为什么ES搜索效率高?

368 阅读7分钟

倒排索引,倒排索引的效率比Mysql的B-tree和B+tree快很多

时间序列数据库的秘密 (2)——索引 - 星朝 - 博客园 (cnblogs.com)

笼统的来说,b-tree 索引是为写入优化的索引结构。当我们不需要支持快速的更新的时候,可以用预先排序等方式换取更小的存储空间,更快的检索速度等好处,其代价就是更新慢。

这里有好几个概念。我们来看一个实际的例子,假设有如下的数据:

docid年龄性别
118
220
318

这里每一行是一个 document。每个 document 都有一个 docid。那么给这些 document 建立的倒排索引就是:

年龄 性别

可以看到,倒排索引是 per field 的,每个字段有一个自己的倒排索引。18,20 这些叫做 term,而 [1,3] 就是 posting list。Posting list 就是一个 int 的数组,存储了所有符合某个 term 的文档 id。那么什么是 term dictionary 和 term index?

假设我们有很多个 term,比如:

Carla,Sara,Elin,Ada,Patty,Kate,Selena

如果按照这样的顺序排列,找出某个特定的 term 一定很慢,因为 term 没有排序,需要全部过滤一遍才能找出特定的 term。排序之后就变成了:

Ada,Carla,Elin,Kate,Patty,Sara,Selena

这样我们可以用二分查找的方式,比全遍历更快地找出目标的 term。这个就是 term dictionary。有了 term dictionary 之后,可以用 logN 次磁盘查找得到目标。但是磁盘的随机读操作仍然是非常昂贵的(一次 random access 大概需要 10ms 的时间)。所以尽量少的读磁盘,有必要把一些数据缓存到内存里。但是整个 term dictionary 本身又太大了,无法完整地放到内存里。于是就有了 term index。term index 有点像一本字典的大的章节表。比如:

A 开头的 term ……………. Xxx 页

C 开头的 term ……………. Xxx 页

E 开头的 term ……………. Xxx 页

如果所有的 term 都是英文字符的话,可能这个 term index 就真的是 26 个英文字符表构成的了。但是实际的情况是,term 未必都是英文字符,term 可以是任意的 byte 数组。而且 26 个英文字符也未必是每一个字符都有均等的 term,比如 x 字符开头的 term 可能一个都没有,而 s 开头的 term 又特别多。实际的 term index 是一棵 trie 树:

例子是一个包含 “A”, “to”, “tea”, “ted”, “ten”, “i”, “in”, 和 “inn” 的 trie 树。这棵树不会包含所有的 term,它包含的是 term 的一些前缀。通过 term index 可以快速地定位到 term dictionary 的某个 offset,然后从这个位置再往后顺序查找。再加上一些压缩技术(搜索 Lucene Finite State Transducers) term index 的尺寸可以只有所有 term 的尺寸的几十分之一,使得用内存缓存整个 term index 变成可能。整体上来说就是这样的效果。

**现在我们可以回答“为什么 Elasticsearch/Lucene 检索可以比 mysql 快了。**Mysql 只有 term dictionary 这一层,是以 b+tree 排序的方式存储在磁盘上的。检索一个 term 需要若干次的 random access 的磁盘操作。而 Lucene 在 term dictionary 的基础上添加了 term index 来加速检索,term index 以树的形式缓存在内存中。从 term index 查到对应的 term dictionary 的 block 位置之后,再去磁盘上找 term,大大减少了磁盘的 random access 次数。

额外值得一提的两点是:term index 在内存中是以 FST(finite state transducers)的形式保存的,其特点是非常节省内存。Term dictionary 在磁盘上是以分 block 的方式保存的,一个 block 内部利用公共前缀压缩,比如都是 Ab 开头的单词就可以把 Ab 省去。这样 term dictionary 可以比 b-tree 更节约磁盘空间。

注意倒排索引的两个重要细节:

  • 倒排索引中的所有term对应一个或多个文档
  • 倒排索引中的term根据字典顺序升序排列

如何联合索引查询?

