《数据分析实战 45 讲》 学习笔记 Day 21

241 阅读12分钟

32丨PageRank(上):搞懂Google的PageRank算法

早期的搜索引擎,会遇到下面的两类问题:返回结果质量不高:搜索结果不考虑网页的质量,而是通过时间顺序进行检索;容易被人钻空子:搜索引擎是基于检索词进行检索的,页面中检索词出现的频次越高,匹配度越高,这样就会出现网页作弊的情况。有些网页为了增加搜索引擎的排名,故意增加某个检索词的频率。

PageRank 的简化模型

image.png
出链指的是链接出去的链接。入链指的是链接进来的链接。比如图中 A 有 2 个入链,3 个出链。
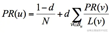
简单来说,一个网页的影响力 = 所有入链集合的页面的加权影响力之和,用公式表示为:

image.png
u 为待评估的页面,Bu​ 为页面 u 的入链集合。针对入链集合中的任意页面 v,它能给 u 带来的影响力是其自身的影响力 PR(v) 除以 v 页面的出链数量,即页面 v 把影响力 PR(v) 平均分配给了它的出链,这样统计所有能给 u 带来链接的页面 v,得到的总和就是网页 u 的影响力,即为 PR(u)。
我们可以得到 A、B、C、D 这四个网页的转移矩阵 M:

image.png
我们假设 A、B、C、D 四个页面的初始影响力都是相同的,即:

image.png
当进行第一次转移之后,各页面的影响力 w1​ 变为:

image.png
然后我们再用转移矩阵乘以 w1​ 得到 w2​ 结果,直到第 n 次迭代后 wn​ 影响力不再发生变化,可以收敛到 (0.3333,0.2222,0.2222,0.2222),也就是对应着 A、B、C、D 四个页面最终平衡状态下的影响力。你能看出 A 页面相比于其他页面来说权重更大,也就是 PR 值更高。而 B、C、D 页面的 PR 值相等。
至此,我们模拟了一个简化的 PageRank 的计算过程,实际情况会比这个复杂,可能会面临两个问题:1. 等级泄露(Rank Leak):如果一个网页没有出链,就像是一个黑洞一样,吸收了其他网页的影响力而不释放,最终会导致其他网页的 PR 值为 0。

image.png2. 等级沉没(Rank Sink):如果一个网页只有出链,没有入链(如下图所示),计算的过程迭代下来,会导致这个网页的 PR 值为 0(也就是不存在公式中的 V)。

image.png针对等级泄露和等级沉没的情况,我们需要灵活处理。

PageRank 的随机浏览模型

为了解决简化模型中存在的等级泄露和等级沉没的问题,拉里·佩奇提出了 PageRank 的随机浏览模型。他假设了这样一个场景:用户并不都是按照跳转链接的方式来上网,还有一种可能是不论当前处于哪个页面,都有概率访问到其他任意的页面,比如说用户就是要直接输入网址访问其他页面,虽然这个概率比较小。所以他定义了阻尼因子 d,这个因子代表了用户按照跳转链接来上网的概率,通常可以取一个固定值 0.85,而 1-d=0.15 则代表了用户不是通过跳转链接的方式来访问网页的,比如直接输入网址。

image.png其中 N 为网页总数,这样我们又可以重新迭代网页的权重计算了,因为加入了阻尼因子 d,一定程度上解决了等级泄露和等级沉没的问题。通过数学定理(这里不进行讲解)也可以证明,最终 PageRank 随机浏览模型是可以收敛的,也就是可以得到一个稳定正常的 PR 值。

