OpenCV 10: 图像阈值

302 阅读6分钟

开启掘金成长之旅!这是我参与「掘金日新计划 · 2 月更文挑战」的第 12 天,点击查看活动详情

目标

  • 在本教程中,将学习简单阈值,自适应阈值和Otsu阈值
  • 将学习函数cv2.thresholdcv2.adaptiveThreshold

简单阈值

直截了当, 对于每个像素,应用相同的阈值。如果像素值小于阈值,则将其设置为0,否则将其设置为最大值。函数cv2.threshold用于应用阈值。**第一个参数是源图像,它应该是灰度图像。第二个参数是阈值,用于对像素值进行分类。第三个参数是分配给超过阈值的像素值的最大值。OpenCV提供了不同类型的阈值,这由函数的第四个参数给出。通过使用cv.THRESH_BINARY类型。所有简单的阈值类型为:

  • cv2.THRESH_BINARY
  • cv2.THRESH_BINARY_INV
  • cv2.THRESH_TRUNC
  • cv2.THRESH_TOZERO
  • cv2.THRESH_TOZERO_INV

该方法返回两个输出。第一个是使用的阈值,第二个输出是阈值后的图像。

ret, dst = cv2.threshold(src, thresh, maxval, type)

  • src: 输入图,只能输入单通道图像,通常来说为灰度图
  • dst: 输出图
  • thresh: 阈值
  • maxval: 当像素值超过了阈值(或者小于阈值,根据type来决定),所赋予的值type:二值化操作的类型,包含以下5种类型: cv2.THRESH_BINARY; cv2.THRESH_BINARY_INV; cv2.THRESH_TRUNC; cv2.THRESH_TOZERO;cv2.THRESH_TOZERO_INV

此代码比较了不同的简单阈值类型:

import cv2
import numpy as np
from matplotlib import pyplot as plt
img = cv2.imread('messi.png', 0)
ret, thresh1 = cv2.threshold(img, 127, 255, cv2.THRESH_BINARY)
ret, thresh2 = cv2.threshold(img, 127, 255, cv2.THRESH_BINARY_INV)
ret, thresh3 = cv2.threshold(img, 127, 255, cv2.THRESH_TRUNC)
ret, thresh4 = cv2.threshold(img, 127, 255, cv2.THRESH_TOZERO)
ret, thresh5 = cv2.threshold(img, 127, 255, cv2.THRESH_TOZERO_INV)

titles = ['Original  Image','BINARY','BINARY_INV','TRUNC','TOZERO','TOZERO_INV']

images = [img, thresh1, thresh2, thresh3, thresh4, thresh5]

for i in range(6):
    plt.subplot(2, 3, i+1)
    plt.imshow(images[i], 'gray')
    plt.title(titles[i])
    plt.xticks([])
    plt.yticks([])
plt.show()

注意 为了绘制多个图像,使用plt.subplot()函数。请查看matplotlib文档以获取更多详细信息。

该代码产生以下结果: 在这里插入图片描述

自适应阈值

在上一节中,使用一个全局值作为阈值。但这可能并非在所有情况下都很好,例如,如果图像在不同区域具有不同的光照条件。在这种情况下,自适应阈值阈值化可以提供帮助。在此,算法基于像素周围的小区域确定像素的阈值。因此,对于同一图像的不同区域,获得了不同的阈值,这为光照度变化的图像提供了更好的结果。

除上述参数外,方法cv2.adaptiveThreshold还包含三个输入参数:

  • adaptiveMethod 决定阈值是如何计算的:
  • cv2.ADAPTIVE_THRESH_MEAN_C 阈值是邻近区域的平均值减去常数C
  • cv2.ADAPTIVE_THRESH_GAUSSIAN_C 阈值是邻域值的高斯加权总和减去常数C

该BLOCKSIZE确定附近区域的大小,C是从邻域像素的平均或加权总和中减去的一个常数

dst = cv2.adaptiveThreshold(src, maxval, thresh_type, type, Block Size, C)

  • src: 输入图,只能输入单通道图像,通常来说为灰度图
  • dst: 输出图
  • maxval: 当像素值超过了阈值(或者小于阈值,根据type来决定),所赋予的
  • thresh_type: 阈值的计算方法,包含以下2种类型:cv2.ADAPTIVE_THRESH_MEAN_C; cv2.ADAPTIVE_THRESH_GAUSSIAN_C.
  • type:二值化操作的类型,与固定阈值函数相同,包含以下5种类型:cv2.THRESH_BINARY; cv2.THRESH_BINARY_INV; cv2.THRESH_TRUNC;cv2.THRESH_TOZERO;cv2.THRESH_TOZERO_INV.
  • Block Size: 图片中分块的大小
  • C :阈值计算方法中的常数项

下面的代码比较了光照变化的图像的全局阈值和自适应阈值:

img = cv2.imread('sudo.png', 0)
ret, thresh1 = cv2.threshold(img, 127, 255, cv2.THRESH_BINARY)
thresh2 = cv2.adaptiveThreshold(img, 255, cv2.ADAPTIVE_THRESH_MEAN_C, cv2.THRESH_BINARY, 11, 2)
thresh3 = cv2.adaptiveThreshold(img, 255, cv2.ADAPTIVE_THRESH_GAUSSIAN_C, cv2.THRESH_BINARY, 11, 2)
titles = ['Original Image', 'Global Thresholding (v = 127)', 'Adaptive Mean Thresholding', 'Adaptive Gaussian Thresholding']

images = [img, thresh1, thresh2, thresh3]

for i in range(4):
    plt.subplot(2, 2, i+1)
    plt.imshow(images[i], 'gray')
    plt.title(titles[i])
    plt.xticks([])
    plt.yticks([])
plt.show()

