【刷力扣 TS 版】难度 中等 链表专题(三)

122 阅读2分钟

开启掘金成长之旅!这是我参与「掘金日新计划 · 2 月更文挑战」的第 15 天,点击查看活动详情

前言

拒绝摆烂ヾ(◍°∇°◍)ノ゙

从今天开始(2023/02/12),定一个小目标,先刷个 300Leetcode 题目(之前刷的不计入)。

当然作为一个小前端,我选择的语言是 TS,而且刷的题目的难度会偏中等一些,大概按照 简单3 中等6 困难1 这样的题型分布吧。嗯,目前是这么打算的。

本题 Github 地址:因为比较喜欢 vscode 的界面,而且方便调试,所以 AC 完就顺便提到 github 了,也算做一个记录吧。

本篇的题目是这个系列的第

  1. NO.1224. 两两交换链表中的节点
  2. NO.1361. 旋转链表
  3. NO.1482. 删除排序链表中的重复元素 II
  4. NO.1586. 分隔链表
  5. no.1692. 反转链表 II

1. 两辆交换链表中的节点

1.1 题目描述

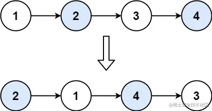
给你一个链表,两两交换其中相邻的节点,并返回交换后链表的头节点。你必须在不修改节点内部的值的情况下完成本题(即,只能进行节点交换)。

示例 1:

输入: head = [1,2,3,4]
输出: [2,1,4,3]

示例 2:

输入: head = []
输出: []

示例 3:

输入: head = [1]
输出: [1]

提示:

  • 链表中节点的数目在范围 [0, 100] 内
  • 0 <= Node.val <= 100

1.2 解法一: 迭代

思路:

  1. 定义 prev curr next 三个变量。一般来说交换两个节点我们只需要定义 当前节点 curr 以及 下一个节点 next 即可,通过 curr.next = next.next.next; next.next = curr ,但是考虑到交换两个节点对前后节点的影响,我们还需要一个 prev 表示上一个节点。
  2. currnextnull 时,直接返回 head
  3. 对第一个和第二个节点的交换做特殊处理,因为只有第一个和第二个节点交换时会改变 head 的指向
function swapPairs(head: ListNode | null): ListNode | null {
  let prev: ListNode | null = null;
  let curr: ListNode | null = head;
  let next: ListNode | null = head?.next ?? null;
  let flag: boolean = true;
  if (!curr || !next) return head;

  while (curr && next) {
    if (flag) {
      flag = false;
      curr.next = next.next;
      next.next = curr;
      head = next;
    } else {
      curr.next = next.next;
      next.next = curr;
      prev!.next = next;
    }
    prev = curr;
    curr = curr.next;
    next = curr?.next || null;
  }

  return head;
}

复杂度分析:

  • 时间复杂度:O(n)
  • 空间复杂度:O(1)

1.2 解法二:递归

我们可以用递归的方法解决

递归要考虑的三点:

  1. 返回值:返回两个节点交换后的头节点(比如 1 -> 2 返回 2 -> 1 中的 2)
  2. 递归终止条件:当要交换的节点小于两个时
  3. 递归的单层逻辑:将 第二的节点指向第一个节点,第一个节点指向下一次递归返回的头节点
function swapPairs(head: ListNode | null): ListNode | null {
  if (!head || !head.next) return head;
  let one: ListNode | null = head;
  let two: ListNode | null = one.next;
  let three: ListNode | null = two?.next ?? null;

  two!.next = one;
  one.next = swapPairs(three);

  return two;
}

复杂度分析:

  • 时间复杂度:O(n)
  • 空间复杂度:O(n)

2. 旋转链表

2.1 题目描述

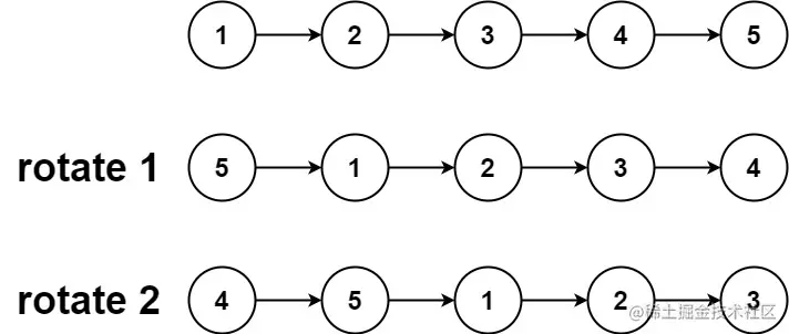
给你一个链表的头节点 head ,旋转链表,将链表每个节点向右移动 k **个位置。

 

示例 1:

输入: head = [1,2,3,4,5], k = 2
输出: [4,5,1,2,3]