总结今天我给你讲了 PageRank 的算法原理,对简化的 PageRank 模型进行了模拟。针对简化模型中存在的等级泄露和等级沉没这两个问题,PageRank 的随机浏览模型引入了阻尼因子 d 来解决。同样,PageRank 有很广的应用领域,在许多网络结构中都有应用,比如计算一个人的微博影响力等。它也告诉我们,在社交网络中,链接的质量非常重要。

image.png

33丨PageRank(下):分析希拉里邮件中的人物关系

今天我们就来做一个关于 PageRank 算法的实战,在这之前,你需要思考三个问题:如何使用工具完成 PageRank 算法,包括使用工具创建网络图,设置节点、边、权重等,并通过创建好的网络图计算节点的 PR 值;对于一个实际的项目,比如希拉里的 9306 封邮件(工具包中邮件的数量),如何使用 PageRank 算法挖掘出有影响力的节点,并且绘制网络图;如何对创建好的网络图进行可视化,如果网络中的节点数较多,如何筛选重要的节点进行可视化,从而得到精简的网络关系图。

如何使用工具实现 PageRank 算法

PageRank 算法工具在 sklearn 中并不存在,我们需要找到新的工具包。实际上有一个关于图论和网络建模的工具叫 NetworkX,它是用 Python 语言开发的工具,内置了常用的图与网络分析算法,可以方便我们进行网络数据分析。

image.png
针对这个例子,我们看下用 NetworkX 如何计算 A、B、C、D 四个网页的 PR 值,具体代码如下:

import networkx as nx
# 创建有向图
G = nx.DiGraph() 
# 有向图之间边的关系
edges = [("A", "B"), ("A", "C"), ("A", "D"), ("B", "A"), ("B", "D"), ("C", "A"), ("D", "B"), ("D", "C")]
for edge in edges:
    G.add_edge(edge[0], edge[1])
pagerank_list = nx.pagerank(G, alpha=1)
print("pagerank值是:", pagerank_list)

我们通过 NetworkX 创建了一个有向图之后,设置了节点之间的边,然后使用 PageRank 函数就可以求得节点的 PR 值,结果和上节课中我们人工模拟的结果一致。好了,运行完这个例子之后,我们来看下 NetworkX 工具都有哪些常用的操作。

  • 关于图的创建图可以分为无向图和有向图,在 NetworkX 中分别采用不同的函数进行创建。无向图指的是不用节点之间的边的方向,使用 nx.Graph() 进行创建;有向图指的是节点之间的边是有方向的,使用 nx.DiGraph() 来创建。在上面这个例子中,存在 A→D 的边,但不存在 D→A 的边。
    1. 关于节点的增加、删除和查询如果想在网络中增加节点,可以使用 G.add_node(‘A’) 添加一个节点,也可以使用 G.add_nodes_from([‘B’,‘C’,‘D’,‘E’]) 添加节点集合。如果想要删除节点,可以使用 G.remove_node(node) 删除一个指定的节点,也可以使用 G.remove_nodes_from([‘B’,‘C’,‘D’,‘E’]) 删除集合中的节点。那么该如何查询节点呢?如果你想要得到图中所有的节点,就可以使用 G.nodes(),也可以用 G.number_of_nodes() 得到图中节点的个数。
    1. 关于边的增加、删除、查询增加边与添加节点的方式相同,使用 G.add_edge(“A”, “B”) 添加指定的“从 A 到 B”的边,也可以使用 add_edges_from 函数从边集合中添加。我们也可以做一个加权图,也就是说边是带有权重的,使用 add_weighted_edges_from 函数从带有权重的边的集合中添加。在这个函数的参数中接收的是 1 个或多个三元组[u,v,w]作为参数,u、v、w 分别代表起点、终点和权重。另外,我们可以使用 remove_edge 函数和 remove_edges_from 函数删除指定边和从边集合中删除。另外可以使用 edges() 函数访问图中所有的边,使用 number_of_edges() 函数得到图中边的个数。以上是关于图的基本操作,如果我们创建了一个图,并且对节点和边进行了设置,就可以找到其中有影响力的节点,原理就是通过 PageRank 算法,使用 nx.pagerank(G) 这个函数,函数中的参数 G 代表创建好的图。

