概率论例题及简记

556 阅读1分钟

内容来自高数叔的百宝箱。仅供学习笔记使用,禁止传播,有条件请支持原作者高数叔的百宝箱的个人空间_哔哩哔哩_bilibili。侵删。

1.分步计数法vs分类计数法

image.png

2.基本概念

image.png

3.化简小例题

AxA_x代表第x名同学通过考试。一共3名同学。 image.png

image.png

image.png

4.加减法公式

image.png image.png

5.概率基础综合应用

image.png

6.几何概型

image.png

7.条件概率例题

image.png

image.png

8.全概率贝叶斯例题

image.png 答案2/32/3

9.独立事件

定义 image.png

image.png

image.png

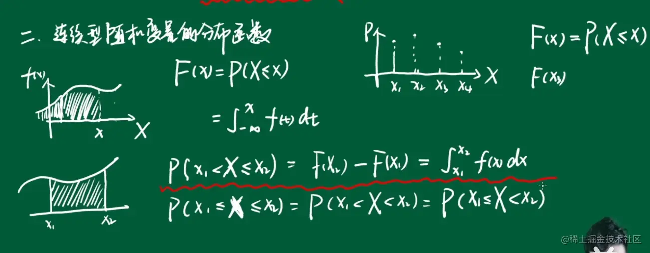
10.连续型随机变量概念

image.png

image.png 例题

image.png image.png image.png

image.png 另一种思路:算反面 image.png

11.指数分布

指数分布vs泊松分布 image.png

image.png

image.png 指数分布无记忆性

image.png

image.png

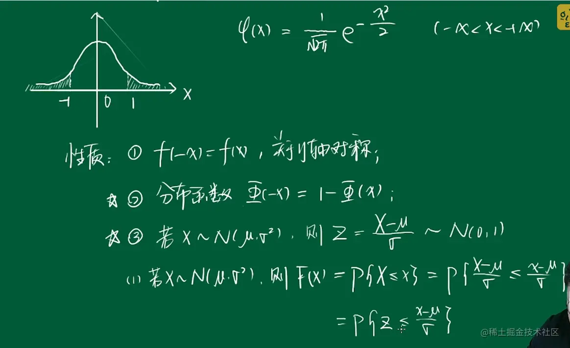
12.正态分布

正态分布的性质 image.png 标准正态分布的性质 image.png

image.png

image.png

13.分布函数的性质

image.png

14.联合分布律

image.png 如果用这个例子

image.png

那么答案就是 image.png

15.边缘分布

image.png image.png

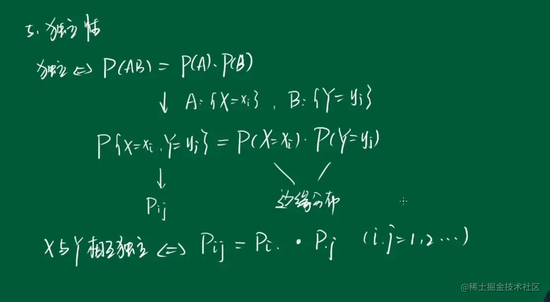
16.独立性

image.png

17.二维随机变量例题

image.png

image.png

image.png

image.png

18.联合分布函数

image.png

19.二维离散型的边缘分布

image.png 例题: image.png

image.png

image.png

20.独立性

image.png 例题

image.png

image.png

image.png

21.两个随机变量的函数

image.png 例题

image.png

image.png

22.数学期望

image.png

image.png

image.png

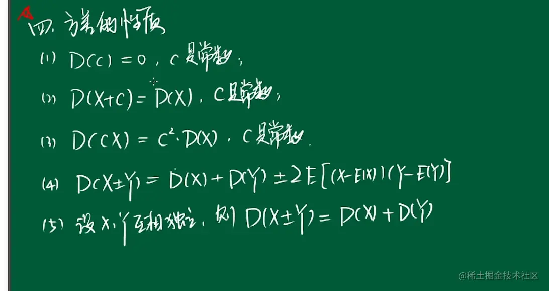
23.方差

image.png

image.png

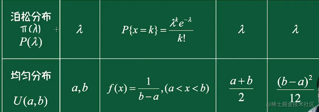
24.常见分布的期望方差

image.png

image.png

image.png

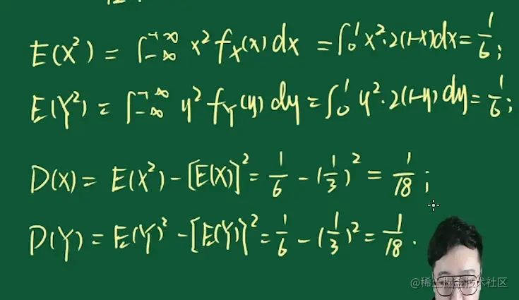
25.期望方差例题

image.png

image.png

image.png

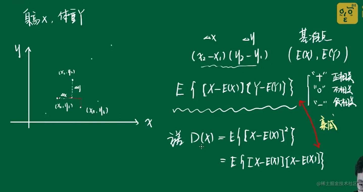
26.协方差

image.png

image.png

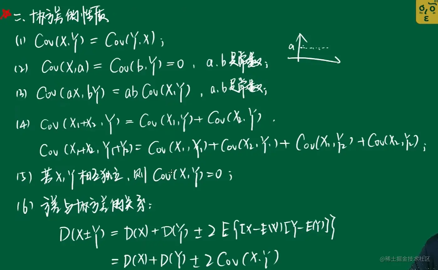
27.协方差性质

image.png

28.相关系数

推导:由正态分布标准化联想到的去量纲法 image.png

image.png

相关系数性质 image.png

例题

image.png

image.png

image.png

image.png

29.大数定律

伯努利大数定律 image.png

辛钦大数定律

image.png

30.中心极限定理

image.png

image.png 例题

image.png

image.png

image.png