示例 2:

输入: head = [0,1,2], k = 4
输出: [2,0,1]

 

提示:

  • 链表中节点的数目在范围 [0, 500] 内
  • -100 <= Node.val <= 100
  • 0 <= k <= 2 * 109

2.2 解

链表只要肯画图,而且舍得用变量就问题不大

思路:我们可以将题目中 最后一个节点往前移 k 个位置 的问题 转换为 第一个节点往后移动 len - k 个位置。因为我们在移动完第一个节点后第二个节点是很好拿到的,而移动完最后一个节点,倒数第二个节点很难拿到(又要在遍历一遍)

步骤:

  1. 定义一个指向第一个节点的 curr 变量 和指向尾部节点的 curr 变量
  2. 循环遍历一遍链表,拿到链表的长度 len
  3. 在遍历一遍将前面的节点往尾部移
function rotateRight(head: ListNode | null, k: number): ListNode | null {
  if(!head || !head.next) return head
  let curr: ListNode | null = head;
  let tail: ListNode | null = null;
  let len = 0;
  while (curr) {
    curr = curr.next;
    len++;

    if (curr && !curr?.next) {
      tail = curr;
    }
  }
  curr = head;
  k = k % len;
  for (let i = 0; i < len - k; i++) {
    /* 前面的换后移 */ 
    head = head?.next ?? null;
    tail!.next = curr;
    curr!.next = null;
    tail = curr;
    curr = head
  }

  return head;
}

复杂度分析:

  • 时间复杂度:O(n),最坏的情况下遍历两遍链表
  • 空间复杂度:O(1),我们只需要常数的空间存储若干变量

3. 删除排序链表中的重复元素 II

3.1 题目描述

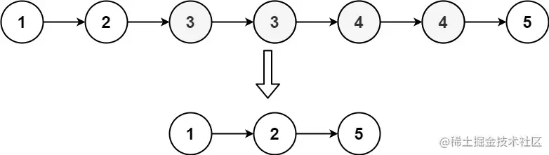
给定一个已排序的链表的头 head , 删除原始链表中所有重复数字的节点,只留下不同的数字 。返回 已排序的链表 。

 

示例 1:

输入: head = [1,2,3,3,4,4,5]
输出: [1,2,5]

示例 2:

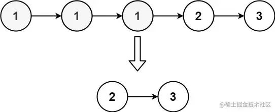
输入: head = [1,1,1,2,3]
输出: [2,3]

 

提示:

  • 链表中节点数目在范围 [0, 300] 内
  • -100 <= Node.val <= 100
  • 题目数据保证链表已经按升序 排列

3.2 题解

思路:

因为题目明确了链表时顺序排列的,所以我们只要循环一次遍历即可

步骤:

  1. 定义 prevNode currNode nextNode 三个变量节点
  2. 遍历链表,当碰到相同节点时,继续往后遍历,因为相同的节点有可能有多个,拿到最后一个相同的节点
    1. 这时还要判断一下相同的节点是否与头节点相同,如果相同说明相同的节点全部集中在头部,此时 prevNodenull,也就是没有前面的节点
    2. 如果不相同,则删除这几个相同的节点即可
  3. 没找到相同的节点就继续往后遍历,知道链表的全部节点遍历完成
function deleteDuplicates(head: ListNode | null): ListNode | null {
  let prevNode: ListNode | null = null;
  let currNode: ListNode | null = head;
  let nextNode: ListNode | null = head?.next ?? null;

  if (!nextNode) return head;

  while (currNode && nextNode) {
    if (currNode.val === nextNode.val) {
      while (nextNode.next && nextNode.next.val === currNode.val) {
        nextNode = nextNode.next;
      }
      if (head!.val === currNode.val) {
        head = nextNode.next;
        prevNode = null
      } else {
        prevNode!.next = nextNode.next;
      }

      currNode = nextNode.next;
      nextNode = nextNode.next?.next ?? null;
    } else {
      prevNode = currNode;
      currNode = currNode.next;
      nextNode = nextNode.next;
    }
  }
  return head;
}

复杂度分析:

  • 时间复杂度:O(n)
  • 空间复杂度:O(1)

4. 分隔链表

4.1 题目描述

给你一个链表的头节点 head 和一个特定值 **x ,请你对链表进行分隔,使得所有 小于 x 的节点都出现在 大于或等于 x 的节点之前。

你应当 保留 两个分区中每个节点的初始相对位置。

 

示例 1:

输入: head = [1,4,3,2,5,2], x = 3
输出:[1,2,2,4,3,5]

示例 2:

输入: head = [2,1], x = 2
输出:[1,2]

 

提示:

  • 链表中节点的数目在范围 [0, 200] 内
  • -100 <= Node.val <= 100
  • -200 <= x <= 200

4.2 解

我可以直接说看完这题的时候我是没思路的,还在想要怎么将小的节点换到前面,打的节点换到后面,后来感觉太麻烦了,就去瞄了一眼答案,才恍然大悟。

思路:这题直接构建新的链表会简单很多,一个 small 链表,一个 large 链表,分别存放比 k 小的节点和比 k 大的节点,最后只要拼接一下这两个链表就行了。

function partition(head: ListNode | null, x: number): ListNode | null {
  let small: ListNode | null = new ListNode();
  const smallHead: ListNode | null = small;
  let large: ListNode | null = new ListNode();
  const largeHead: ListNode | null = large;

  while (head) {
    if (head.val < x) {
      small.next = head;
      small = small.next;
    } else {
      large.next = head;
      large = large.next;
    }
    head = head.next
  }
  large.next = null
  small.next = largeHead.next
  return smallHead.next
}

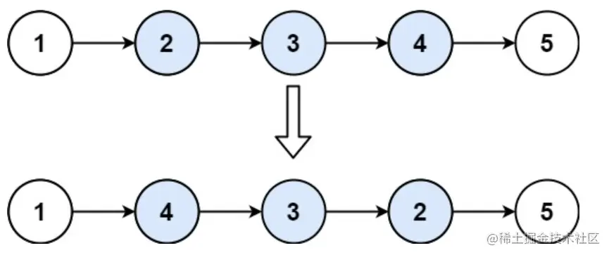
5. 反转链表 II

5.1 题目描述

给你单链表的头指针 head 和两个整数 left 和 right ,其中 left <= right 。请你反转从位置 left 到位置 right 的链表节点,返回 反转后的链表 。

示例 1:

image.png

输入: head = [1,2,3,4,5], left = 2, right = 4
输出: [1,4,3,2,5]

示例 2:

输入: head = [5], left = 1, right = 1
输出: [5]

提示:

  • 链表中节点数目为 n
  • 1 <= n <= 500
  • -500 <= Node.val <= 500
  • 1 <= left <= right <= n

进阶:  你可以使用一趟扫描完成反转吗?

5.2 解

思路:这道题可以先将要反转的部分捞出来,在通过 206. 反转链表 的方法将捞出来的部分反转,再拼接回去。因为要拼接回去,就要记录拼接左边链表的尾节点以及拼接右边链表的头结点

  1. 第一次循环拿到 lefTailrightHead
  2. 第二次循环拿到 reverseHead,移除不需要翻转的节点
  3. reverseList 翻转节点 再拿到翻转节点的头结点和尾节点 reverseHead reverseTail
  4. 最后拼接上去
// Definition for singly-linked list.
class ListNode {
  val: number;
  next: ListNode | null;
  constructor(val?: number, next?: ListNode | null) {
    this.val = val === undefined ? 0 : val;
    this.next = next === undefined ? null : next;
  }
}

// 1 -> 2 -> 3 -> 4 -> 5
// 1 <- 2 <- 3 <- 4 <- 5
function reverseList(head: ListNode | null): ListNode | null {
  if (!head) return head;
  let prev: ListNode | null = null;
  let curr: ListNode | null = head;
  let next: ListNode | null = head.next;
  while (curr && next) {
    curr.next = prev;
    prev = curr;
    curr = next;
    next = next.next;
  }
  curr.next = prev;

  return curr;
}

// 1 -> 2 -> 3 -> 4 -> 5
// LEFT:2 RIGHT:4
// 1 <- 4 <- 3 <- 2 <- 5
function reverseBetween(
  head: ListNode | null,
  left: number,
  right: number
): ListNode | null {
  let curr: ListNode | null = head;
  let count: number = 1;
  let lefTail: ListNode | null = null;
  let rightHead: ListNode | null = null;
  let reverseHead: ListNode | null = null;

  if ((curr && !curr.next) || left === right) return head;
 

  while (curr) {
    if (count === left - 1) lefTail = curr;
    if (count === right + 1) rightHead = curr;
    curr = curr.next;
    count++;
  }
  curr = head;
  count = 1;
  
  while (curr) {
    if (count === left) reverseHead = curr;

    if (count === right) curr.next = null;

    curr = curr.next;
    count++;
  }
  reverseHead = reverseList(reverseHead);
  
  if (lefTail) lefTail!.next = reverseHead;
  else head = reverseHead;

  let reverseTail: ListNode | null = reverseHead;
  while (reverseTail && reverseTail.next) {
    reverseTail = reverseTail.next;
  }
  reverseTail!.next = rightHead;
  return head;
}

复杂度分析

  • 时间复杂度:O(N),最坏遍历了三次链表

  • 空间复杂度:O(1)。只使用到常数个变量。