如何用 PageRank 揭秘希拉里邮件中的人物关系

希拉里邮件事件相信你也有耳闻,对这个数据的背景我们就不做介绍了。你可以从 GitHub 上下载这个数据集:github.com/cystanford/…
整个数据集由三个文件组成:Aliases.csv,Emails.csv 和 Persons.csv,其中 Emails 文件记录了所有公开邮件的内容,发送者和接收者的信息。Persons 这个文件统计了邮件中所有人物的姓名及对应的 ID。因为姓名存在别名的情况,为了将邮件中的人物进行统一,我们还需要用 Aliases 文件来查询别名和人物的对应关系。整个数据集包括了 9306 封邮件和 513 个人名,数据集还是比较大的。不过这一次我们不需要对邮件的内容进行分析,只需要通过邮件中的发送者和接收者(对应 Emails.csv 文件中的 MetadataFrom 和 MetadataTo 字段)来绘制整个关系网络。因为涉及到的人物很多,因此我们需要通过 PageRank 算法计算每个人物在邮件关系网络中的权重,最后筛选出来最有价值的人物来进行关系网络图的绘制。

首先我们需要加载数据源;在准备阶段:我们需要对数据进行探索,在数据清洗过程中,因为邮件中存在别名的情况,因此我们需要统一人物名称。另外邮件的正文并不在我们考虑的范围内,只统计邮件中的发送者和接收者,因此我们筛选 MetadataFrom 和 MetadataTo 这两个字段作为特征。同时,发送者和接收者可能存在多次邮件往来,需要设置权重来统计两人邮件往来的次数。次数越多代表这个边(从发送者到接收者的边)的权重越高;在挖掘阶段:我们主要是对已经设置好的网络图进行 PR 值的计算,但邮件中的人物有 500 多人,有些人的权重可能不高,我们需要筛选 PR 值高的人物,绘制出他们之间的往来关系。在可视化的过程中,我们可以通过节点的 PR 值来绘制节点的大小,PR 值越大,节点的绘制尺寸越大。

# -*- coding: utf-8 -*-
# 用 PageRank 挖掘希拉里邮件中的重要任务关系
import pandas as pd
import networkx as nx
import numpy as np
from collections import defaultdict
import matplotlib.pyplot as plt
# 数据加载
emails = pd.read_csv("./input/Emails.csv")
# 读取别名文件
file = pd.read_csv("./input/Aliases.csv")
aliases = {}
for index, row in file.iterrows():
    aliases[row['Alias']] = row['PersonId']
# 读取人名文件
file = pd.read_csv("./input/Persons.csv")
persons = {}
for index, row in file.iterrows():
    persons[row['Id']] = row['Name']
# 针对别名进行转换        
def unify_name(name):
    # 姓名统一小写
    name = str(name).lower()
    # 去掉, 和 @后面的内容
    name = name.replace(",","").split("@")[0]
    # 别名转换
    if name in aliases.keys():
        return persons[aliases[name]]
    return name
# 画网络图
def show_graph(graph, layout='spring_layout'):
    # 使用 Spring Layout 布局,类似中心放射状
    if layout == 'circular_layout':
        positions=nx.circular_layout(graph)
    else:
        positions=nx.spring_layout(graph)
    # 设置网络图中的节点大小,大小与 pagerank 值相关,因为 pagerank 值很小所以需要 *20000
    nodesize = [x['pagerank']*20000 for v,x in graph.nodes(data=True)]
    # 设置网络图中的边长度
    edgesize = [np.sqrt(e[2]['weight']) for e in graph.edges(data=True)]
    # 绘制节点
    nx.draw_networkx_nodes(graph, positions, node_size=nodesize, alpha=0.4)
    # 绘制边
    nx.draw_networkx_edges(graph, positions, edge_size=edgesize, alpha=0.2)
    # 绘制节点的 label
    nx.draw_networkx_labels(graph, positions, font_size=10)
    # 输出希拉里邮件中的所有人物关系图
    plt.show()
# 将寄件人和收件人的姓名进行规范化
emails.MetadataFrom = emails.MetadataFrom.apply(unify_name)
emails.MetadataTo = emails.MetadataTo.apply(unify_name)
# 设置遍的权重等于发邮件的次数
edges_weights_temp = defaultdict(list)
for row in zip(emails.MetadataFrom, emails.MetadataTo, emails.RawText):
    temp = (row[0], row[1])
    if temp not in edges_weights_temp:
        edges_weights_temp[temp] = 1
    else:
        edges_weights_temp[temp] = edges_weights_temp[temp] + 1
# 转化格式 (from, to), weight => from, to, weight
edges_weights = [(key[0], key[1], val) for key, val in edges_weights_temp.items()]
# 创建一个有向图
graph = nx.DiGraph()
# 设置有向图中的路径及权重 (from, to, weight)
graph.add_weighted_edges_from(edges_weights)
# 计算每个节点(人)的 PR 值,并作为节点的 pagerank 属性
pagerank = nx.pagerank(graph)
# 将 pagerank 数值作为节点的属性
nx.set_node_attributes(graph, name = 'pagerank', values=pagerank)
# 画网络图
show_graph(graph)

