MySQL数据库主从的安装搭建

57 阅读9分钟

1、 数据库性能优化的意义

业务发展初期,数据库中量一般都不高,也不太容易出一些性能问题或者出的问题也不大,但是当数据库的量级达到一定规模之后,如果缺失有效的预警、监控、处理等手段则会对用户的使用体验造成影响,严重的则会直接导致订单、金额直接受损,因而就需要时刻关注数据库的性能问题。

2、 性能优化的几个常见措施

数据库性能优化的常见手段有很多,比如添加索引、分库分表、优化连接池等,具体如下:

序号

类型

措施

说明

1

物理级别

提升硬件性能

将数据库安装到更高配置的服务器上会有立竿见影的效果,例如提高 CPU 配置、增加内存容量、采用固态硬盘等手段,在经费允许的范围可以尝试。

2

应用级别

连接池参数优化

我们大部分的应用都是使用连接池来托管数据库的连接,但是大部分都是默认的配置,因而配置好超时时长、连接池容量等参数就显得尤为重要。 1、 如果链接长时间被占用,新的请求无法获取到新的连接,就会影响到业务。 2、 如果连接数设置的过小,那么即使硬件资源没问题,也无法发挥其功效。之前公司做过一些压测,但就是死活不达标,最后发现是由于连接数太小。

3

单表级别

合理运用索引

如果数据量较大,但是又没有合适的索引,就会拖垮整个性能,但是索引是把双刃剑,并不是说索引越多越好,而是要根据业务的需要进行适当的添加和使用。 缺失索引、重复索引、冗余索引、失控索引这几类情况其实都是对系统很大的危害。

4

库表级别

分库分表

当数据量较大的时候,只使用索引就意义不大了,需要做好分库分表的操作,合理的利用好分区键,例如按照用户 ID、订单 ID、日期等维度进行分区,可以减少扫描范围。

5

监控级别

加强运维

针对线上的一些系统还需要进一步的加强监控,比如订阅一些慢 SQL 日志,找到比较糟糕的一些 SQL,也可以利用业务内一些通用的工具,例如 druid 组件等。

3、 MySQL 底层架构

首先了解一下数据的底层架构,也有助于我们做更好优化。

一次查询请求的执行过程

我们重点关注第二部分和第三部分,第二部分其实就是 Server 层,这层主要就是负责查询优化,制定出一些执行计划,然后调用存储引擎给我们提供的各种底层基础 API,最终将数据返回给客户端。

4、MySQL 索引构建过程

目前比较常用的是 InnoDB 存储引擎,本文讨论也是基于 InnoDB 引擎。我们一直说的加索引,那到底什么是索引、索引又是如何形成的呢、索引又如何应用呢?这个话题其实很大也很小,说大是因为他底层确实很复杂,说小是因为在大部分场景下程序员只需要添加索引就好,不太需要了解太底层原理,但是如果了解不透彻就会引发线上问题,因而本文平衡了大家的理解成本和知识深度,有一定底层原理介绍,但是又不会太过深入导致难以理解。

首先来做个实验:

创建一个表,目前是只有一个主键索引

CREATE TABLE `t1`(

a int NOT NULL,

b int DEFAULT NULL,

c int DEFAULT NULL,

d int DEFAULT NULL,

e varchar(20) DEFAULT NULL,

PRIMARYKEY(a)

)ENGINE=InnoDB

插入一些数据:

insert into test.t1 values(4,3,1,1,'d');

insert into test.t1 values(1,1,1,1,'a');

insert into test.t1 values(8,8,8,8,'h');

insert into test.t1 values(2,2,2,2,'b');

insert into test.t1 values(5,2,3,5,'e');

insert into test.t1 values(3,3,2,2,'c');

insert into test.t1 values(7,4,5,5,'g');

insert into test.t1 values(6,6,4,4,'f');

