软考系列之系统架构设计师:2022 综合知识(1-3)

408 阅读3分钟

本文记录 2022 年系统构架设计师综合知识 1-3 题。

第一题

云计算服务体系结构如下图所示,图中 ①、②、③ 分别与 SaaS、PaaS、IaaS 相对应,图中 ①、②、③ 应为( )。

A、应用层、基础设施层、平台层
B、应用层、平台层、基础设施层
C、平台层、应用层、基础设施层
D、平台层、基础设施层、应用层

解析

「云计算三种服务模式」

服务模式名称平台
SaaS软件运营服务应用层
PaaS平台即服务平台层
IaaS基础设施即服务基础设施层

「SaaS」 :Software as a Service,软件运营服务,指用户获取软件服务的一种新形式。
「PaaS」 :Platform as a Service,平台即服务,将软件研发的平台作为一种服务。
「IaaS」 :Infrastructure as a Service,基础设施即服务,指把 IT 基础设施作为一种服务通过网络对外提供,并根据用户对资源的实际使用量或占用量进行计费。

记忆要点

记住英文解释。

  1. SaaS 的第一个 S 是 Software(软件)
  2. PaaS 的 P 指 Platform(平台)
  3. IaaS 的 I 指 Infrastructure(基础设施)

答案

B

第二题

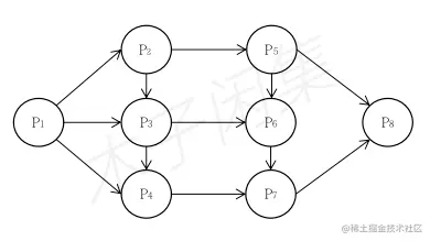
前趋图(Precedence Graph)是一个有向无环图,记为 ∶→={(Pi, Pj)} {Pi must complete before Pj may start},假设系统中进程 P={P1, P2, P3, P4, P5, P6, P7, P8},且进程的前趋图如下图所示,那么该前趋图可记为( )。

A、→={(P1,P2),(P1,P3),(P1,P4),(P2,P5),(P3,P5),(P4,P7),(P5,P6),(P5,P7),(P7,P6),(P4,P5),(P6,P7),(P7, P8)}
B、→={(P1,P2),(P1,P3),(P1,P4),(P2,P3),(P2,P5),(P3,P4),(P3,P6),(P4,P7),(P5,P6),(P5,P8),(P6,P7),(P7,P8)}
C、→={(P1,P2),(P1,P3),(P1,P4),(P2,P3),(P2,P5),(P3,P4),(P3,P5),(P4,P6),(P5,P7),(P5,P8),(P6,P7),(P7,P8)}
D、→={(P1,P2),(P1,P3),(P2,P3),(P2,P5),(P3,P4),(P3,P6),(P4,P7),(P5,P6),(P5,P8),(P6,P7),(P6,P8),(P7,P8)}

解析

题干提到 Pi must complete before Pj may start,翻译过来就是 「Pi 在 Pj 前面」
查看各个选项:
A 选项中(P3,P5),(P7,P6),(P4,P5)不符合
C 选项中(P3,P5),(P4,P6)不符合
D 选项中(P6,P8)不符合

记忆方式

前趋图,下一步得在前一步完成后进行,

答案

B

第三题

若系统正在将( )文件修改的结果写回磁盘时系统发生掉电,则对系统影响相对较大。
A、目录
B、空闲块
C、用户程序
D、用户数据

解析

题干细节,对 「系统」 影响大。

「目录文件」:目录相当于一个容器,将多个文件或其它目录存储在一起,文件控制块的有序集合构成文件目录,每个目录项即是一个文件控制块。
「空闲块」:还未分配出去的内存区。
「用户程序」:为满足用户不同领域、不同问题的应用需求而提供的软件,例如开发软件,Office 等。
「用户数据」:用户的数据,比如用户账号密码,照片,文档等。

用户程序、用户数据丢失对用户影响较大,空闲块对系统几乎没有影响。

记忆方式

系统影响大,那肯定是系统相关的,就可以排除用户相关的,空闲块是还没分配使用的内存区,没有用则丢失了不影响。

答案

A