# 将完整的图谱进行精简
# 设置 PR 值的阈值,筛选大于阈值的重要核心节点
pagerank_threshold = 0.005
# 复制一份计算好的网络图
small_graph = graph.copy()
# 剪掉 PR 值小于 pagerank_threshold 的节点
for n, p_rank in graph.nodes(data=True):
    if p_rank['pagerank'] < pagerank_threshold: 
        small_graph.remove_node(n)
# 画网络图,采用circular_layout布局让筛选出来的点组成一个圆
show_graph(small_graph, 'circular_layout')
  1. 函数定义人物的名称需要统一,因此我设置了 unify_name 函数,同时设置了 show_graph 函数将网络图可视化。NetworkX 提供了多种可视化布局,这里我使用 spring_layout 布局,也就是呈中心放射状。除了 spring_layout 外,NetworkX 还有另外三种可视化布局,circular_layout(在一个圆环上均匀分布节点),random_layout(随机分布节点 ),shell_layout(节点都在同心圆上)。2. 计算边权重邮件的发送者和接收者的邮件往来可能不止一次,我们需要用两者之间邮件往来的次数计算这两者之间边的权重,所以我用 edges_weights_temp 数组存储权重。而上面介绍过在 NetworkX 中添加权重边(即使用 add_weighted_edges_from 函数)的时候,接受的是 u、v、w 的三元数组,因此我们还需要对格式进行转换,具体转换方式见代码。3.PR 值计算及筛选我使用 nx.pagerank(graph) 计算了节点的 PR 值。由于节点数量很多,我们设置了 PR 值阈值,即 pagerank_threshold=0.005,然后遍历节点,删除小于 PR 值阈值的节点,形成新的图 small_graph,最后对 small_graph 进行可视化(对应运行结果的第二张图)。总结在上节课中,我们通过矩阵乘法求得网页的权重,这节课我们使用 NetworkX 可以得到相同的结果。另外我带你用 PageRank 算法做了一次实战,我们将一个复杂的网络图,通过 PR 值的计算、筛选,最终得到了一张精简的网络图。在这个过程中我们学习了 NetworkX 工具的使用,包括创建图、节点、边及 PR 值的计算。实际上掌握了 PageRank 的理论之后,在实战中往往就是一行代码的事。但项目与理论不同,项目中涉及到的数据量比较大,你会花 80% 的时间(或 80% 的代码量)在预处理过程中,比如今天的项目中,我们对别名进行了统一,对边的权重进行计算,同时还需要把计算好的结果以可视化的方式呈现。

image.png