MYSQL 从磁盘读取数据到内存是按照一页读取的,一页默认是 16K,而一页的格式大概如下。

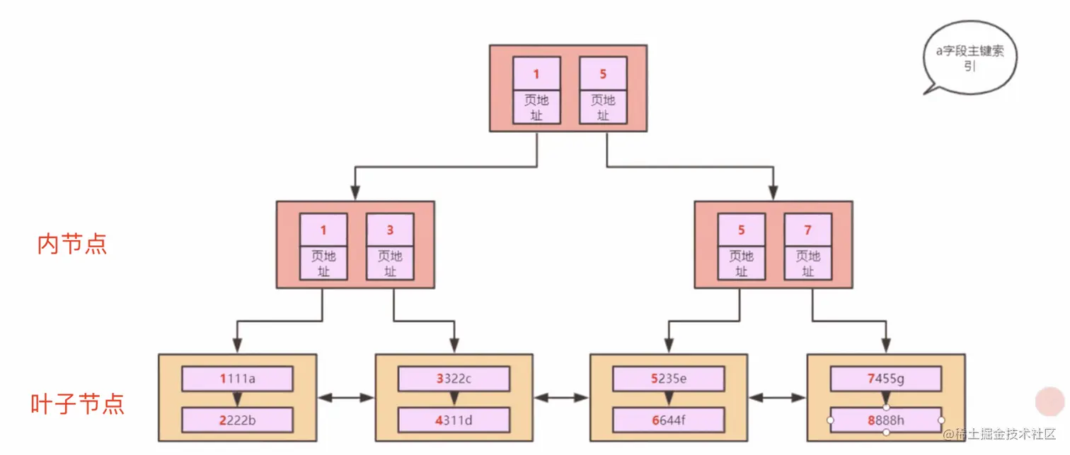
每一页都包括了这么几个内容,首先是页头、其次是页目录、还有用户数据区域。

1)刚才插入的几条数据就是放到这个用户数据区域的,这个是按照主键依次递增的单向链表。

2)页目录这个是用来指向具体的用户数据区域,因为当用户数据区域的数据变多的时候也就会形成分组,而页目录就会指向不同的分组,利用二分查找可以快速的定位数据。

当数据量变多的时候,那么这一页就装不下这么多数据,就要分裂页,而每页之间都会双向链接,最终形成一个双向链表。

页内的单向链表是为了查找快捷,而页间的双向链表是为了在做范围查询的时候提效,下图为示意图,其中其二页和第三页是复制的第一页,并不真实。

而如果数据还继续累加,光这几个页也不够了,那就逐步的形成了一棵树,也就是说索引 B-Tree 是随着数据的积累逐步构建出来的。

最下边的一层叫做叶子节点,上边的叫做内节点,而叶子节点中存储的是全量数据,这样的树就是聚簇索引。一直有同学的理解是说索引是单独一份而数据是一份,其实 MySQL 中有一个原则就是数据即索引、索引即数据,真实的数据本身就是存储在聚簇索引中的,所谓的回表就是回的聚簇索引

但是我们也不一定每次都按照主键来执行 SQL 语句,大部分情况下都是按照一些业务字段来,那就会形成别的索引树,例如,如果按照 b,c,d 来创建的索引就会长这样。

推荐 1 个网站,可以可视化的查看一些算法原型:

目录:

www.cs.usfca.edu/~galles/vis…

B + 树

www.cs.usfca.edu/~galles/vis…

而在 MySQL 官网上介绍的索引的叶子节点是双向链表。

关于索引结构的小结:

对于 B-Tree 而言,叶子节点是没有链接的,而 B+Tree 索引是单向链表,但是 MySQL 在 B+Tree 的基础之上加以改进,形成了双向链表,双向的好处是在处理 > <,between and 等 ' 范围查询 ' 语法时可以得心应手。

5、MySQL 索引的一些使用规范

1、 只为用于搜索、排序或分组的列创建索引。

重点关注 where 语句后边的情况

2、 当列中不重复值的个数在总记录条数中的占比很大时,才为列建立索引。

例如手机号、用户 ID、班级等,但是比如一张全校学生表,每条记录是一名学生,where 语句是查询所有’某学校‘的学生,那么其实也不会提高性能。

3、 索引列的类型尽量小。

无论是主键还是索引列都尽量选择小的,如果很大则会占据很大的索引空间。

4、 可以只为索引列前缀创建索引,减少索引占用的存储空间。

alter table single_table add index idx_key1(key1(10))

5、 尽量使用覆盖索引进行查询,以避免回表操作带来的性能损耗。

select key1 from single_table order by key1

6、 为了尽可能的少的让聚簇索引发生页面分裂的情况,建议让主键自增。

7、 定位并删除表中的冗余和重复索引。

冗余索引:

单列索引:(字段 1)

联合索引:(字段 1 字段 2)

重复索引:

在一个字段上添加了普通索引、唯一索引、主键等多个索引

6、 执行计划

其中常用的是:

possible_keys: 可能用到的索引

key: 实际使用的索引

rows:预估的需要读取的记录条数

7、 线上案例

案例 1:

在建设互联网医院系统中,问诊单表当时量级 23 万左右,其中有一个 business_id 字符串字段,这个字段用来记录外部订单的 ID,并且在该字段上也加了索引,但是 ' 根据该 ID 查询详情 ' 的 SQL 语句却总是时好时坏,性能不稳定,快则 10ms,慢则 2 秒左右,SQL 大体如下:

select 字段 1、字段 2、字段 3 from nethp_diag where business_Id = ?

