03 高维组合特征的处理

115 阅读2分钟

知识点

组合特征

问题 什么是组合特征?如何处理高维组合特征?

分析与解答

为了提高复杂关系的拟合能力,在特征工程中经常会把一阶离散特征两两组合,构成高阶组合特征。以广告点击预估问题为例,原始数据有语言和类型两种离散特征,表1.2是语言和类型对点击的影响。为了提高拟合能力,语言和类型可以组成二阶特征,表1.3是语言和类型的组合特征对点击影响。 1676183659697.png

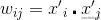
1676183668105.png 以逻辑回归为例,假设数据的特征向量为X=(x1,x2,...,xk),则有,

image.png

其中表示xi和xj的组合特征,wij的维度等于|xi|·|xj|,|xi|和|xj|分别表示第i个特征和第j个特征不同取值的个数。在表1.3的广告点击预测问题中,w的维度是2x2=4(语言取值为中文或英文两种、类型的取值为电影或电视剧两种)。这两种组合看起来是没有任何问题的,但当引入ID类型的特征时,问题就出现了。以推荐问题为例,表1.4是用户ID和物品ID对点击的影响,表1.5是用户ID和物品ID的组合特征对点击的影响。

image.png

image.png 若用户的数量为m、物品的数量为n,那么需要学习的参数的规模为mxn。在互联网环境下,用户数量和物品数量都可以达到千万量级,几乎无法学习mxn规模的参数。在这种情况下,一种行之有效的方法是将用户和物品分别用k维的低维向量表示(k<<m,k<<n),

image.png

其中 image.png, image.pngimage.png分别表示xi和xj对应的低维向量。在表1.5的推荐问题中,需要学习的参数的规模变为mxk+nxk。熟悉推荐算法的同学很快可以看出来,这其实等价于矩阵分解。所以,这里也提供了另一个理解推荐系统中矩阵分解的思路。