m基于粒子群算法的分布式电源DG的优化配置

307 阅读6分钟

1.算法描述

       随着科技的发展,人民生活水平的不断提高,使得当今社会的发展对能源环保性和供电的可靠性的要求也不断提高。集中式供电系统由于污染大、可靠性差及操作难度大等缺陷越来越不能满足供电的要求。研究表明,集中式供电系统和分布式电源相结合可以降低配电网系统损耗,节省投资成本,增大系统的稳定性。但DG并网运行后会对系统的损耗、潮流分布、系统可靠性等方面造成影响,这些影响与分布式电源的位置和容量有关。所以,研究对分布式电源位置、容量优化配置问题具有重大意义。目前,对分布式电源选址定容的方法很多。本论文建立了系统有功损耗最小的单目标函数优化模型,并列写了相关的约束条件。介绍了不同的分布式电源的工作原理和并网接口类型,本论文中采用了双馈风力发电作为分布式电源。潮流计算的方法为前推回代法,使用遗传算法对分布式电源进行优化。针对遗传算法的不足,对遗传算法的选择操作进行了改进,从而提高了对问题解的查找能力,防止出现局部最优解的问题。

 

       分布式电源(Distributed Generation,简称DG),通常是指发电功率在几千瓦至数百兆瓦(也有建议在30~50兆瓦以下)的小模块化、分散式、布置在用户附近的高效、可靠的发电单元。

 

分布式电源与配电网相结合,其优点可简单总结为如下几个方面:

 

1)分布式电源占地面积小,装机容量小,且经常安装于用户和负荷附近,降低线路损耗,节约投资成本。而集中式电源集中式发电,需远距离传输至用户,这样会增大线路的损耗,线路过长使安装成本增高。

 

2)分布式电源通过合理的能量的梯级利用,增大了能量的使用率,从而减小能量的损耗。

 

3)分布式电源可以弥补供电安全性的不足,提高供电的稳定性,一般在负荷侧安装DG,通过与配电网结合,可以在配电网事故停电下维持重要用户供电,保证用户用电可靠性。

 

4)对分布式能源进行合理优化,能够减小系统的损耗,减少能源浪费。

 

5)对分布式电源的合理优化降低能源的损耗,减少资金的投入和对环境的污染。

 

        分布式电源作为一种绿色新能源,由于其具有能源利用率高且对环境污染小等优点,所以得到了广泛的应用研究。目前,分布式电源主要以备用电源的形式应用在工业、农业等领域。集中式供电系统中多个发电系统经过一个或几个变压器的汇集再并入配电网中,分布式供电系统中发电系统相互独立,每个发电系统都可以直接并入配电网。分布式电源和集中式电源最大的区别是安装在负荷点附近和规模较小,所以DG可以根据附近负荷需求量的大小,直接向负荷进或系统进行供电,一般情况下,不论为何种发电形式,只要是安装在用户附近的发电设备都可以定义为分布式电源。电力工业由单纯的集中式发电模式逐渐转型为以大型发电站为主、分布式电源为辅的新型发电模式,使供电方式更加灵活,从而提高了电能的质量、降低系统损耗。

 

       近年来,各个国家都致力于发展分布式电源,并取得一定的成果。在风力发电方面,欧洲拥有大量的风力资源,风力发电的发展已由陆地向海洋转移,集中式开发、远距离传输是以后的主流方向。在光伏发电方面,西方国家的建筑主要为中低层住宅,适合光伏发电。在天然气发电方面,欧美各国具有很高的天然气产量,而且管网设施发展完善,具有很好的发展条件,所以适宜发展天然气发电。我们国家的风力资源大部分在近海和三北地区,适合集中式发电,小部分的风力资源在中东部地区,有利于分布式发电。太阳能资源分布在西北地区既华北荒漠地区,适合集中式开发,且我们国家城市的建筑较高,太阳能发电条件不完善,城市地区不适合太阳能发电。天燃气的供应不足,管道设施不够完善,使天然气发电的发展受到限制。我国拥有大量的水力资源,与欧洲国家相比条件要好,发展前景广阔。目前,我们国家的分布式电源类型以水力发电为主,其发电技术也是非常先进。总之,我们国家分布式发电技术的发展不算落后,但是由于资源条件、政府政策和产业基础的影响,还是存在一定差异。

 

