数理统计笔记

147 阅读1分钟

数理统计学习笔记,来自高数叔的百宝箱。B站同名博主。该文仅供学习参考,不得用于宣传盈利等其他用途,若有侵权联系请联系我删除。

1.抽样调查和样本

image.png

image.png

2.统计量

image.png 常用统计量

image.png 注意样本方差要除以的是n-1

3.抽样分布

image.png

4.卡方分布

image.png

5.t分布

image.png

6.F分布

image.png

7.正态整体的抽样分布

image.png 例题:

image.png

image.png

image.png

8.点估计

image.png

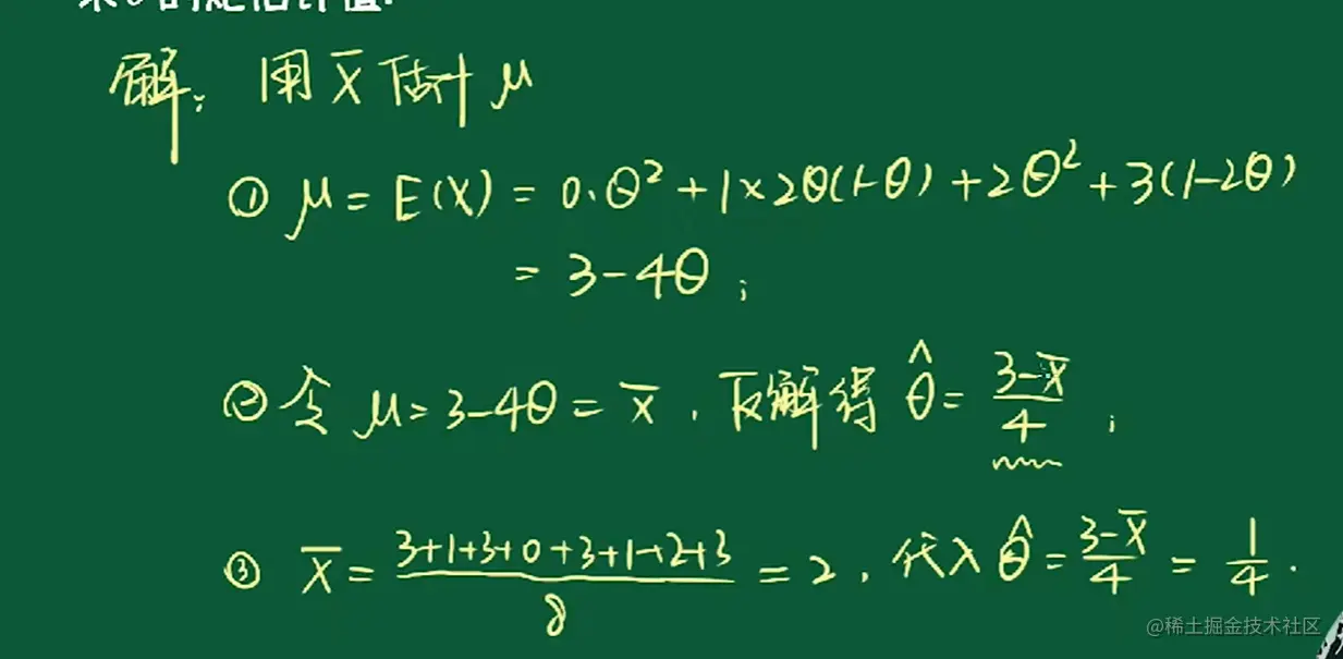
9.矩估计

image.png 例题

image.png

image.png

image.png

10.最大似然估计

image.png 例题 离散型 image.png

image.png 连续型

image.png

image.png

11.区间估计

image.png

image.png

image.png

例题

image.png

image.png

image.png

image.png

image.png

image.png

image.png 因为变的是区间,不是参数。AB说法有问题。

12.假设检验

image.png 例题和解法

image.png image.png

image.png

image.png

image.png

image.png

image.png

image.png