因为 business_id 是记录第三方系统的订单 ID,为了兼容不同的第三方系统,因而设计成了字符串类型,但如果传入的是一个数字类型是无法使用索引的,因为 MySQL 只能将字符串转数字,而不能将数字转字符串,由于外部的 ID 有的是数字有的是字符串,因而导致索引一会可以走到,一会走不到,最终导致了性能的不稳定。

案例 2:

在某次大促的当天,突然接到 DBA 运维的报警,说数据库突然流量激增,CPU 也打到 100% 了,影响了部分线上功能和体验,遇到这种情况当时大部分人都比较紧张,下图为当时的数据库流量情况:

相关 SQL 语句:

select count(1) from jdhe_medical_record where status = 1 and is_test = #{isTest,jdbcType=INTEGER} and electric_medical_record_status in (2,3) and patient_id = #{patientId,jdbcType=BIGINT} and doctor_pin = #{doctorPin,jdbcType=VARCHAR} and created >#{dateStart,jdbcType=TIMESTAMP};

当时的索引情况

当时的执行计划

其实在 patientId 和 doctor_pin 两个字段上是有索引的,但是由于线上情况的改变,导致 test 判断没有进入,这样的通用查询导致这两个字段没有设置上,进而导致了数据库扫描的量激增,对数据库产生了很大压力。

案例 3:

2020 年某日上午收到数据库 CPU 异常报警,对线上有一定的影响,后续检查数据库 CPU 情况如下,从 7 点 51 分开始,CPU 从 8% 瞬间达到 99.92%,丝毫没有给程序员留任何情面。

当时的 SQL 语句:

select rx_id, rx_create_time from nethp_rx_info where rx_status = 5 and status = 1 and rx_product_type = 0 and (parent_rx_id = 0 or parent_rx_id is null) and business_type != 7 and vender_id = 8888 order by rx_create_time asc limit 1;

当时的索引情况:

PRIMARY KEY (`id`), UNIQUE KEY `uniq_rx_id` (`rx_id`), KEY `idx_diag_id` (`diag_id`), KEY `idx_doctor_pin` (`doctor_pin`) USING BTREE, KEY `idx_rx_storeId` (`store_id`), KEY `idx_parent_rx_id` (`parent_rx_id`) USING BTREE, KEY `idx_rx_status` (`rx_status`) USING BTREE, KEY `idx_doctor_status_type` (`doctor_pin`, `rx_status`, `rx_type`), KEY `idx_business_store` (`business_type`, `store_id`), KEY `idx_doctor_pin_patientid` (`patient_id`, `doctor_pin`) USING BTREE, KEY `idx_rx_create_time` (`rx_create_time`)

当时这张表量级 2000 多万,而当这条慢 SQL 执行较少的时候,数据库的 CPU 也就下来了,恢复到了 49.91%,基本可以恢复线上业务,从而表象就是线上间歇性的一会可以开方一会不可以,这条 SQL 当时总共执行了 230 次,当时的 CPU 情况也是忽高忽低,伴随这条 SQL 语句的执行情况,从而最终证明 CPU 的飙升是由于这条慢 SQL。当线上业务逻辑复杂的时候,你很难第一时间知道到底是由于那条 SQL 引起的,这个就需要对业务非常熟悉,对 SQL 很熟悉,否则就会白白浪费大量的排查时间。

最后的排查结果:

在头天晚上的时候添加了一条索引 rx_create_time,当时没事,但是第二天却出了事故。

加索引前后走的索引不同,一个是走的 rx_status(处方审核状态)单列索引,一个是走的 rx_create_time (处方提交事件) 单列索引,这个就要回到业务,因为处方状态是个枚举,且枚举范围不到 10 个,也就说线上 29,000,000 的数据量也就是被分成了不到 10 份,rx_status=5 的值是其中一份,因而通过这个索引就可以命中很多行,这是业务规则,再套用 MySQL 的特性,主要是以下几条:

1、没加新索引 rx_create_time 的时候,由于 order by 后边没有索引,就看 where 条件中是否有合适的索引,查询选择器选定 rx_status 这个单列索引,而 rx_status=5 这个条件下限制的数据行在索引中是连续,即使需要的 rx_id 不在索引中,再回主键聚簇索引也来得及,由于 order by 后边没有索引,所以走磁盘级别的排序 filesort,高峰积压的时候处方就 1 万到 2 万,跑到了 100ms, 白天低谷的时候几百单也就 20ms。

2、新加索引之后,就分两种情况:

2.1、加索引是在晚上,当前命中的行数比较少,由于当天晚上的时候待审核的处方确实很少,也就是 rx_status=5 的确实很少,查询优化器感觉反正没多少行,排序不重要,因而就还是选择 rx_status 索引。

2.2、第二天白天,待审核的处方数量很多了(rx_status=5 的数据量多了),当时可以命中几万数据,如果当前命中的行数比较多,查询优化器就开始算成本,感觉排序的成本会更高,那就优先保排序吧,所以就选择 rx_create_time 这个字段,但是这个索引树上没有别的索引字段的信息,没办法,几乎每条数据都要回表,进而引发了灾难。