leetcode 783. Minimum Distance Between BST Nodes(python)

226 阅读1分钟

描述

Given the root of a Binary Search Tree (BST), return the minimum difference between the values of any two different nodes in the tree.

Example 1:

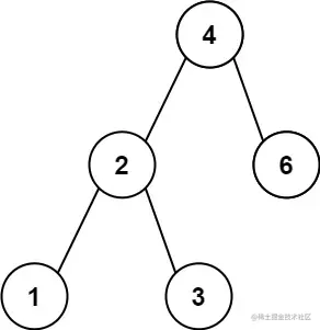
Input: root = [4,2,6,1,3]
Output: 1

Example 2:

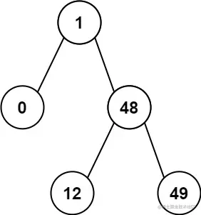
Input: root = [1,0,48,null,null,12,49]
Output: 1

Note:

The number of nodes in the tree is in the range [2, 100].
0 <= Node.val <= 10^5

解析

根据题意,给定二叉搜索树的根 root ,返回树中任意两个不同节点的值之间的最小差值。这道题其实很简单,我们只需要遍历所有的节点的值保存到列表中,然后找出某两个节点值的最小差值就可以了。

N 为节点个数,时间复杂度为 O(N ,空间复杂度为 O(N) 。

解答

class Solution(object):
    def minDiffInBST(self, root):
        self.vals = []
        self.inOrder(root)
        return min([self.vals[i + 1] - self.vals[i] for i in xrange(len(self.vals) - 1)])

    def inOrder(self, root):
        if not root:
            return 
        self.inOrder(root.left)
        self.vals.append(root.val)
        self.inOrder(root.right)

运行结果

Runtime 10 ms Beats 96.77%
Memory 13.6 MB Beats 62.37%

原题链接

leetcode.com/problems/mi…

您的支持是我最大的动力