、解题思路

1、链表分区为已翻转部分+待翻转部分+未翻转部分

2、每次翻转前,要确定翻转链表的范围,这个必须通过 k 此循环来确定

3、需记录翻转链表前驱和后继,方便翻转完成后把已翻转部分和未翻转部分连接起来

4、初始需要两个变量 pre 和 end,pre 代表待翻转链表的前驱,end 代表待翻转链表的末尾

5、经过k此循环,end 到达末尾,记录待翻转链表的后继 next = end.next

6、翻转链表,然后将三部分链表连接起来,然后重置 pre 和 end 指针,然后进入下一次循环

7、特殊情况,当翻转部分长度不足 k 时,在定位 end 完成后,end==null,已经到达末尾,说明题目已完成,直接返回即可

iShot_2023-02-18_11.51.45.png

代码实现:

class Solution {
    public ListNode reverseKGroup(ListNode head, int k) {
        ListNode hair = new ListNode(0);
        hair.next = head;

        ListNode pre = hair;
        ListNode end = hair;

        while(end.next != null){
            for(int i = 0; i < k && end != null; i++){
                end = end.next;
            }
            if(end == null)break;
            ListNode start = pre.next;
            ListNode next = end.next;
            end.next = null;
            pre.next = reverse(start);
            start.next = next;

            pre = start;
            end = start;
        }
        return hair.next;
    }

    private ListNode reverse(ListNode node){
        ListNode pre = null;
        ListNode curr = node;
        while(curr != null){
            ListNode next = curr.next;
            curr.next = pre;
            pre = curr;
            curr = next;
        }
        return pre;
    }
}

复杂度分析:

1、时间复杂度: O(n^K),最好的情况为 O(n) 最差的情况未 O(n^2)

2、空间复杂度: O(1),除了几个必须的节点指针外,我们并没有占用其他空间

三、总结

本道算法题难度为困难,一个清晰的思路很重要。

好了,本篇文章到这里就结束了,感谢你的阅读🤝