结果: 在这里插入图片描述

Otsu的二值化

在全局阈值化中,使用任意选择的值作为阈值。相反,Otsu的方法避免了必须选择一个值并自动确定它的情况。

考虑仅具有两个不同图像值的图像(双峰图像),其中直方图将仅包含两个峰。一个好的阈值应该在这两个值的中间。类似地,Otsu的方法从图像直方图中确定最佳全局阈值。

为此,使用了cv2.threshold作为附加标志传递。阈值可以任意选择。然后,算法找到最佳阈值,该阈值作为第一输出返回

Otsu’s Binarization: 基于直方图的二值化 Otsu过程:

  1. 计算图像直方图;
  2. 设定一阈值,把直方图强度大于阈值的像素分成一组,把小于阈值的像素分成另外一组;
  3. 分别计算两组内的偏移数,并把偏移数相加;
  4. 把0~255依照顺序多为阈值,重复1-3的步骤,直到得到最小偏移数,其所对应的值即为结果阈值。

以下示例。输入图像为噪点图像。

  • 在第一种情况下,采用值为127的全局阈值
  • 在第二种情况下,直接采用Otsu阈值法
  • 在第三种情况下,首先使用5x5高斯核对图像进行滤波以去除噪声,然后应用Otsu阈值处理。了解噪声滤波如何改善结果
import cv2
import numpy as np
from matplotlib import pyplot as plt
img = cv.imread('noisy.png',0)
# 全局阈值
ret1,th1 = cv2.threshold(img,127,255,cv.THRESH_BINARY)
# Otsu阈值
ret2, th2 = cv2.threshold(img,0,255, cv2.THRESH_BINARY+cv.THRESH_OTSU)
# 高斯滤波后再采用Otsu阈值
blur = cv2.GaussianBlur(img,(5,5), 0)
ret3,th3 = cv2.threshold(blur,0,255, cv2.THRESH_BINARY+cv.THRESH_OTSU)
# 绘制所有图像及其直方图
images = [img, 0, th1,
          img, 0, th2, 
          blur, 0, th3]
titles = ['Original Noisy Image','Histogram','Global Thresholding (v=127)',
          'Original Noisy Image','Histogram',"Otsu's Thresholding",
          'Gaussian filtered Image','Histogram',"Otsu's Thresholding"]
for i in range(3):
    plt.subplot(3,3,i*3+1),plt.imshow(images[i*3],'gray')
    plt.title(titles[i*3]), plt.xticks([]), plt.yticks([])
    plt.subplot(3,3,i*3+2),plt.hist(images[i*3].ravel(),256)
    plt.title(titles[i*3+1]), plt.xticks([]), plt.yticks([])
    plt.subplot(3,3,i*3+3),plt.imshow(images[i*3+2],'gray')
    plt.title(titles[i*3+2]), plt.xticks([]), plt.yticks([])
plt.show()

在这里插入图片描述

Otsu的二值化如何实现?

本节演示了Otsu二值化的Python实现,以展示其实际工作方式。如果不感兴趣,可以跳过此步骤。

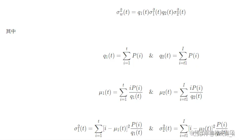
由于我们正在处理双峰图像,因此Otsu的算法尝试找到一个阈值(t),该阈值将由关系式给出的加权类内方差最小化

在这里插入图片描述

​实际上,它找到位于两个峰值之间的t值,以使两个类别的差异最小。它可以简单地在Python中实现,如下所示:

import cv2
import numpy as np
from matplotlib import pyplot as plt
img = cv2.imread('noisy.png',0)
blur = cv2.GaussianBlur(img, (5, 5), 0)
#寻找归一化直方图和对应的累积分布函数
hist = cv2.calcHist([blur],[0],None,[256],[0,256])
hist_norm = hist.ravel()/hist.max()
Q = hist_norm.cumsum()
bins = np.arange(256)
fn_min = np.inf
thresh = -1
for i in range(1,256):
    p1, p2 = np.hsplit(hist_norm, [i]) # 概率
    q1, q2 = Q[i],Q[255]-Q[i]  # 对类求和
    b1, b2 = np.hsplit(bins,[i]) # 权重
    # 寻找均值和方差
    m1, m2 = np.sum(p1*b1)/q1, np.sum(p2*b2)/q2
    v1, v2 = np.sum(((b1-m1)**2)*p1)/q1,np.sum(((b2-m2)**2)*p2)/q2
    # 计算最小化函数
    fn = v1*q1 + v2*q2
    if fn < fn_min:
        fn_min = fn
        thresh = i
#使用OpenCV函数找到otsu的阈值
ret, otsu = cv.threshold(blur, 0, 255, cv2.THRESH_BINARY+cv2.THRESH_OTSU)
print( "{} {}".format(thresh,ret) )
# 输出
118 117.0  可以看见两个值是非常相近的

其他资源

  • Digital Image Processing, Rafael C. Gonzalez