所以给定查询过滤条件 age=18 的过程就是先从 term index 找到 18 在 term dictionary 的大概位置,然后再从 term dictionary 里精确地找到 18 这个 term,然后得到一个 posting list 或者一个指向 posting list 位置的指针。然后再查询 gender= 女 的过程也是类似的。最后得出 age=18 AND gender= 女 就是把两个 posting list 做一个“与”的合并。

这个理论上的“与”合并的操作可不容易。对于 mysql 来说,如果你给 age 和 gender 两个字段都建立了索引,查询的时候只会选择其中最 selective 的来用,然后另外一个条件是在遍历行的过程中在内存中计算之后过滤掉。那么要如何才能联合使用两个索引呢?有两种办法:

  • 使用 skip list 数据结构。同时遍历 gender 和 age 的 posting list,互相 skip;
  • 使用 bitset 数据结构,对 gender 和 age 两个 filter 分别求出 bitset,对两个 bitset 做 AN 操作(按位与)。

PostgreSQL 从 8.4 版本开始支持通过 bitmap 联合使用两个索引,就是利用了 bitset 数据结构来做到的。当然一些商业的关系型数据库也支持类似的联合索引的功能。Elasticsearch 支持以上两种的联合索引方式,如果查询的 filter 缓存到了内存中(以 bitset 的形式),那么合并就是两个 bitset 的 AND。如果查询的 filter 没有缓存,那么就用 skip list 的方式去遍历两个 on disk 的 posting list。

利用 Skip List 合并

以上是三个 posting list。我们现在需要把它们用 AND 的关系合并,得出 posting list 的交集。首先选择最短的 posting list,然后从小到大遍历。遍历的过程可以跳过一些元素,比如我们遍历到绿色的 13 的时候,就可以跳过蓝色的 3 了,因为 3 比 13 要小。

整个过程如下

Next -> 2

Advance(2) -> 13

Advance(13) -> 13

Already on 13

Advance(13) -> 13 MATCH!!!

Next -> 17

Advance(17) -> 22

Advance(22) -> 98

Advance(98) -> 98

Advance(98) -> 98 MATCH!!!

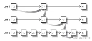
最后得出的交集是 [13,98],所需的时间比完整遍历三个 posting list 要快得多。但是前提是每个 list 需要指出 Advance 这个操作,快速移动指向的位置。什么样的 list 可以这样 Advance 往前做蛙跳?skip list:

从概念上来说,对于一个很长的 posting list,比如:

[1,3,13,101,105,108,255,256,257]

我们可以把这个 list 分成三个 block:

[1,3,13] [101,105,108] [255,256,257]

然后可以构建出 skip list 的第二层:

[1,101,255]

1,101,255 分别指向自己对应的 block。这样就可以很快地跨 block 的移动指向位置了。

Lucene 自然会对这个 block 再次进行压缩。其压缩方式叫做 Frame Of Reference 编码。示例如下:

考虑到频繁出现的 term(所谓 low cardinality 的值),比如 gender 里的男或者女。如果有 1 百万个文档,那么性别为男的 posting list 里就会有 50 万个 int 值。用 Frame of Reference 编码进行压缩可以极大减少磁盘占用。这个优化对于减少索引尺寸有非常重要的意义。当然 mysql b-tree 里也有一个类似的 posting list 的东西,是未经过这样压缩的。

因为这个 Frame of Reference 的编码是有解压缩成本的。利用 skip list,除了跳过了遍历的成本,也跳过了解压缩这些压缩过的 block 的过程,从而节省了 cpu。

利用 bitset 合并

Bitset 是一种很直观的数据结构,对应 posting list 如:

[1,3,4,7,10]

对应的 bitset 就是:

[1,0,1,1,0,0,1,0,0,1]

每个文档按照文档 id 排序对应其中的一个 bit。Bitset 自身就有压缩的特点,其用一个 byte 就可以代表 8 个文档。所以 100 万个文档只需要 12.5 万个 byte。但是考虑到文档可能有数十亿之多,在内存里保存 bitset 仍然是很奢侈的事情。而且对于个每一个 filter 都要消耗一个 bitset,比如 age=18 缓存起来的话是一个 bitset,18<=age<25 是另外一个 filter 缓存起来也要一个 bitset。

所以秘诀就在于需要有一个数据结构:

  • 可以很压缩地保存上亿个 bit 代表对应的文档是否匹配 filter;
  • 这个压缩的 bitset 仍然可以很快地进行 AND 和 OR 的逻辑操作。

Lucene 使用的这个数据结构叫做 Roaring Bitmap。

其压缩的思路其实很简单。与其保存 100 个 0,占用 100 个 bit。还不如保存 0 一次,然后声明这个 0 重复了 100 遍。

这两种合并使用索引的方式都有其用途。Elasticsearch 对其性能有详细的对比( www.elastic.co/blog/frame-… )。简单的结论是:因为 Frame of Reference 编码是如此高效,对于简单的相等条件的过滤缓存成纯内存的 bitset 还不如需要访问磁盘的 skip list 的方式要快。