R语言量化技术分析的百度指数关注度交易策略可视化

155 阅读4分钟

全文链接:tecdat.cn/?p=31556

原文出处:拓端数据部落公众号

传统的经济理论认为股票市场是有效的,价格波动是对市场信息的反应,投资者能够及时处理所有实时信息并做出最优决策。

交易策略基本思想

投资者的当期关注和股票当期收益呈现正向变动关系,而投资者的滞后关注对股票当期收益表现为负面影响,根据这一结论,投资者应该根据关注度的变化情况适当的做出交易策略,当股票的关注度高时卖出股票,而当关注度低时则买入股票。

利用百度指数的日度数据衡量投资者的日度关注状况,但日度以内就无法在进行细分了,无法实现同一天内投资者关注度变化的衡量,所以自能以日度数据为基础研究前一期或者前数期投资者关注度的变化对当前投资决策的指导作用。当前日投资者对某只股票的关注度偏高时,应该在当期卖出标的,以获得关注度的溢价收益。

关注度数据: image.png

绝对高关注度交易策略

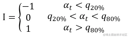
绝对高关注度就是设定一个数值为关注度达到的偏高标准,一般情况下就是根据股票关注度的历史数据来定义绝对关注度偏高标准,具体的定义如下:

image.png

上式中,表示当期投资者关注度,其中为对应标的样本区间前三个月历史日关注度的前20%分位数,当此值大于当期投资者关注时,则认为关注度是偏低的;为对应标的样本区间前三个月历史日关注度的前80%分位数,此数值大于当期关注度时,则认为关注度处于偏高状态;当当期关注度介于前20%分位数和前80%分位数时,则认为此时的关注度处在正常范围内,既不偏高也不偏低。

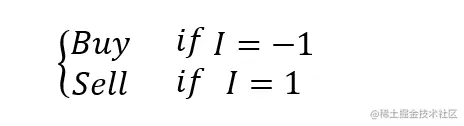
交易策略设计思想

根据上文实证研究结果,高关注度会给当期带来超额收益,但在反转效应的驱使下,后期的股价将会走低,也就是说高关注度之后股价会下行,反之低关注度之后股价会上升,所以结合上文对绝对高关注度的定义,其交易策略可以设定为:

image.png

Cash[i+1]=stockprice[i-1]+Cash[i]#关注度低于q_20

      stockprice[i]=0# 卖出

      n=0

     

    }else{

      if(ldata[i]>q_80){

        p=0.3;#如果高于关注度,设置买入股数的比率

        up=(cdata[i]-cdata[i-1])/(cdata[i-1])#计算涨幅

从上式可以看出,如果关注度偏低,就执行买入策略,如果关注度偏高,就执行卖出策略,这一操作思想是完全根据投资者关注度有没有达到设定的高标准,通过对高关注度定义执行买卖操作以获取股票溢价。需要强调的是,这里的买卖策略是简化了的策略,是在不考虑其他因素的情况而仅仅根据关注度的高低执行的交易策略,以便将问题简单化。

交易策略实施过程

每个策略必须有代表股票的交易策略图。

三种策略最后的结果汇总,如下图

项目收益均值收益为正次数平均交易次数收益与最大回撤比值均值
数值1.831098.34911286.6%

 

三种策略下每只股票的具体结果 116*3=348个具体结果

每个策略运行的是116只股票,483个交易日的数据,买入和卖出股票是用有限关注(AT)进行衡量(以过去三个月关注度为参考)

##筛选出股票数据

index= which(substr(a,1,4)=="SH60"|substr(a,1,4)=="SZ00");

策略1

points(profitindex,ldata[sort(profitindex)],col="green")#5日均线

  lines(cdata[(startdate+1): length(cdata)]/10 ,col="red")

  #绘制收益曲线

  #plot(profit,type="b")

1.png

image.png

image.png

image.png

项目收益均值收益为正次数平均交易次数收益与最大回撤比值均值
数值9.916474.562586.9%

策略2

2.png

image.png

image.png

image.png

项目收益均值收益为正次数平均交易次数收益与最大回撤比值均值
数值11.047433.962478.9%

策略3

3.png

image.png


最受欢迎的见解

strategiccouragevolatility-herostandard_1536x1536.webp 1.R语言对S&P500股票指数进行ARIMA + GARCH交易策略

2.R语言改进的股票配对交易策略分析SPY—TLT组合和中国股市投资组合

3.R语言时间序列:ARIMA GARCH模型的交易策略在外汇市场预测应用

4.TMA三均线期指高频交易策略的R语言实现

5.r语言多均线量化策略回测比较

6.用R语言实现神经网络预测股票实例

7.r语言预测波动率的实现:ARCH模型与HAR-RV模型

8.R语言如何做马尔科夫转换模型markov switching model

9.matlab使用Copula仿真优化市场风险