m基于遗传优化算法的车辆货物运输问题matlab仿真,包括行驶距离,等待卸货时间及货损等问题

158 阅读7分钟

1.算法描述

 首先介绍MATLAB部分的遗传算法的优化算法介绍:

 

       遗传算法的原理

 

       遗传算法GA把问题的解表示成“染色体”,在算法中也即是以二进制编码的串。并且,在执行遗传算法之前,给出一群“染色体”,也即是假设解。然后,把这些假设解置于问题的“环境”中,并按适者生存的原则,从中选择出较适应环境的“染色体”进行复制,再通过交叉,变异过程产生更适应环境的新一代“染色体”群。这样,一代一代地进化,最后就会收敛到最适应环境的一个“染色体”上,它就是问题的最优解。

 

一、遗传算法的目的

        典型的遗传算法CGA(Canonical Genetic Algorithm)通常用于解决下面这一类的静态最优化问题:考虑对于一群长度为L的二进制编码bi,i=1,2,…,n;有

 

bi{0,1}L (3-84)

 

给定目标函数f,有f(bi),并且

 

0

 

同时f(bi)≠f(bi+1)求满足下式

 

max{f(bi)|bi{0,1}L}

 

的bi。很明显,遗传算法是一种最优化方法,它通过进化和遗传机理,从给出的原始解群中,不断进化产生新的解,最后收敛到一个特定的串bi处,即求出最优解。

 

二、遗传算法的基本原理

        长度为L的n个二进制串bi(i=1,2,…,n)组成了遗传算法的初解群,也称为初始群体。在每个串中,每个二进制位就是个体染色体的基因。根据进化术语,对群体执行的操作有三种:

 

1.选择(Selection)

 

这是从群体中选择出较适应环境的个体。这些选中的个体用于繁殖下一代。故有时也称这一操作为再生(Reproduction)。由于在选择用于繁殖下一代的个体时,是根据个体对环境的适应度而决定其繁殖量的,故而有时也称为非均匀再生(differential reproduction)。

 

2.交叉(Crossover)

 

这是在选中用于繁殖下一代的个体中,对两个不同的个体的相同位置的基因进行交换,从而产生新的个体。

 

3.变异(Mutation)

 

这是在选中的个体中,对个体中的某些基因执行异向转化。在串bi中,如果某位基因为1,产生变异时就是把它变成0;反亦反之。

 

遗传算法的原理可以简要给出如下:

 

choose an intial population

 

determine the fitness of each individual

 

perform selection

 

repeat

 

perform crossover

 

perform mutation

 

determine the fitness of each individual

 

perform selection

 

until some stopping criterion applies

 

        这里所指的某种结束准则一般是指个体的适应度达到给定的阀值;或者个体的适应度的变化率为零。

 

三、遗传算法的步骤和意义

1.初始化

 

选择一个群体,即选择一个串或个体的集合bi,i=1,2,...n。这个初始的群体也就是问题假设解的集合。一般取n=30-160。

 

通常以随机方法产生串或个体的集合bi,i=1,2,...n。问题的最优解将通过这些初始假设解进化而求出。

 

2.选择

 

根据适者生存原则选择下一代的个体。在选择时,以适应度为选择原则。适应度准则体现了适者生存,不适应者淘汰的自然法则。

 

给出目标函数f,则f(bi)称为个体bi的适应度。以

 

为选中bi为下一代个体的次数。

 

显然.从式(3—86)可知:

 

(1)适应度较高的个体,繁殖下一代的数目较多。

 

(2)适应度较小的个体,繁殖下一代的数目较少;甚至被淘汰。

 

这样,就产生了对环境适应能力较强的后代。对于问题求解角度来讲,就是选择出和最优解较接近的中间解。

 

3.交叉

 

对于选中用于繁殖下一代的个体,随机地选择两个个体的相同位置,按交叉概率P。在选中的位置实行交换。这个过程反映了随机信息交换;目的在于产生新的基因组合,也即产生新的个体。交叉时,可实行单点交叉或多点交叉。

 

例如有个体

 

S1=100101

 

S2=010111

 

选择它们的左边3位进行交叉操作,则有

 

S1=010101

 

S2=100111

 

一般而言,交 婊显譖。取值为0.25—0.75。

 

4.变异

 

根据生物遗传中基因变异的原理,以变异概率Pm对某些个体的某些位执行变异。在变异时,对执行变异的串的对应位求反,即把1变为0,把0变为1。变异概率Pm与生物变异极小的情况一致,所以,Pm的取值较小,一般取0.01-0.2。

 

例如有个体S=101011。

 

对其的第1,4位置的基因进行变异,则有

 

S'=001111

 

单靠变异不能在求解中得到好处。但是,它能保证算法过程不会产生无法进化的单一群体。因为在所有的个体一样时,交叉是无法产生新的个体的,这时只能靠变异产生新的个体。也就是说,变异增加了全局优化的特质。

 

 