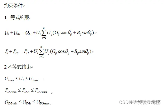
       目标函数:最小有功损耗

1.png

2.png

 

       潮流计算使用前推回代法,分为不含分布式电源和含分布式电源的潮流计算程序,并且在结果中要对不含分布式电源和含分布式电源的节点电压、支路电流、支路损耗进行画图对比,假如选择加两个分布式电源则在最终的结果中要展现出网络的损耗以及选择出来的两个分布式电源的位置以及容量(及就是功率),并画出进化曲线图。

  3.png

 

2.仿真效果预览

matlab2022a仿真结果如下:

 

4.png

5.png

6.png

7.png

 

3.MATLAB核心程序 `%%%%%%%给定初始化条件%%%%%%%%%%

%c1 学习因子1

%c2 学习因子2

%w惯性权重

%M最大迭代次数

%D搜索空间维数

%N初始化群体个体数目

clc;

clear;

close all;

warning off;

addpath(genpath(pwd));

rng('default')

 

 

tic  % 输出程序运行时间

global Vi  X Y Z;  %定义全局变量Vi

Num=33;

N = 50;

% c1 = 1.5;

% c2 = 2.5;

% c1 = 2;

% c2 = 2;

% c1 = 2.05;

% c2 = 2.05;

% w=0.9;

c1 = 1;

c2 = 1.5;

w =0.65;

M =500;

% M =200;

D = 6;

% D = 4;

%3DG

ub = [33 33 33  3  3  3];

% ub = [33 33 33  2.048  2.048  2.048];

lb = [2  2  2   0  0  0];

% ub = [33 33 33  3  3  3  3  3  3];

% lb = [2  2  2   0  0  0  0  0  0];

%2DG

% ub = [33 33   2  2];

% lb = [2  2    0  0];

%%%%%%%%%%%%%%%%%%初始化种群的个体(可在这里限制位置和速度的范围)%%%%%

for i = 1:N

    for j = 1:D

        ub_j=ub(j);

        lb_j=lb(j);

        if j < 4

%           if j<3

            x(i,j) = round(rand(1,1).*(ub_j-lb_j))+lb_j;

        else

            x(i,j)=rand(1,1).*(ub_j-lb_j)+lb_j;

        end

%         x(i,j) = randn;    %随机初始化位置

        v(i,j) = randn;    %随机初始化速度

    end

end

 

%%%%%%%%%%%%先计算各个粒子的适应度值,并初始化pi和pg%%%%%%%%%

for i = 1:N

    p(i) = fitness(x(i,:));

    y(i,:) = x(i,:);

end

pg = x(N,:);    %pg为全局最优

for i = 1:(N-1)

    if fitness(x(i,:)) < fitness(pg)

        pg = x(i,:);

    end

end

 

%%%%%%%%%%进入主要循环,按照公式依次迭代,直到满足精度要求%%%%%%%%%%%

for t = 1:M

    t

    for i = 1:N        %更新速度 位移

        v(i,:) = wv(i,:)+c1rand*(y(i,:)-x(i,:)-x(i,:))+c2rand(pg-x(i,:));

        x(i,:) = x(i,:) + v(i,:);

        for j = 1:D

            ub_j=ub(j);

            lb_j=lb(j);

            if j<4

%               if j < 3

               if x(i,j) > ub(j)

                    x(i,j) = round(rand(1,1).*(ub_j-lb_j))+lb_j;

              elseif x(i,j) < lb(j)

                      x(i,j) = round(rand(1,1).*(ub_j-lb_j))+lb_j;

%         else

%             x(i,j)=rand(1,1).*(ub_j-lb_j)+lb_j;

             end

            else

                if x(i,j) > ub(j)

                    x(i,j)=rand(1,1).*(ub_j-lb_j)+lb_j;

                elseif x(i,j) < lb(j)

                    x(i,j)=rand(1,1).*(ub_j-lb_j)+lb_j;

                end

            end

        end

        x(i,[1,2,3]) = round(x(i,[1,2,3]));

%           x(i,[1,2]) = round(x(i,[1,2]));

        if fitness(x(i,:)) < p(i)

            p(i) = fitness(x(i,:));

            y(i,:) = x(i,:);

        end

        if p(i) < fitness(pg)

            pg = y(i,:);

        end

   end

    Pbest(t) = fitness(pg);

end`