相交链表

67 阅读4分钟

开启掘金成长之旅!这是我参与「掘金日新计划 · 2 月更文挑战」的第 9 天,点击查看活动详情

一、题目描述

这是 LeetCode 上的第一百六十题:相交链表,难度为 简单

Tag:「哈希表」、「链表」、「双指针」

给你两个单链表的头节点 headA 和 headB ,请你找出并返回两个单链表相交的起始节点。如果两个链表不存在相交节点,返回 null 。

图示两个链表在节点 c1 开始相交:

image.png

题目数据保证整个链式结构中不存在环。

注意,函数返回结果后,链表必须 保持其原始结构 。

自定义评测:

评测系统的输入如下(你设计的程序不适用此输入):

intersectVal - 相交的起始节点的值。如果不存在相交节点,这一值为 0

listA - 第一个链表

listB - 第二个链表

skipA - 在 listA 中(从头节点开始)跳到交叉节点的节点数

skipB - 在 listB 中(从头节点开始)跳到交叉节点的节点数

评测系统将根据这些输入创建链式数据结构,并将两个头节点 headA 和 headB 传递给你的程序。如果程序能够正确返回相交节点,那么你的解决方案将被视作正确答案

示例 1:

image.png

输入:intersectVal = 8, listA = [4,1,8,4,5], listB = [5,6,1,8,4,5], skipA = 2, skipB = 3
输出:Intersected at '8'
解释:相交节点的值为 8 (注意,如果两个链表相交则不能为 0)。
从各自的表头开始算起,链表 A[4,1,8,4,5],链表 B[5,6,1,8,4,5]。
在 A 中,相交节点前有 2 个节点;在 B 中,相交节点前有 3 个节点。

请注意相交节点的值不为 1,因为在链表 A 和链表 B 之中值为 1 的节点(A 中第二个节点和 B 中第三个节点) 是不同的节点。换句话说,它们在内存中指向两个不同的位置,而链表 A 和链表 B 中值为 8 的节点 (A 中第三个节点,B 中第四个节点) 在内存中指向相同的位置。

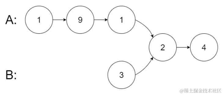
示例 2:

image.png

输入:intersectVal = 2, listA = [1,9,1,2,4], listB = [3,2,4], skipA = 3, skipB = 1
输出:Intersected at '2'
解释:相交节点的值为 2 (注意,如果两个链表相交则不能为 0)。
从各自的表头开始算起,链表 A[1,9,1,2,4],链表 B[3,2,4]。
在 A 中,相交节点前有 3 个节点;在 B 中,相交节点前有 1 个节点。

示例 3:

image.png

输入:intersectVal = 0, listA = [2,6,4], listB = [1,5], skipA = 3, skipB = 2
输出:null
解释:从各自的表头开始算起,链表 A[2,6,4],链表 B[1,5]。
由于这两个链表不相交,所以 intersectVal 必须为 0,而 skipA 和 skipB 可以是任意值。
这两个链表不相交,因此返回 null 。

提示:

1、listA 中节点数目为 m

2、listB 中节点数目为 n

3、1 <= m, n <= 3 * 10^4

4、 1 <= Node.val <= 10^5

5、0 <= skipA <= m

6、0 <= skipB <= n

7、如果 listA 和 listB 没有交点,intersectVal 为 0

8、如果 listA 和 listB 有交点,intersectVal == listA[skipA] == listB[skipB]

二、解题思路

本题使用哈希表空间复杂度达到了 O(n),这里我们使用更简单的双指针去解决该问题,时间复杂度位 O(1)。

双指针分析:

只有当链表 headA 和 headB 都不为空时,两个链表才可能相交。因此首先判断链表 headA 和 headB 是否为空,如果其中至少有一个链表为空,则两个链表一定不相交,返回 null。

当链表 headA 和 headB 都不为空时,创建两个指针 pA 和 pB,初始时分别指向两个链表的头节点 headA 和 headB,然后将两个指针依次遍历两个链表的每个节点。具体做法如下:

每步操作需要同时更新指针 pA 和 pB。

1、如果指针 pA 不为空,则将指针 pA 移到下一个节点;pB 不为空,则将指针 pB 移到下一个节点。

2、如果指针 pA 为空,则将指针 pA 移到链表 headB 的头节点;如果指针 pB 为空,则将指针 pB 移到链表 headA 的头节点。

3、当指针 pA 和 pB 指向同一个节点或者都为空时,返回它们指向的节点或者 null。

代码实现:

public class Solution {
    public ListNode getIntersectionNode(ListNode headA, ListNode headB) {
        if (headA == null || headB == null) {
            return null;
        }
        ListNode pA = headA, pB = headB;
        while (pA != pB) {
            pA = pA == null ? headB : pA.next;
            pB = pB == null ? headA : pB.next;
        }
        return pA;
    }
}

复杂度分析:

1、时间复杂度:O(m+n),其中 m 和 n 代表两个链表的长度,两个指针同时遍历两个链表,每个指针遍历两个链表各一次

2、空间复杂度:O(1)。

三、总结

本道算法题难度为简单,使用使用哈希表空间复杂度高,我们使用双指针将空间复杂度降到了 O(1)

好了,本篇文章到这里就结束了,感谢你的阅读🤝