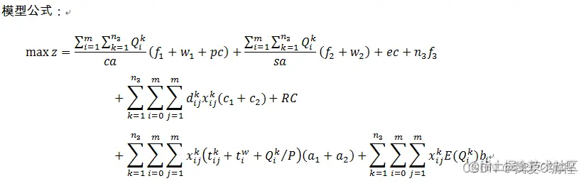
我们的 优化模型如下:

 

1.png

2.png  

2.仿真效果预览

matlab2022a仿真结果如下:

 

3.png

 

3.MATLAB核心程序 `%t_ij^k 车辆k从节点i到节点j的时间 h*************************

tijk = dijk./vijk;

 

[R,C] = size(tijk);

for i = 1:R

    for j = 1:C

        if isnan(tijk(i,j))==1

           tijk(i,j)=0;

        end

    end

end

 

 

%t_i^k 车辆k在节点客户i的等待卸货时间 h*************************

 

%ca 每条生产线的产能 KG

ca = 6000;

%f_1每条生产线的固定成本 元

f1 = 1000;

%w_1 每条生产线的人工费 元

w1 = 1000;

%pc 每条生产线的加工费 元

pc = 500;

%sa 每组库存空间的存储能力 KG

sa = 5000;

%f_2 每组存储空间的固定成本 元

f2 = 800;

%w_2 每组存储空间的人工费 元

w2 = 700;

%ec 存储的附加费 元

ec = 800;

%N 可配送的最大车辆数 辆

N  = 10;

%f_3 车辆的固定成本 元

f3 = 26;

%c_1 燃油单价 元

c1 = 120;

%c_2 维修单价 元

c2 = 10;

%α 车辆折旧程度

alpha = 0.2;

%β 车厢热传导

beta  = 40;

%S 车厢表面积 m2

S  = 32;

%T 内外温差 ℃

T  = 5;

%P_c 制冷剂单价 元/kw

Pc  = 0.0007;

%e 冷冻箱耗电成本 元/h

e  = 0.0807;

%V_N 冷冻箱容积 KG

VN  = 180;

%V_max 运送车的最大容量 KG

Vmax  = 2300;

%P 卸货效率

P = 600;

%a_1 司机成本 元

a1 = 15;

%a_2 卸货员成本 元

a2 = 12.5;

%b_i 每个客户索要的赔偿金 元/KG

bi = [0

143

193

167

137

196

188

103

149

182

185

102

157

112

150

152

130

149

181

135

174

];

 

 

%点数Nd

Nd     = 20;

m      = Nd;

n3max  = 10;%先假设n3最大为10个车,然后通过优化算法找到尽可能少的车。

 

MAXGEN = 400;

NIND   = 200;

Nums   = (Nd+1)*(Nd+1)*n3max+(Nd+1)*n3max+3;%含义是,(Xijk,即i取值为1Nd,j取值为1Nd,然后每个车)*总共n3个车

Chrom  = crtbp(NIND,Nums*10);

 

%sh

Areas = [];

for j = 1:n3max

    for i = 1:(Nd+1)*(Nd+1)

        Areas = [Areas,[0;1]];%出发点

    end

end

for j = 1:n3max

    for i = 1:(Nd+1)

        Areas = [Areas,[0;Q(i)]];   

    end

end

for j = 1:3

    Areas = [Areas,[1;Nd]];   

end

 

 

FieldD = [rep([10],[1,Nums]);Areas;rep([0;0;0;0],[1,Nums])];

 

gen   = 0;

Js    = rand(NIND,1);

Objv  = (Js+eps);

gen   = 0;

 

 

 

 

%%

while gen < MAXGEN;   

      gen

      Pe0 = 0.99;

      pe1 = 0.01;

 

      FitnV=ranking(Objv);    

      Selch=select('sus',Chrom,FitnV);    

      Selch=recombin('xovsp', Selch,Pe0);   

      Selch=mut( Selch,pe1);   

      phen1=bs2rv(Selch,FieldD);   

 

      for a=1:1:NIND  

          X           = phen1(a,:);

          %计算对应的目标值

          [epls,Xijk,n3,Qik]      = func_obj(X);

          E           = epls;

          JJ(a,1)     = E;

          Xijk_{a}    = Xijk;

          n3_{a}      = n3;

          Qik_{a}     = Qik;

      end

      

      Objvsel=(JJ);    

      [Chrom,Objv]=reins(Chrom,Selch,1,1,Objv,Objvsel);   

      gen=gen+1;

 

      %保存参数收敛过程和误差收敛过程以及函数值拟合结论

      Error(gen) = mean(JJ);

end

 

figure;

plot(Error,'linewidth',2);

grid on

xlabel('迭代次数');

ylabel('遗传算法优化过程');

legend('Average fitness');

 

[V,I]   = min(JJ);

n3opt   = n3_{I};  

Xijkopt = Xijk_{I}(:,:,1:n3);

Qikopt  = Qik_{I}(:,1:n3);

02_066m`