详细讲解matlab-粒子群算法优化simulink中的pid参数

503 阅读4分钟

开启掘金成长之旅!这是我参与「掘金日新计划 · 2 月更文挑战」的第 9 天,点击查看活动详情 之前分享过如何粒子群算法优化模糊控制器的参数等,一些前文链接

粒子群优化算法-Python版本和Matlab函数调用

粒子群优化算法(PSO)

图片

PSO(粒子群算法)在处理连续问题上有着较强的能力,因此很适合用来做参数优化,而PID控制器由三个参数组成,它们分别是:Kp 、Ki 、Kd 。

我们可以把PID控制器当做一个“黑箱”,输入为这三个参数,输出为响应曲线,我们要做的就是优化这个响应曲线。而一个控制效果好的PID控制器应针对不同类型输入都有较快的响应速度,较小的超调以及稳态误差。在本次分享中,选择输入信号为阶跃输入用来衡量PID控制效果。

PSO的适应函数选用综合指标来衡量设计效果,由于是数字控制器,我们选用求和而不是积分的方式:

图片

在特定的问题中,这个适应函数也可以按照实际需求修改,比如分析超调量、稳定时间等,具体问题具体分析

PSO的主函数和之前的案例类似

参数设置

wmax = 1;     % 最大惯性因子 wmin = 0.6;   % 最小惯性因子 
% w = 0.6;      % 惯性因子 c1 = 2;       % 加速常数c2 = 2;       % 加速常数
Dim = 3;            % 维数SwarmSize = 30;    % 粒子群规模ObjFun = @PSO_PID;  % 待优化函数句柄
MaxIter = 10;      % 最大迭代次数  MinFit = 0.1;       % 最小适应值 
Vmax = 1;Vmin = -1;Ub = [300 300 300];Lb = [0 0 0];

其中的Ub和Lb分别是kp ki kd的上下限,开始优化的时候可以设置大一点,如果大概知道范围,也可以缩小范围,减少迭代次数

粒子群初始化

Range = ones(SwarmSize,1)*(Ub-Lb);Swarm = rand(SwarmSize,Dim).*Range + ones(SwarmSize,1)*Lb;      % 初始化粒子群VStep = rand(SwarmSize,Dim)*(Vmax-Vmin) + Vmin;                 % 初始化速度fSwarm = zeros(SwarmSize,1);for i=1:SwarmSize    fSwarm(i,:) = PSO_PID(Swarm(i,:));                         % 粒子群的适应值end
%% 个体极值和群体极值[bestf,bestindex]=min(fSwarm);zbest=Swarm(bestindex,:);   % 全局最佳gbest=Swarm;                % 个体最佳fgbest=fSwarm;              % 个体最佳适应值fzbest=bestf;               % 全局最佳适应值

迭代寻优

iter = 0;y_fitness = zeros(1,MaxIter);   % 预先产生4个空矩阵K_p = zeros(1,MaxIter);         K_i = zeros(1,MaxIter);K_d = zeros(1,MaxIter);while( (iter < MaxIter) && (fzbest > MinFit) )    w = wmax-(wmax-wmin)/MaxIter*iter;  %% 惯性权重因子调整    for j=1:SwarmSize        % 速度更新        VStep(j,:) = w*VStep(j,:) + c1*rand*(gbest(j,:) - Swarm(j,:)) + c2*rand*(zbest - Swarm(j,:));        if VStep(j,:)>Vmax, VStep(j,:)=Vmax; end        if VStep(j,:)<Vmin, VStep(j,:)=Vmin; end        % 位置更新        Swarm(j,:)=Swarm(j,:)+VStep(j,:);        for k=1:Dim            if Swarm(j,k)>Ub(k), Swarm(j,k)=Ub(k); end            if Swarm(j,k)<Lb(k), Swarm(j,k)=Lb(k); end        end        % 适应值        fSwarm(j,:) = PSO_PID(Swarm(i,:));        % 个体最优更新             if fSwarm(j) < fgbest(j)            gbest(j,:) = Swarm(j,:);            fgbest(j) = fSwarm(j);        end        % 群体最优更新        if fSwarm(j) < fzbest            zbest = Swarm(j,:);            fzbest = fSwarm(j);        end    end     iter = iter+1;                      % 迭代次数更新    y_fitness(1,iter) = fzbest;         % 为绘图做准备    K_p(1,iter) = zbest(1);    K_i(1,iter) = zbest(2);    K_d(1,iter) = zbest(3);end

绘图输出

figure     % 绘制性能指标ITAE的变化曲线plot(y_fitness,'LineWidth',2)title('最优个体适应值','fontsize',18);xlabel('迭代次数','fontsize',18);ylabel('适应值','fontsize',18);set(gca,'Fontsize',18);
figure      % 绘制PID控制器参数变化曲线plot(K_p)hold onplot(K_i,'k','LineWidth',3)plot(K_d,'--r')title('Kp、Ki、Kd 优化曲线','fontsize',18);xlabel('迭代次数','fontsize',18);ylabel('参数值','fontsize',18);set(gca,'Fontsize',18);legend('Kp','Ki','Kd');

目标函数设计

function z=PSO_PID(x)assignin('base','Kp',x(1));    %粒子依次赋值给Kpassignin('base','Ki',x(2));    %粒子依次赋值给Kiassignin('base','Kd',x(3));    %粒子依次赋值给Kdtry  %% simulink仿真异常,返回一个极大值    y_out=sim('PID_Model',[0,20]);    %使用命令行运行控制系统模型    z = y_out.yout{1}.Values.Data(end);catch    z=1e6;end

代码中assignin实现了m文件和simulink传递参数,其中y_out是simulink输出的目标变量,为啥这儿需要一个try呢,因为这个优化的过程中,可能参数设置不合理,会抛出simulink报错,故增加一个try避免代码异常出错提前结束优化过程

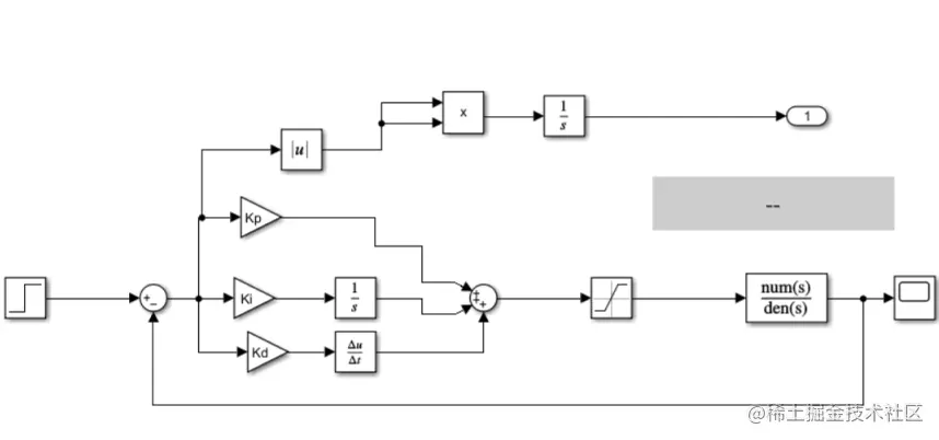
simulink模型用一个简单的pid控制带时延的传递函数

图片

仿真结果类似这样,因为迭代次数很少,设计中可以加大,得到更优的结果

图片