双向RNN与堆叠的双向RNN

231 阅读4分钟

开启掘金成长之旅!这是我参与「掘金日新计划 · 2 月更文挑战」的第1天

1、双向RNN

双向RNN(Bidirectional RNN)的结构如下图所示。

image-20220703225714949

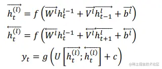
ht=f(Wxt+Vht1+b)ht=f(Wxt+Vht1+b)yt=g(U[ht;ht]+c)\overrightarrow{h_t}=f(\overrightarrow{W}x_t+\overrightarrow{V}\overrightarrow{h_{t-1}}+\overrightarrow{b})\\ \overleftarrow{h_t}=f(\overleftarrow{W}x_t+\overleftarrow{V}\overleftarrow{h_{t-1}}+\overleftarrow{b})\\ y_t=g(U[\overrightarrow{h_t};\overleftarrow{h_t}]+c)

  这里的 RNN 可以使用任意一种 RNN 结构 SimpleRNN,LSTM 或 GRU。这里箭头表示从左到右或从右到左传播,对于每个时刻的预测,都需要来自双向的特征向量,拼接 (Concatenate)后进行结果预测。箭头虽然不同,但参数还是同一套参数。有些模型中也 可以使用两套不同的参数。f,g表示激活函数,[ht;ht][\overrightarrow{h_t};\overleftarrow{h_t}]表示数据拼接(Concatenate)。

  双向的 RNN 是同时考虑“过去”和“未来”的信息。上图是一个序列长度为 4 的双向RNN 结构。

  ==比如输入x1x_1沿着实线箭头传输到隐层得到h1h_1,然后还需要再利用xtx_t计算得到hth_t',利用x3x_3hth_t'计算得到h3h_3',利用x2x_2h3h_3'计算得到h2h_2',利用x1x_1和'h_2'计算得到h1h_1',最后再把h1h_1h1h_1'进行数据拼接(Concatenate),得到输出结果y1y_1。以此类推,同时利用前向传递和反向传递的数据进行结果的预测。==

  双向RNN就像是我们做阅读理解的时候从头向后读一遍文章,然后又从后往前读一遍文章,然后再做题。有可能从后往前再读一遍文章的时候会有新的不一样的理解,最后模型可能会得到更好的结果。

2、堆叠的双向RNN

image-20220703230929753

  堆叠的双向RNN(Stacked Bidirectional RNN)的结构如上图所示。上图是一个堆叠了3个隐藏层的RNN网络。

image-20220703231043766

  注意,这里的堆叠的双向RNN并不是只有双向的RNN才可以堆叠,其实任意的RNN都可以堆叠,如SimpleRNN、LSTM和GRU这些循环神经网络也可以进行堆叠。

  堆叠指的是在RNN的结构中叠加多层,类似于BP神经网络中可以叠加多层,增加网络的非线性。

3、双向LSTM实现MNIST数据集分类

import tensorflow as tf
from tensorflow.keras.models import Sequential
from tensorflow.keras.layers import Dense
from tensorflow.keras.layers import LSTM,Dropout,Bidirectional
from tensorflow.keras.optimizers import Adam
import matplotlib.pyplot as plt

# 载入数据集
mnist = tf.keras.datasets.mnist
# 载入数据,数据载入的时候就已经划分好训练集和测试集
# 训练集数据x_train的数据形状为(60000,28,28)
# 训练集标签y_train的数据形状为(60000)
# 测试集数据x_test的数据形状为(10000,28,28)
# 测试集标签y_test的数据形状为(10000)
(x_train, y_train), (x_test, y_test) = mnist.load_data()
# 对训练集和测试集的数据进行归一化处理,有助于提升模型训练速度
x_train, x_test = x_train / 255.0, x_test / 255.0
# 把训练集和测试集的标签转为独热编码
y_train = tf.keras.utils.to_categorical(y_train,num_classes=10)
y_test = tf.keras.utils.to_categorical(y_test,num_classes=10)

# 数据大小-一行有28个像素
input_size = 28
# 序列长度-一共有28行
time_steps = 28
# 隐藏层memory block个数
cell_size = 50 

# 创建模型
# 循环神经网络的数据输入必须是3维数据
# 数据格式为(数据数量,序列长度,数据大小)
# 载入的mnist数据的格式刚好符合要求
# 注意这里的input_shape设置模型数据输入时不需要设置数据的数量
model = Sequential([
    Bidirectional(LSTM(units=cell_size,input_shape=(time_steps,input_size),return_sequences=True)),
    Dropout(0.2),
    Bidirectional(LSTM(cell_size)),
    Dropout(0.2),
    # 50个memory block输出的50个值跟输出层10个神经元全连接
    Dense(10,activation=tf.keras.activations.softmax)
])

# 循环神经网络的数据输入必须是3维数据
# 数据格式为(数据数量,序列长度,数据大小)
# 载入的mnist数据的格式刚好符合要求
# 注意这里的input_shape设置模型数据输入时不需要设置数据的数量
# model.add(LSTM(
#     units = cell_size,
#     input_shape = (time_steps,input_size),
# ))

# 50个memory block输出的50个值跟输出层10个神经元全连接
# model.add(Dense(10,activation='softmax'))

# 定义优化器
adam = Adam(lr=1e-3)

# 定义优化器,loss function,训练过程中计算准确率            使用交叉熵损失函数
model.compile(optimizer=adam,loss='categorical_crossentropy',metrics=['accuracy'])

# 训练模型
history=model.fit(x_train,y_train,batch_size=64,epochs=10,validation_data=(x_test,y_test))

#打印模型摘要
model.summary()

loss=history.history['loss']
val_loss=history.history['val_loss']

accuracy=history.history['accuracy']
val_accuracy=history.history['val_accuracy']


# 绘制loss曲线
plt.plot(loss, label='Training Loss')
plt.plot(val_loss, label='Validation Loss')
plt.title('Training and Validation Loss')
plt.legend()
plt.show()
# 绘制acc曲线
plt.plot(accuracy, label='Training accuracy')
plt.plot(val_accuracy, label='Validation accuracy')
plt.title('Training and Validation Loss')
plt.legend()
plt.show()

这个可能对文本数据比较容易处理,这里用这个模型有点勉强,只是简单测试下。

模型摘要:

image-20220703232000062

acc曲线:

image-20220703232006651

loss曲线:

image-20220703232015429

image-20220703232021745